Surface Protection of Quaternary Gold Alloys by Thiol Self-Assembled Monolayers
Abstract
1. Introduction
2. Results and Discussion
2.1. Surface Characterization of Gold Alloys
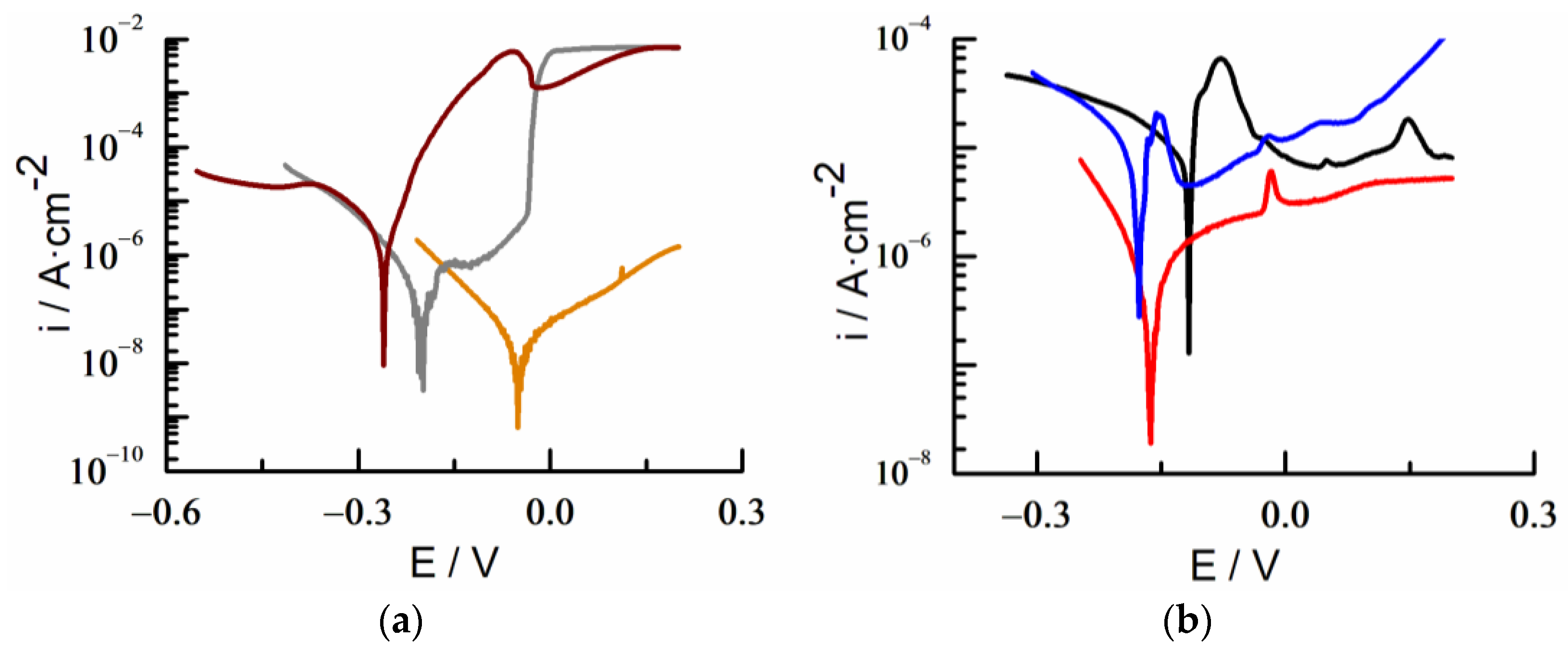
2.2. Polarization Curves
| Alloy or Pure Metal | Ecorr/mV | Icorr/µA·cm−2 | Anodic Tafel/mV | Ecorr/mV | 
|---|---|---|---|---|
| Au | 50 | 0.029 | 87 | 0.160 | 
| 18K | −115 | 7.267 | 166 | 0.015 | 
| 14K | −160 | 1.864 | 130 | 0.997 | 
| 9K | −180 | 4.451 | 56 | 0.037 | 
| Ag | −200 | 0.055 | 77 | 0.051 | 
| Cu | −260 | 0.834 | 32 | 0.028 | 
| Zn 1 | −1005 | 0.5–1.0 | 
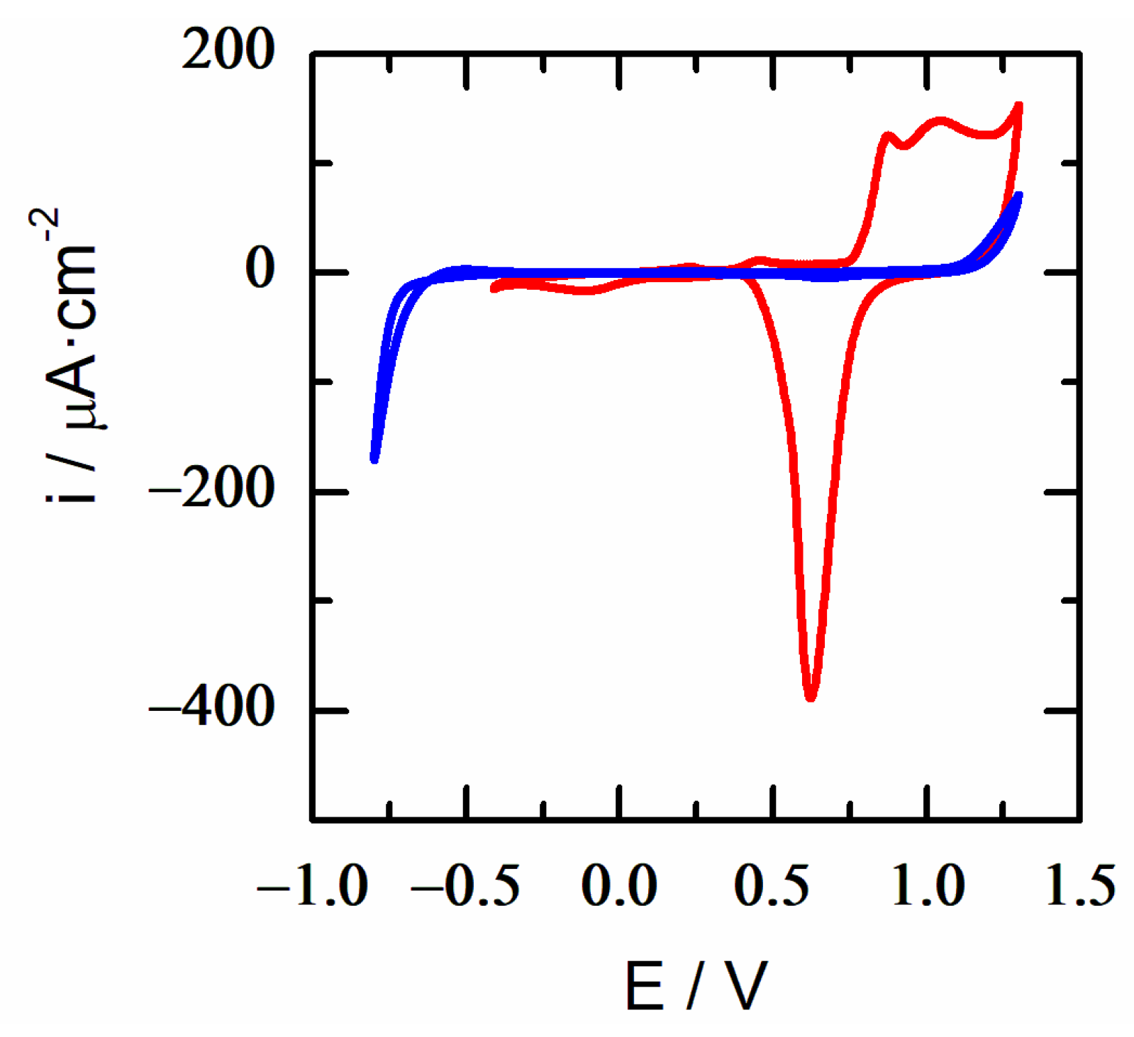
2.3. Electrochemical Characterization of the Quaternary 18-Carat Gold Alloy
2.4. Surface Functionalization of the 18-Carat Gold Alloy
2.5. Mercaptopurine SAM
2.6. Decanethiol SAM
2.7. Mercaptoundecanoic Acid SAM
3. Materials and Methods
3.1. Chemicals
3.2. Methods
4. Conclusions
Author Contributions
Funding
Institutional Review Board Statement
Informed Consent Statement
Data Availability Statement
Conflicts of Interest
References
- Nouri, A.; Wen, C. Noble metal alloys for load-bearing implant applications. In Structural Biomaterials; Wen, C., Ed.; Woodhead Publishing: Sawston, UK, 2021; pp. 127–156. [Google Scholar]
- Bai, L.; Gong, C.; Chen, X.; Sun, Y.; Zhang, J.; Cai, L.; Zhu, S.; Xie, S.Q. Additive Manufacturing of Customized Metallic Orthopedic Implants: Materials, Structures, and Surface Modifications. Metals 2019, 9, 1004. [Google Scholar] [CrossRef]
- Demann, E.T.K.; Stein, P.S.; Haubenreich, J.E. Gold as an Implant in Medicine and Dentistry. J. Long-Term Eff. Med. Implant. 2005, 15, 687–698. [Google Scholar] [CrossRef] [PubMed]
- Wang, Y.; Wan, J.; Miron, R.J.; Zhao, Y.; Zhang, Y. Antibacterial properties and mechanisms of gold–silver nanocages. Nanoscale 2016, 8, 11143–11152. [Google Scholar] [CrossRef] [PubMed]
- Korei, N.; Solouk, A.; Haghbin Nazarpak, M.; Nouri, A. A review on design characteristics and fabrication methods of metallic cardiovascular stents. Mater. Today Commun. 2022, 31, 103467. [Google Scholar] [CrossRef]
- Moller, H. Dental gold alloys and contact allergy. Contact Dermat. 2002, 47, 63–66. [Google Scholar] [CrossRef]
