Association of Irisin/FNDC5 with ERRα and PGC-1α Expression in NSCLC
Abstract
1. Introduction
2. Results
2.1. Immunohistochemical (IHC) Detection of Irisin, ERRα and PGC-1α Expression in Tissue Microarrays (TMA) with NSCLC
2.2. Association of Irisin/FNDC5 with Clinicopathological Parameters of NSCLC
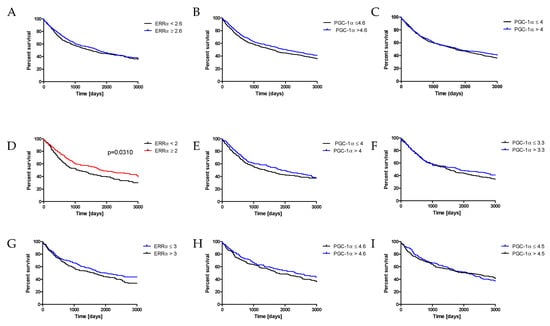
2.3. Association of ERRα with Clinicopathological Parameters of NSCLC
2.4. Association of PGC-1α with Clinicopathological Parameters of NSCLC
2.5. The Association of ERRα and PGC-1α with Diagnostic Markers in NSCLC (TTF-1, p63, Ki-67, EGFR and PD-L1)
2.6. Correlations between Irisin/FNDC5, PGC-1α and ERRα
2.7. Comparison between mRNA FNDC5 and mRNA ESRRA Expression Levels in NSCLCs
2.8. Influence of Lung Cancer Cells on FNDC5 mRNA Expression Levels in an In Vitro Model
2.9. Influence of Lung Cancer Cells on ESRRA mRNA Expression Levels in an In Vitro Model
2.10. Ultrastructural Expression of Irisin/FNDC5 in Lung Cancer Cells
3. Discussion
4. Materials and Methods
4.1. Patient Cohort
4.2. Cell Culture Line and Cell Co-Culture
4.3. Immunohistochemical (IHC) Reactions on Tissue Microarrays (TMAs)
4.4. Immunohistochemistry (IHC) Evaluation
4.5. Real-Time PCR (RT-PCR)
4.6. Transmission Electron Microscopy (TEM) Procedure
Author Contributions
Funding
Institutional Review Board Statement
Informed Consent Statement
Data Availability Statement
Conflicts of Interest
Abbreviations
References
- Herbst, R.S.; Morgensztern, D.; Boshoff, C. The Biology and Management of Non-Small Cell Lung Cancer. Nature 2018, 553, 446–454. [Google Scholar] [CrossRef]
- Pawelczyk, K.; Piotrowska, A.; Ciesielska, U.; Jablonska, K.; Gletzel-Plucinska, N.; Grzegrzolka, J.; Podhorska-Okolow, M.; Dziegiel, P.; Nowinska, K. Role of PD-L1 Expression in Non-Small Cell Lung Cancer and Their Prognostic Significance According to Clinicopathological Factors and Diagnostic Markers. Int. J. Mol. Sci. 2019, 20, 824. [Google Scholar] [CrossRef]
- Bader, J.E.; Voss, K.; Rathmell, J.C. Targeting Metabolism to Improve the Tumor Microenvironment for Cancer Immunotherapy. Mol. Cell 2020, 78, 1019–1033. [Google Scholar] [CrossRef]
- Cruz-Bermúdez, A.; Laza-Briviesca, R.; Vicente-Blanco, R.J.; García-Grande, A.; Coronado, M.J.; Laine-Menéndez, S.; Alfaro, C.; Sanchez, J.C.; Franco, F.; Calvo, V.; et al. Cancer-Associated Fibroblasts Modify Lung Cancer Metabolism Involving ROS and TGF-β Signaling. Free Radic. Biol. Med. 2019, 130, 163–173. [Google Scholar] [CrossRef]
- Deblois, G.; St-Pierre, J.; Giguère, V. The PGC-1/ERR Signaling Axis in Cancer. Oncogene 2013, 32, 3483–3490. [Google Scholar] [CrossRef]
- Dang, C.V. Links between Metabolism and Cancer. Genes Dev. 2012, 26, 877–890. [Google Scholar] [CrossRef]
- Boström, P.; Wu, J.; Jedrychowski, M.P.; Korde, A.; Ye, L.; Lo, J.C.; Rasbach, K.A.; Boström, E.A.; Choi, J.H.; Long, J.Z.; et al. A PGC1α-Dependent Myokine That Drives Browning of White Fat and Thermogenesis. Nature 2012, 481, 463–468. [Google Scholar] [CrossRef]
