Establishment and Validation of a New Analysis Strategy for the Study of Plant Endophytic Microorganisms
Abstract
1. Introduction
2. Results
2.1. Evaluation of rDNA Sequence Content in Raw Transcriptome Data
2.2. Analysis of the Species Composition with the New Analysis Strategy
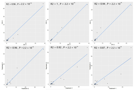
2.3. Relative Microbial Nucleic Acid Contents
2.4. Differences between the Results Obtained by the New Analysis Strategy and the Amplicon Sequencing Method
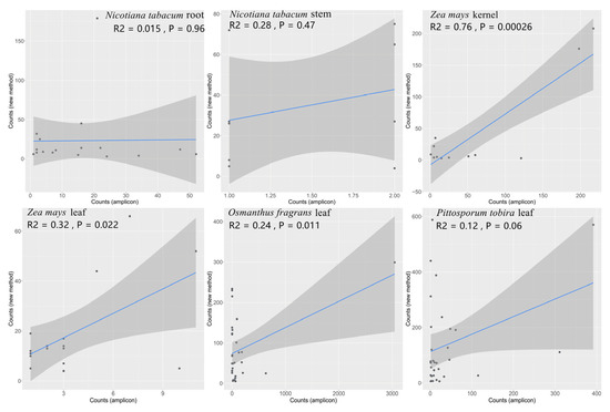
2.5. Correlation Analysis of Microbial Abundance between the Two Methods
2.6. Reliability and Advantages of the New Analysis Strategy
3. Discussion
4. Materials and Methods
4.1. Plant Materials and Datasets
4.2. Transcriptome Sequencing
4.3. DNA Extraction and Amplicon Sequencing
4.4. Construction of the New Analysis Strategy
5. Conclusions
Supplementary Materials
Author Contributions
Funding
Institutional Review Board Statement
Informed Consent Statement
Data Availability Statement
Conflicts of Interest
References
- Rosenberg, E.; Zilber-Rosenberg, I. Special Issue: The Role of Microorganisms in the Evolution of Animals and Plants. Microorganisms 2022, 10, 250. [Google Scholar] [CrossRef] [PubMed]
- Utami, Y.D.; Nguyen, T.A.N.; Hiruma, K. Investigating plant–microbe interactions within the root. Arch. Microbiol. 2022, 204, 639. [Google Scholar] [CrossRef] [PubMed]
- Ahlawat, O.P.; Yadav, D.; Kashyap, P.L.; Khippal, A.; Singh, G. Wheat endophytes and their potential role in managing abiotic stress under changing climate. J. Appl. Microbiol. 2022, 132, 2501–2520. [Google Scholar] [CrossRef] [PubMed]
- Chen, T.; Nomura, K.; Wang, X.; Sohrabi, R.; Xu, J.; Yao, L.; Paasch, B.C.; Ma, L.; Kremer, J.; Cheng, Y.; et al. A plant genetic network for preventing dysbiosis in the phyllosphere. Nature 2020, 580, 653–657. [Google Scholar] [CrossRef] [PubMed]
- Félix, C.R.; Nascimento, B.E.D.S.; Valente, P.; Landell, M.F. Different plant compartments, different yeasts: The example of the bromeliad phyllosphere. Yeast 2022, 39, 363–400. [Google Scholar] [CrossRef]
- Mockevičiūtė, R.; Jurkonienė, S.; Gavelienė, V.; Jankovska-Bortkevič, E.; Šocik, B.; Armalytė, G.; Budrys, R. Effects Induced by the Agricultural Application of Probiotics on Antioxidant Potential of Strawberries. Plants 2022, 11, 831. [Google Scholar] [CrossRef]
- Jeong, S.; Kim, T.-M.; Choi, B.; Kim, Y.; Kim, E. Invasive Lactuca serriola seeds contain endophytic bacteria that contribute to drought tolerance. Sci. Rep. 2021, 11, 13307. [Google Scholar] [CrossRef]
- Jiang, S.; Jardinaud, M.-F.; Gao, J.; Pecrix, Y.; Wen, J.; Mysore, K.; Xu, P.; Sanchez-Canizares, C.; Ruan, Y.; Li, Q.; et al. NIN-like protein transcription factors regulate leghemoglobin genes in legume nodules. Science 2021, 374, 625–628. [Google Scholar] [CrossRef]
- Soares, E.V. Perspective on the biotechnological production of bacterial siderophores and their use. Appl. Microbiol. Biotechnol. 2022, 106, 3985–4004. [Google Scholar] [CrossRef]