- Eisler, R. Mammalian sensitivity to elemental gold (Auo). Biol. Trace Elem. Res. 2004, 100, 1–18. [Google Scholar] [CrossRef]
- Merchant, B. Gold, the Noble Metal and the Paradoxes of its Toxicology. Biologicals 1998, 26, 49–59. [Google Scholar] [CrossRef]
- Fischer-Bühner, J. Hardening of Low-Alloyed Gold. Gold Bull. 2005, 38, 120–131. [Google Scholar] [CrossRef][Green Version]
- Merriman, C.C.; Bahr, D.F.; Norton, M.G. Environmentally induced failure of gold jewelry alloys. Gold Bull. 2005, 38, 113–119. [Google Scholar] [CrossRef]
- Süss, R.; van der Lingen, E.; Glaner, L.; du Toit, M. 18 carat yellow gold alloys with increased hardness. Gold Bull. 2004, 37, 196–207. [Google Scholar] [CrossRef]
- Heidsiek, H.; Casing, M. The abrasive wear of gold jewellery alloys. Gold Bull. 1983, 16, 76–81. [Google Scholar] [CrossRef]
- Wells, A. The wear of precious jewellery. Wear 1986, 112, 363–370. [Google Scholar] [CrossRef]
- Eyre, T.S. Wear Mechanisms. Powder Metall. 1981, 24, 57–63. [Google Scholar] [CrossRef]
- Miyakawa, Y. Friction and wear performance of gold and gold alloy films. Gold Bull. 1980, 13, 21–30. [Google Scholar] [CrossRef]
- Henderson, S.; Manchanda, D. White gold alloys. Gold Bull. 2005, 38, 55–67. [Google Scholar] [CrossRef][Green Version]
- Saeger, K.E.; Rodies, J. The colour of gold and its alloys. Gold Bull. 1977, 10, 10–14. [Google Scholar] [CrossRef]
- Pandey, P.C.; Pandey, G.; Walcarius, A. 3-Aminopropyltrimethoxysilane mediated solvent induced synthesis of gold nanoparticles for biomedical applications. Mater. Sci. Eng. C-Mater. Biol. Appl. 2017, 79, 45–54. [Google Scholar] [CrossRef]
- Cretu, C.; van der Lingen, E. Coloured gold alloys. Gold Bull. 1999, 32, 115–126. [Google Scholar] [CrossRef]
- Hovestad, A.; Tacken, R.A.; t Mannetje, H.H. Electrodeposited nanocrystalline bronze alloys as replacement for Ni. In Physica Status Solidi C—Current Topics in Solid State Physics; Wiley-V C H Verlag Gmbh: Weinheim, Germany, 2008; Volume 5, pp. 3506–3509. [Google Scholar]
- Ulman, A. Formation and structure of self-assembled monolayers. Chem. Rev. 1996, 96, 1533–1554. [Google Scholar] [CrossRef]