- Pinkowska, A.; Podhorska-Okołów, M.; Dzięgiel, P.; Nowińska, K. The Role of Irisin in Cancer Disease. Cells 2021, 10, 1479. [Google Scholar] [CrossRef]
- Suchanski, J.; Tejchman, A.; Zacharski, M.; Piotrowska, A.; Grzegrzolka, J.; Chodaczek, G.; Nowinska, K.; Rys, J.; Dziegiel, P.; Kieda, C.; et al. Podoplanin Increases the Migration of Human Fibroblasts and Affects the Endothelial Cell Network Formation: A Possible Role for Cancer-Associated Fibroblasts in Breast Cancer Progression. PLoS ONE 2017, 12, e0184970. [Google Scholar] [CrossRef]
- Nowinska, K.; Jablonska, K.; Pawelczyk, K.; Piotrowska, A.; Partynska, A.; Gomulkiewicz, A.; Ciesielska, U.; Katnik, E.; Grzegrzolka, J.; Glatzel-Plucinska, N.; et al. Expression of Irisin/FNDC5 in Cancer Cells and Stromal Fibroblasts of Non-Small Cell Lung Cancer. Cancers 2019, 11, 1538. [Google Scholar] [CrossRef]
- Boström, P.A.; Fernández-Real, J.M.; Mantzoros, C. Irisin in Humans: Recent Advances and Questions for Future Research. Metab.-Clin. Exp. 2014, 63, 178–180. [Google Scholar] [CrossRef]
- Aydin, S. Is Irisin a Decisive Protein in Cancer Cachexia and Death of Cancer Cells? Eur. Rev. Med. Pharmacol. Sci. 2016, 20, 3727–3729. [Google Scholar]
- Aydin, S.; Kuloglu, T.; Ozercan, M.R.; Albayrak, S.; Aydin, S.; Bakal, U.; Yilmaz, M.; Kalayci, M.; Yardim, M.; Sarac, M.; et al. Irisin Immunohistochemistry in Gastrointestinal System Cancers. Biotech. Histochem. 2016, 91, 242–250. [Google Scholar] [CrossRef]
- Tekin, S.; Erden, Y.; Sandal, S.; Yilmaz, B. Is Irisin an Anticarcinogenic Peptide? Med. Sci. Int. Med. J. 2014, 4, 2172–2180. [Google Scholar] [CrossRef]
- Kuloglu, T.; Celik, O.; Aydin, S.; Hanifi Ozercan, I.; Acet, M.; Aydin, Y.; Artas, G.; Turk, A.; Yardim, M.; Ozan, G.; et al. Irisin Immunostaining Characteristics of Breast and Ovarian Cancer Cells. Cell. Mol. Biol. 2016, 62, 40–44. [Google Scholar] [CrossRef]
- Hofmann, T.; Elbelt, U.; Stengel, A. Irisin as a Muscle-Derived Hormone Stimulating Thermogenesis—A Critical Update. Peptides 2014, 54, 89–100. [Google Scholar] [CrossRef]
- Gaggini, M.; Cabiati, M.; Del Turco, S.; Navarra, T.; De Simone, P.; Filipponi, F.; Del Ry, S.; Gastaldelli, A.; Basta, G. Increased FNDC5/Irisin Expression in Human Hepatocellular Carcinoma. Peptides 2017, 88, 62–66. [Google Scholar] [CrossRef]
- Pinkowska, A.; Nowinska, K.; Ciesielska, U.; Podhorska-okolow, M. Irisin Association with Ki-67, MCM3 and MT-I/II in Squamous Cell Carcinomas of the Larynx. Biomolecules 2022, 12, 52. [Google Scholar] [CrossRef]
- Wozniak, S.; Nowinska, K.; Chabowski, M.; Dziegiel, P. Significance of Irisin (FNDC5) Expression in Colorectal Cancer. Vivo 2022, 36, 180–188. [Google Scholar] [CrossRef]
- Park, E.J.; Myint, P.K.; Ito, A.; Appiah, M.G.; Darkwah, S.; Kawamoto, E.; Shimaoka, M. Integrin-Ligand Interactions in Inflammation, Cancer, and Metabolic Disease: Insights Into the Multifaceted Roles of an Emerging Ligand Irisin. Front. Cell Dev. Biol. 2020, 8, 588066. [Google Scholar] [CrossRef]