- Dawan, J.; Ahn, J. Bacterial Stress Responses as Potential Targets in Overcoming Antibiotic Resistance. Microorganisms 2022, 10, 1385. [Google Scholar] [CrossRef]
- Ducousso-Détrez, A.; Fontaine, J.; Sahraoui, A.L.-H.; Hijri, M. Diversity of Phosphate Chemical Forms in Soils and Their Contributions on Soil Microbial Community Structure Changes. Microorganisms 2022, 10, 609. [Google Scholar] [CrossRef] [PubMed]
- Matsumoto, H.; Fan, X.; Wang, Y.; Kusstatscher, P.; Duan, J.; Wu, S.; Chen, S.; Qiao, K.; Wang, Y.; Bin Ma, B.; et al. Bacterial seed endophyte shapes disease resistance in rice. Nat. Plants 2021, 7, 60–72. [Google Scholar] [CrossRef] [PubMed]
- Torsvik, V.; Goksøyr, J.; Daae, F.L. High diversity in DNA of soil bacteria. Appl. Environ. Microbiol. 1990, 56, 782–787. [Google Scholar] [CrossRef] [PubMed]
- An, N.; Wang, C.; Dou, X.; Liu, X.; Wu, J.; Cheng, Y. Comparison of 16S rDNA Amplicon Sequencing With the Culture Method for Diagnosing Causative Pathogens in Bacterial Corneal Infections. Transl. Vis. Sci. Technol. 2022, 11, 29. [Google Scholar] [CrossRef] [PubMed]
- Colabella, C.; Pierantoni, D.C.; Corte, L.; Roscini, L.; Conti, A.; Bassetti, M.; Tascini, C.; Robert, V.; Cardinali, G. Single Strain High-Depth NGS Reveals High rDNA (ITS-LSU) Variability in the Four Prevalent Pathogenic Species of the Genus Candida. Microorganisms 2021, 9, 302. [Google Scholar] [CrossRef]
- Sharma, R.; Kumar, A.; Singh, N.; Sharma, K. 16S rRNA gene profiling of rhizospheric microbial community of Eichhornia crassipes. Mol. Biol. Rep. 2021, 48, 4055–4064. [Google Scholar] [CrossRef]
- Dreier, M.; Meola, M.; Berthoud, H.; Shani, N.; Wechsler, D.; Junier, P. High-throughput qPCR and 16S rRNA gene amplicon sequencing as complementary methods for the investigation of the cheese microbiota. BMC Microbiol. 2022, 22, 48. [Google Scholar] [CrossRef]
- Liu, H.; Li, J.; Lin, Y.; Bo, X.; Song, H.; Li, K.; Li, P.; Ni, M. Assessment of two-pool multiplex long-amplicon nanopore sequencing of SARS-CoV-2. J. Med. Virol. 2022, 94, 327–334. [Google Scholar] [CrossRef]
- Finotello, F.; Mastrorilli, E.; Di Camillo, B. Measuring the diversity of the human microbiota with targeted next-generation sequencing. Brief. Bioinform. 2018, 19, 679–692. [Google Scholar] [CrossRef]
- Jeske, J.T.; Gallert, C. Microbiome Analysis via OTU and ASV-Based Pipelines—A Comparative Interpretation of Ecological Data in WWTP Systems. Bioengineering 2022, 9, 146. [Google Scholar] [CrossRef]
- Jing, G.; Zhang, Y.; Cui, W.; Liu, L.; Xu, J.; Su, X. Meta-Apo improves accuracy of 16S-amplicon-based prediction of microbiome function. BMC Genom. 2021, 22, 9. [Google Scholar] [CrossRef] [PubMed]
- Yadav, A.N.; Kour, D.; Kaur, T.; Devi, R.; Yadav, A. Endophytic fungal communities and their biotechnological implications for agro-environmental sustainability. Folia Microbiol. 2022, 67, 203–232. [Google Scholar] [CrossRef] [PubMed]