- Love, J.C.; Estroff, L.A.; Kriebel, J.K.; Nuzzo, R.G.; Whitesides, G.M. Self-assembled monolayers of thiolates on metals as a form of nanotechnology. Chem. Rev. 2005, 105, 1103–1169. [Google Scholar] [CrossRef]
- Ulman, A. An Introduction to Ultrathin Organic Films from Langmuir.Blodgett to Self-Assembly; Academic Press: San Diego, CA, USA, 1991. [Google Scholar]
- Schreiber, F. Structure and growth of self-assembling monolayers. Prog. Surf. Sci. 2000, 65, 151–256. [Google Scholar] [CrossRef]
- Madueno, R.; Sevilla, J.M.; Pineda, T.; Roman, A.J.; Blazquez, M. A voltammetric study of 6-mercaptopurine monolayers on polycrystalline gold electrodes. J. Electroanal. Chem. 2001, 506, 92–98. [Google Scholar] [CrossRef]
- Sevilla, J.M.; Pineda, T.; Roman, A.J.; Madueno, R.; Blazquez, M. The direct electrochemistry of cytochrome c at a hanging mercury drop electrode modified with 6-mercaptopurine. J. Electroanal. Chem. 1998, 451, 89–93. [Google Scholar] [CrossRef]
- Madueno, R.; Pineda, T.; Sevilla, J.M.; Blazquez, M. An electrochemical study of 6-thioguanine monolayers on a mercury electrode in acid and neutral solutions. J. Electroanal. Chem. 2004, 565, 301–310. [Google Scholar] [CrossRef]
- Madueno, R.; Pineda, T.; Sevilla, J.M.; Blazquez, M. An electrochemical study of the SAMs of 6-mercaptopurine (6MP) at Hg and Au(111) electrodes in alkaline media. Langmuir 2002, 18, 3903–3909. [Google Scholar] [CrossRef]
- Madueno, R.; Pineda, T.; Sevilla, J.M.; Blazquez, M. The kinetics of the dissolution of 6-mercaptopurine self-assembled monolayers on Au(111) and Hg electrodes. J. Electroanal. Chem. 2005, 576, 197–203. [Google Scholar] [CrossRef]
- Madueno, R.; Garcia-Raya, D.; Viudez, A.J.; Sevilla, J.M.; Pineda, T.; Blazquez, M. Influence of the solution pH in the 6-mercaptopurine self-assembled monolayer (6MP-SAM) on a Au(111) single-crystal electrode. Langmuir 2007, 23, 11027–11033. [Google Scholar] [CrossRef]
- Garcia-Raya, D.; Madueno, R.; Blazquez, M.; Pineda, T. Formation of 1,8-Octanedithiol Mono- and Bilayers under Electrochemical Control. J. Phys. Chem. C 2010, 114, 3568–3574. [Google Scholar] [CrossRef]