- Lee, H.J.; Lee, J.O.; Kim, N.; Kim, J.K.; Kim, H.I.; Lee, Y.W.; Kim, S.J.; Choi, J.-I.; Oh, Y.; Kim, J.H.; et al. Irisin, a Novel Myokine, Regulates Glucose Uptake in Skeletal Muscle Cells via AMPK. Mol. Endocrinol. 2015, 29, 873–881. [Google Scholar] [CrossRef]
- Wrann, C.D.; White, J.P.; Salogiannnis, J.; Laznik-Bogoslavski, D.; Wu, J.; Ma, D.; Lin, J.D.; Greenberg, M.E.; Spiegelman, B.M. Exercise Induces Hippocampal BDNF through a PGC-1α/FNDC5 Pathway. Cell Metab. 2013, 18, 649–659. [Google Scholar] [CrossRef]
- Xu, B. BDNF (I)Rising from Exercise. Cell Metab. 2013, 18, 612–614. [Google Scholar] [CrossRef]
- Arany, Z.; Foo, S.Y.; Ma, Y.; Ruas, J.L.; Bommi-Reddy, A.; Girnun, G.; Cooper, M.; Laznik, D.; Chinsomboon, J.; Rangwala, S.M.; et al. HIF-Independent Regulation of VEGF and Angiogenesis by the Transcriptional Coactivator PGC-1α. Nature 2008, 451, 1008–1012. [Google Scholar] [CrossRef]
- Zhang, Z.; Teng, C.T. Estrogen Receptor α and Estrogen Receptor-Related Receptor A1 Compete for Binding and Coactivator. Mol. Cell. Endocrinol. 2001, 172, 223–233. [Google Scholar] [CrossRef]
- Bonnelye, E.; Vanacker, J.M.; Dittmar, T.; Begue, A.; Desbiens, X.; Denhardt, D.T.; Aubin, J.E.; Laudet, V.; Fournier, B. The ERR-1 Orphan Receptor Is a Transcriptional Activator Expressed during Bone Development. Mol. Endocrinol. 1997, 11, 905–916. [Google Scholar] [CrossRef][Green Version]
- Lynch, C.; Zhao, J.; Xia, M. Cell-Based Assays to Identify ERR and ERR/PGC Modulators. Methods Mol. Biol. 2022, 2474, 3–9. [Google Scholar] [CrossRef]
- Ning, Z.; Du, X.; Zhang, J.; Yang, K.; Miao, L.; Zhu, Y.; Yuan, H.; Wang, L.; Klocker, H.; Shi, J. PGE2 Modulates the Transcriptional Activity of ERRa in Prostate Stromal Cells. Endocrine 2014, 47, 901–912. [Google Scholar] [CrossRef]
- Wu, Y.M.; Chen, Z.J.; Liu, H.; Wei, W.D.; Lu, L.L.; Yang, X.L.; Liang, W.T.; Liu, T.; Liu, H.L.; Du, J.; et al. Inhibition of ERRa Suppresses Epithelial Mesenchymal Transition of Triple Negative Breast Cancer Cells by Directly Targeting Fibronectin. Oncotarget 2015, 6, 25588–25601. [Google Scholar] [CrossRef]
- Li, P.; Wang, J.; Wu, D.; Ren, X.; Wu, W.; Zuo, R.; Zeng, Q.; Wang, B.; He, X.; Yuan, J.; et al. ERRα Is an Aggressive Factor in Lung Adenocarcinoma Indicating Poor Prognostic Outcomes. Cancer Manag. Res. 2019, 11, 8111–8123. [Google Scholar] [CrossRef]
- Shao, L.; Li, H.; Chen, J.; Song, H.; Zhang, Y.; Wu, F.; Wang, W.; Zhang, W.; Wang, F.; Li, H.; et al. Irisin Suppresses the Migration, Proliferation, and Invasion of Lung Cancer Cells via Inhibition of Epithelial-to-Mesenchymal Transition. Biochem. Biophys. Res. Commun. 2016, 485, 598–605. [Google Scholar] [CrossRef]
- Wahab, F.; Khan, I.U.; Polo, I.R.; Zubair, H.; Drummer, C.; Shahab, M.; Behr, R. Irisin in the Primate Hypothalamus and Its Effect on GnRH In Vitro. J. Endocrinol. 2019, 241, 175–187. [Google Scholar] [CrossRef]