- Chamkhi, I.; El Omari, N.; Balahbib, A.; El Menyiy, N.; Benali, T.; Ghoulam, C. Is the rhizosphere a source of applicable multi-beneficial microorganisms for plant enhancement? Saudi J. Biol. Sci. 2022, 29, 1246–1259. [Google Scholar] [CrossRef] [PubMed]
- Mandon, K.; Nazaret, F.; Farajzadeh, D.; Alloing, G.; Frendo, P. Redox Regulation in Diazotrophic Bacteria in Interaction with Plants. Antioxidants 2021, 10, 880. [Google Scholar] [CrossRef] [PubMed]
- Sharma, T.; Devanna, B.; Kiran, K.; Singh, P.; Arora, K.; Jain, P.; Tiwari, I.M.; Dubey, H.; Saklani, B.; Kumari, M.; et al. Status and Prospects of Next Generation Sequencing Technologies in Crop Plants. Curr. Issues Mol. Biol. 2018, 27, 1–36. [Google Scholar] [CrossRef]
- Ye, S.H.; Siddle, K.J.; Park, D.J.; Sabeti, P.C. Benchmarking Metagenomics Tools for Taxonomic Classification. Cell 2019, 178, 779–794. [Google Scholar] [CrossRef]
- Gruber-Vodicka, H.R.; Seah, B.K.B.; Pruesse, E. phyloFlash: Rapid Small-Subunit rRNA Profiling and Targeted Assembly from Metagenomes. mSystems 2020, 5, e00920-20. [Google Scholar] [CrossRef]
- Espindola, A.S.; Cardwell, K.F. Microbe Finder®: Implementation of an Interactive Pathogen Detection Tool in Metagenomic Sequence Data. Plants 2021, 10, 250. [Google Scholar] [CrossRef]
- Gwak, H.-J.; Lee, S.J.; Rho, M. Application of computational approaches to analyze metagenomic data. J. Microbiol. 2021, 59, 233–241. [Google Scholar] [CrossRef]
- Hall, M.; Beiko, R.G. 16S rRNA Gene Analysis with QIIME2. Methods Mol. Biol. 2018, 1849, 113–129. [Google Scholar]
- Sbaoui, Y.; Ezaouine, A.; Toumi, M.; Farkas, R.; Kbaich, M.A.; Habbane, M.; El Mouttaqui, S.; Kadiri, F.Z.; El Messal, M.; Tóth, E.; et al. Effect of Climate on Bacterial and Archaeal Diversity of Moroccan Marine Microbiota. Microorganisms 2022, 10, 1622. [Google Scholar] [CrossRef] [PubMed]
- Prodan, A.; Tremaroli, V.; Brolin, H.; Zwinderman, A.H.; Nieuwdorp, M.; Levin, E. Comparing bioinformatic pipelines for microbial 16S rRNA amplicon sequencing. PLoS ONE 2020, 15, e0227434. [Google Scholar] [CrossRef] [PubMed]
- Hiseni, P.; Rudi, K.; Wilson, R.C.; Hegge, F.T.; Snipen, L. HumGut: A comprehensive human gut prokaryotic genomes collection filtered by metagenome data. Microbiome 2021, 9, 165. [Google Scholar] [CrossRef] [PubMed]
- Twort, V.G.; Blande, D.; Duplouy, A. One’s trash is someone else’s treasure: Sequence read archives from Lepidoptera genomes provide material for genome reconstruction of their endosymbionts. BMC Microbiol. 2022, 22, 209. [Google Scholar] [CrossRef] [PubMed]
- Nousias, O.; Montesanto, F. Metagenomic profiling of host-associated bacteria from 8 datasets of the red alga Porphyra purpurea with MetaPhlAn3. Mar. Genom. 2021, 59, 100866. [Google Scholar] [CrossRef]
- Wang, S.; Hua, X.; Cui, L. Characterization of microbiota diversity of engorged ticks collected from dogs in China. J. Vet. Sci. 2021, 22, e37. [Google Scholar] [CrossRef] [PubMed]