- Herzig, S.; Shaw, R.J. AMPK: Guardian of metabolism and mitochondrial homeostasis. Nat. Rev. Mol. Cell Biol. 2018, 19, 121–135. [Google Scholar] [CrossRef]
- Jablonska, K.; Nowinska, K.; Piotrowska, A.; Partynska, A.; Katnik, E.; Pawelczyk, K.; Kmiecik, A.; Glatzel-Plucinska, N.; Podhorska-Okolow, M.; Dziegiel, P. Prognostic Impact of Melatonin Receptors MT1 and MT2 in Non-Small Cell Lung Cancer (NSCLC). Cancers 2019, 11, 1001. [Google Scholar] [CrossRef]
- Mukherjee, T.K.; Malik, P.; Hoidal, J.R. The Emerging Role of Estrogen Related Receptorα in Complications of Non-Small Cell Lung Cancers (Review). Oncol. Lett. 2021, 21, 258. [Google Scholar] [CrossRef]
- Yoriki, K.; Mori, T.; Kokabu, T.; Matsushima, H.; Umemura, S.; Tarumi, Y.; Kitawaki, J. Estrogen-Related Receptor Alpha Induces Epithelial-Mesenchymal Transition through Cancer-Stromal Interactions in Endometrial Cancer. Sci. Rep. 2019, 9, 6697. [Google Scholar] [CrossRef]
- Olsen, C.J.; Moreira, J.; Lukanidin, E.M.; Ambartsumian, N.S. Human Mammary Fibroblasts Stimulate Invasion of Breast Cancer Cells in a Three-Dimensional Culture and Increase Stroma Development in Mouse Xenografts. BMC Cancer 2010, 10, 444. [Google Scholar] [CrossRef]
- Matsushima, H.; Mori, T.; Ito, F.; Yamamoto, T.; Akiyama, M.; Kokabu, T.; Yoriki, K.; Umemura, S.; Akashi, K.; Kitawaki, J. Anti-Tumor Effect of Estrogen-Related Receptor Alpha Knockdown on Uterine Endometrial Cancer. Oncotarget 2016, 7, 34131–34148. [Google Scholar] [CrossRef]
- Ariazi, E.A.; Clark, G.M.; Mertz, J.E. Estrogen-Related Receptor α and Estrogen-Related Receptor γ Associate with Unfavorable and Favorable Biomarkers, Respectively, in Human Breast Cancer. Cancer Res. 2002, 62, 6510–6518. [Google Scholar]
- Fujimoto, J.; Alam, S.M.; Jahan, I.; Sato, E.; Sakaguchi, H.; Tamaya, T. Clinical Implication of Estrogen-Related Receptor (ERR) Expression in Ovarian Cancers. J. Steroid Biochem. Mol. Biol. 2007, 104, 301–304. [Google Scholar] [CrossRef]
- Suzuki, S.; Takagi, K.; Miki, Y.; Onodera, Y.; Akahira, J.I.; Ebata, A.; Ishida, T.; Watanabe, M.; Sasano, H.; Suzuki, T. Estrogen-Related Receptor α in Human Breast Carcinoma as a Potent Prognostic Factor. Cancer Sci. 2012, 103, 136–143. [Google Scholar] [CrossRef]
- Remmele, W.; Stegner, H.E. Recommendation for Uniform Definition of an Immunoreactive Score (IRS) for Immunohistochemical Estrogen Receptor Detection (ER-ICA) in Breast Cancer Tissue. Pathologe 1987, 8, 138–140. [Google Scholar]












| Clinicopathological Parameter | n 860 (%) | Irisin/FNDC5 Expression in NSCLC Cancer Cells | Irisin/FNDC5 Expression in NSCLC Stromal Cells | ||||
|---|---|---|---|---|---|---|---|
| Low ≤1.0 | High >1.0 | Chi2 Test p Value | Low ≤4.0 | High >4.0 | Chi2 Test p Value | ||
| Age ≤60 >60 | 354 (41.2) 506 (58.8) | 194 (54.8) 258 (51) | 159 (45.2) 249 (49) | 0.2397 | 197 (55.6) 265 (52.4) | 156 (44.3) 242 (47.6) | 0.3059 |
| Sex Male Female | 636 (74) 224 (26) | 353 (55.5) 99 (44.2) | 282 (44.5) 126 (55.8) | 0.0028 | 326 (51.2) 136 (60.7) | 309 (48.8) 89 (39.3) | 0.0186 |
| Histological subtype AC SCC Adenosquamous other | 344 (40) 375 (43.6) 32 (3.7) 109 (12.7) | 140 (40.7) 233 (62.1) 21 (65.6) 59 (54.1) | 204 (59.3) 142 (37.8) 11 (34.4) 50 (45.9) | <0.0001 | 220 (63.9) 161 (42.9) 13 (40.6) 68 (62.4) | 124 (36.1) 214 (57.1) 19 (59.4) 41 (37.6) | <0.0001 |
| Tumor size (T) T1-T2 T3-T4 | 584 (67.9) 276 (32.1) | 291 (49.8) 161 (58.3) | 297 (50.2) 111 (41.7) | 0.0081 | 314 (53.8) 148 (53.6) | 273 (46.2) 125 (46.4) | 0.8437 |
| Lymph nodes (N) N0 N1 N2-N3 | 573 (66.5) 151 (17.5) 136 (16) | 297 (51.8) 88 (58.3) 67 (49.3) | 275 (48.2) 63 (41.7) 70 (50.7) | 0.2457 | 306 (53.4) 73 (48.3) 83 (61) | 266 (46.6) 78 (51.7) 54 (39) | 0.1129 |
| Stage I II III-IV | 314 (36.5) 291 (33.8) 255 (29.7) | 151 (48.1) 159 (54.6) 142 (55.7) | 162 (51.9) 132 (45.4) 114 (44.3) | 0.1562 | 176 (56) 138 (53.3) 148 (48.5) | 137 (44) 153 (46.7) 108 (51.5) | 0.0144 |
| Grade of malignancy (G) G1 G2 G3 | 83 (9.6) 631 (73.4) 146 (17) | 35 (42.2) 329 (52.1) 90 (61.6) | 48 (57.8) 302 (47.9) 56 (38.4) | 0.0146 | 51 (61.4) 322 (51) 89 (62.2) | 32 (38.6) 309 (49) 57 (37.8) | 0.0316 |
| Clinicopathological Parameter | n 860 (%) | ERRα Expression in NSCLC Cancer Cells | ||
|---|---|---|---|---|
| Low ≤2.6 | High >2.6 | Chi2 Test p Value | ||
| Age | 0.9534 | |||
| ≤60 | 354 (41.2) | 198 (55.9) | 156 (44.1) | |
| >60 | 506 (58.8) | 282 (55.7) | 224 (44.3) | |
| Sex | 0.0722 | |||
| Male | 636 (74) | 294 (46.2) | 342 (53.8) | |
| Female | 224 (26) | 88 (39.3) | 136 (60.7) | |
| Histological subtype | <0.0001 | |||
| AC | 344 (40) | 237 (68.9) | 107 (31.1) | |
| SCC | 375 (43.6) | 163 (43.5) | 212 (56.5) | |
| Adenosquamous | 32 (3.7) | 16 (50) | 16 (50) | |
| other | 109 (12.7) | 63 (58) | 46 (42) | |
| Tumor size (T) | 0.0987 | |||
| T1-T2 | 584 (67.9) | 312 (53.4) | 272 (46.6) | |
| T3-4 | 276 (32.1) | 164 (59.4) | 112 (40.6) | |
| Lymph nodes (N) | 0.0196 | |||
| N0 | 573 (66.5) | 311 (54.3) | 262 (45.7) | |
| N1 | 151 (17.5) | 77 (51) | 74 (49) | |
| N2-N3 | 136 (16) | 90 (66.2) | 46 (33.8) | |
| Stage | 0.0119 | |||
| I | 314 (36.5) | 158 (50.3) | 156 (49.7) | |
| II | 291 (33.8) | 160 (55) | 131 (45) | |
| III-IV | 255 (29.7) | 160 (62.7) | 95 (37.3) | |
| Grade of malignancy | 0.5181 | |||
| G1 | 83 (9.6) | 51 (61) | 32 (39) | |
| G2 | 631 (73.4) | 346 (54.8) | 285 (45.2) | |
| G3 | 146 (17) | 82 (56.2) | 64 (43.8) | |
| Clinicopathological Parameter | n 860 (%) | PGC-1α Expression in NSCLC Cancer Cells | PGC1α Expression in NSCLC Stromal Cells | ||||
|---|---|---|---|---|---|---|---|
| Low ≤4.6 | High >4.6 | Chi2 Test p Value | Low ≤4.5 | High >4.5 | Chi2 Test p Value | ||
| Age ≤60 >60 | 354 (41.2) 506 (58.8) | 192 (54.2) 288 (56.9) | 162 (45.8) 218 (43.1) | 0.4361 | 200 (56.5) 278 (54.9) | 154 (43.5) 228 (45.1) | 0.6512 |