- Liao, C.C.; Fu, P.Y.; Huang, C.W.; Chuang, C.H.; Yen, Y.; Lin, C.Y.; Chen, S.H. MetaSquare: An integrated metadatabase of 16S rRNA gene amplicon for microbiome taxonomic classification. Bioinformatics 2022, 38, 2930–2931. [Google Scholar] [CrossRef]
- González-Acosta, B.; Barraza, A.; Guadarrama-Analco, C.; Hernández-Guerrero, C.J.; Martínez-Díaz, S.F.; Cardona-Félix, C.S.; Aguila-Ramírez, R.N. Depth effect on the prokaryotic community assemblage associated with sponges from different rocky reefs. PeerJ 2022, 10, e13133. [Google Scholar] [CrossRef]
- Nilsson, R.H.; Larsson, K.H.; Taylor, A.F.S.; Bengtsson-Palme, J.; Jeppesen, T.S.; Schigel, D.; Kennedy, P.; Picard, K.; Glöckner, F.O.; Tedersoo, L.; et al. The UNITE database for molecular identification of fungi: Handling dark taxa and parallel taxonomic classifications. Nucleic Acids Res. 2019, 47, D259–D264. [Google Scholar] [CrossRef]
- Truong, D.T.; Franzosa, E.A.; Tickle, T.L.; Scholz, M.; Weingart, G.; Pasolli, E.; Tett, A.; Huttenhower, C.; Segata, N. MetaPhlAn2 for enhanced metagenomic taxonomic profiling. Nat. Methods 2015, 12, 902–903. [Google Scholar] [CrossRef]
- Zimorski, V.; Ku, C.; Martin, W.F.; Gould, S.B. Endosymbiotic theory for organelle origins. Curr. Opin. Microbiol. 2014, 22, 38–48. [Google Scholar] [CrossRef] [PubMed]
- Sato, N. Are Cyanobacteria an Ancestor of Chloroplasts or Just One of the Gene Donors for Plants and Algae? Genes 2021, 12, 823. [Google Scholar] [CrossRef] [PubMed]
- Chen, L.; Zhang, M.; Liu, D.; Sun, H.; Wu, J.; Huo, Y.; Chen, X.; Fang, R.; Zhang, L. Designing specific bacterial 16S primers to sequence and quantitate plant endo-bacteriome. Sci. China Life Sci. 2022, 65, 1000–1013. [Google Scholar] [CrossRef] [PubMed]
- Han, G.; Cheng, C.; Zheng, Y.; Wang, X.; Xu, Y.; Wang, W.; Zhu, S.; Cheng, B. Identification of Long Non-Coding RNAs and the Regulatory Network Responsive to Arbuscular Mycorrhizal Fungi Colonization in Maize Roots. Int. J. Mol. Sci. 2019, 20, 4491. [Google Scholar] [CrossRef]
- Wirta, H.; Abrego, N.; Miller, K.; Roslin, T.; Vesterinen, E. DNA traces the origin of honey by identifying plants, bacteria and fungi. Sci. Rep. 2021, 11, 4798. [Google Scholar] [CrossRef]
- Jo, Y.; Back, C.-G.; Kim, K.-H.; Chu, H.; Lee, J.; Moh, S.; Cho, W. Using RNA-Sequencing Data to Examine Tissue-Specific Garlic Microbiomes. Int. J. Mol. Sci. 2021, 22, 6791. [Google Scholar] [CrossRef]
- Tkalec, V.; Mahnic, A.; Gselman, P.; Rupnik, M. Analysis of seed-associated bacteria and fungi on staple crops using the cultivation and metagenomic approaches. Folia Microbiol. 2022, 67, 351–361. [Google Scholar] [CrossRef]
- Guo, S.; Xiong, W.; Hang, X.; Gao, Z.; Jiao, Z.; Liu, H.; Mo, Y.; Zhang, N.; Kowalchuk, G.A.; Li, R.; et al. Protists as main indicators and determinants of plant performance. Microbiome 2021, 9, 64. [Google Scholar] [CrossRef]
- Rupert, R.; Lie, G.J.C.W.; John, D.V.; Annammala, K.V.; Jani, J.; Rodrigues, K.F. Metagenomic data of bacterial community from different land uses at the river basin, Kelantan. Data Brief 2020, 33, 106351. [Google Scholar] [CrossRef]