| Sex Male Female | 636 (74) 224 (26) | 350 (55) 130 (58) | 286 (45) 94 (42) | 0.4362 | 406 (63.8) 72 (32.1) | 230 (36.2) 152 (67.9) | <0.0001 |
| Histological subtype AC SCC Adenosquamous other | 344 (40) 375 (43.6) 32 (3.7) 109 (12.7) | 234 (68) 199 (53) 19 (59) 28 (25.7) | 110 (32) 176 (47) 13 (41) 81 (74.3) | <0.0001 | 247 (71.8) 175 (46.6) 15 (46.9) 41 (37.6) | 97 (28.2) 200 (53.3) 17 (53.1) 68 (62.4) | <0.0001 |
| Tumor size (T) T1-T2 T3-T4 | 584 (67.9) 276 (32.1) | 323 (55.3) 99 (35.9) | 261 (44.7) 177 (64.1) | <0.0001 | 324 (55.5) 154 (55.8) | 260 (44.5) 122 (44.2) | 0.9303 |
| Lymph nodes (N) N0 N1 N2-N3 | 573 (66.5) 151 (17.5) 136 (16) | 315 (55) 90 (60) 75 (55) | 258 (45) 61 (40) 61 (45) | 0.5864 | 311 (54.3) 82 (54.3) 85 (62.5) | 262 (45.7) 69 (45.7) 51 (37.5) | 0.2089 |
| Stage I II III-IV | 314 (36.5) 291 (33.8) 255 (29.7) | 92 (29.3) 161 (55.2) 227 (89) | 222 (70.7) 130 (44.8) 28 (11) | <0.0001 | 171 (54.4) 155 (53.3) 124 (48.5) | 143 (45.6) 136 (46.7) 131 (51.5) | 0.3546 |
| Grade of malignancy (G) G1 G2 G3 | 83 (9.6) 631 (73.4) 146 (20.3) | 50 (60) 369 (58.5) 50 (34.2) | 23 (40) 262 (41.5) 96 (65.8) | <0.0001 | 16 (20) 406 (64.3) 71 (48.5) | 67 (80) 225 (35.7) 75 (51.5) | 0.0004 |
Publisher’s Note: MDPI stays neutral with regard to jurisdictional claims in published maps and institutional affiliations. |
© 2022 by the authors. Licensee MDPI, Basel, Switzerland. This article is an open access article distributed under the terms and conditions of the Creative Commons Attribution (CC BY) license (https://creativecommons.org/licenses/by/4.0/).
Share and Cite
Nowińska, K.; Jabłońska, K.; Ciesielska, U.; Piotrowska, A.; Haczkiewicz-Leśniak, K.; Pawełczyk, K.; Podhorska-Okołów, M.; Dzięgiel, P. Association of Irisin/FNDC5 with ERRα and PGC-1α Expression in NSCLC. Int. J. Mol. Sci. 2022, 23, 14204. https://doi.org/10.3390/ijms232214204
Nowińska K, Jabłońska K, Ciesielska U, Piotrowska A, Haczkiewicz-Leśniak K, Pawełczyk K, Podhorska-Okołów M, Dzięgiel P. Association of Irisin/FNDC5 with ERRα and PGC-1α Expression in NSCLC. International Journal of Molecular Sciences. 2022; 23(22):14204. https://doi.org/10.3390/ijms232214204
Chicago/Turabian StyleNowińska, Katarzyna, Karolina Jabłońska, Urszula Ciesielska, Aleksandra Piotrowska, Katarzyna Haczkiewicz-Leśniak, Konrad Pawełczyk, Marzenna Podhorska-Okołów, and Piotr Dzięgiel. 2022. "Association of Irisin/FNDC5 with ERRα and PGC-1α Expression in NSCLC" International Journal of Molecular Sciences 23, no. 22: 14204. https://doi.org/10.3390/ijms232214204
APA StyleNowińska, K., Jabłońska, K., Ciesielska, U., Piotrowska, A., Haczkiewicz-Leśniak, K., Pawełczyk, K., Podhorska-Okołów, M., & Dzięgiel, P. (2022). Association of Irisin/FNDC5 with ERRα and PGC-1α Expression in NSCLC. International Journal of Molecular Sciences, 23(22), 14204. https://doi.org/10.3390/ijms232214204