- Edgar, R.C. UPARSE: Highly accurate OTU sequences from microbial amplicon reads. Nat. Methods 2013, 10, 996–998. [Google Scholar] [CrossRef]











| Sample | Tissue | Plant Reads (%) | Microbial Reads (%) |
|---|---|---|---|
| O. fragrans | leaf | 96.63 | 3.37 |
| Pittosporaceae | leaf | 99.18 | 0.82 |
| N. tabacum | stem | 99.24 | 0.76 |
| N. tabacum | root | 74.99 | 25.01 |
| Zea mays | kernel | 98.73 | 1.27 |
| Zea mays | leaf | 99.01 | 0.99 |
| Sample | Tissue | Bacterial Reads (%) | Viral Reads (%) | Fungal Reads (%) | Protozoan Reads (%) |
|---|---|---|---|---|---|
| O. fragrans | leaf | 16.51 | 0.05 | 79.26 | 4.19 |
| Pittosporaceae | leaf | 27.94 | 0.26 | 69.00 | 2.79 |
| N. tabacum | stem | 46.34 | 0.00 | 41.23 | 12.43 |
| N. tabacum | root | 96.38 | 0.01 | 2.38 | 1.24 |
| Zea mays | kernel | 28.90 | 0.02 | 61.68 | 9.40 |
| Zea mays | leaf | 74.88 | 0.00 | 19.53 | 5.60 |
| Sample | Tissue | Total Reads | Nonspecific Reads | Chloroplast Reads | Mitochondria Reads | Microbial Reads |
|---|---|---|---|---|---|---|
| O. fragrans | leaf | 64,707 | 12 | 58,406 | 0 | 6289 |
| Pittosporaceae | leaf | 66,139 | 151 | 64,359 | 0 | 1629 |
| N. tabacum | stem | 66,852 | 316 | 59,594 | 0 | 6942 |
| N. tabacum | root | 60,093 | 59 | 24,970 | 0 | 35,064 |
| Zea mays | kernel | 64,699 | 521 | 46,588 | 0 | 17,590 |
| Zea mays | leaf | 67,381 | 249 | 66,983 | 0 | 149 |
Publisher’s Note: MDPI stays neutral with regard to jurisdictional claims in published maps and institutional affiliations. |
© 2022 by the authors. Licensee MDPI, Basel, Switzerland. This article is an open access article distributed under the terms and conditions of the Creative Commons Attribution (CC BY) license (https://creativecommons.org/licenses/by/4.0/).
Share and Cite
Chen, F.; Wang, X.; Qiu, G.; Liu, H.; Tan, Y.; Cheng, B.; Han, G. Establishment and Validation of a New Analysis Strategy for the Study of Plant Endophytic Microorganisms. Int. J. Mol. Sci. 2022, 23, 14223. https://doi.org/10.3390/ijms232214223
Chen F, Wang X, Qiu G, Liu H, Tan Y, Cheng B, Han G. Establishment and Validation of a New Analysis Strategy for the Study of Plant Endophytic Microorganisms. International Journal of Molecular Sciences. 2022; 23(22):14223. https://doi.org/10.3390/ijms232214223
Chicago/Turabian StyleChen, Feng, Xianjin Wang, Guiping Qiu, Haida Liu, Yingquan Tan, Beijiu Cheng, and Guomin Han. 2022. "Establishment and Validation of a New Analysis Strategy for the Study of Plant Endophytic Microorganisms" International Journal of Molecular Sciences 23, no. 22: 14223. https://doi.org/10.3390/ijms232214223
APA StyleChen, F., Wang, X., Qiu, G., Liu, H., Tan, Y., Cheng, B., & Han, G. (2022). Establishment and Validation of a New Analysis Strategy for the Study of Plant Endophytic Microorganisms. International Journal of Molecular Sciences, 23(22), 14223. https://doi.org/10.3390/ijms232214223