- Kind, M.; Woell, C. Organic surfaces exposed by self-assembled organothiol monolayers: Preparation, characterization, and application. Prog. Surf. Sci. 2009, 84, 230–278. [Google Scholar] [CrossRef]
- Casalini, S.; Bortolotti, C.A.; Leonardi, F.; Biscarini, F. Self-assembled monolayers in organic electronics. Chem. Soc. Rev. 2017, 46, 40–71. [Google Scholar] [CrossRef]
- Mendes, P.M. Stimuli-responsive surfaces for bio-applications. Chem. Soc. Rev. 2008, 37, 2512–2529. [Google Scholar] [CrossRef] [PubMed]
- Yang, H.; Yuan, B.; Zhang, X.; Scherman, O.A. Supramolecular Chemistry at Interfaces: Host-Guest Interactions for Fabricating Multifunctional Biointerfaces. Acc. Chem. Res. 2014, 47, 2106–2115. [Google Scholar] [CrossRef] [PubMed]
- Nicosia, C.; Huskens, J. Reactive self-assembled monolayers: From surface functionalization to gradient formation. Mater. Horiz. 2014, 1, 32–45. [Google Scholar] [CrossRef]
- Katz, E. Modified Electrodes and Electrochemical Systems Switchable by Light Signals. Electroanalysis 2018, 30, 759–797. [Google Scholar] [CrossRef]
- Jiang, C.; Wang, G.; Hein, R.; Liu, N.; Luo, X.; Davis, J.J. Antifouling Strategies for Selective In Vitro and In Vivo Sensing. Chem. Rev. 2020, 120, 3852–3889. [Google Scholar] [CrossRef]
- Viudez, A.; Blazquez, M.; Madueno, R.; Morales, J.; Pineda, T.; Sanchez, L. 3D Gold Nanocrystal Arrays: A Framework for Reversible Lithium Storage. J. Phys. Chem. C 2010, 114, 2360–2364. [Google Scholar] [CrossRef]
- Yi, R.W.; Mao, Y.Y.; Shen, Y.B.; Chen, L.W. Self-Assembled Monolayers for Batteries. J. Am. Chem. Soc. 2021, 143, 12897–12912. [Google Scholar] [CrossRef]
- Bhure, R.; Abdel-Fattah, T.M.; Bonner, C.; Hall, F.; Mahapatro, A. Stability of phosphonic self-assembled monolayers (SAMs) on cobalt chromium (Co–Cr) alloy under oxidative conditions. Appl. Surf. Sci. 2011, 257, 5605–5612. [Google Scholar] [CrossRef]
- Xia, D.-H.; Pan, C.; Qin, Z.; Fan, B.; Song, S.; Jin, W.; Hu, W. Covalent surface modification of LY12 aluminum alloy surface by self-assembly dodecyl phosphate film towards corrosion protection. Prog. Org. Coat. 2020, 143, 105638. [Google Scholar] [CrossRef]
- Huang, J.F.; Sun, I.W. Fabrication and surface functionalization of nanoporous gold by electrochemical alloying/dealloying of Au-Zn in an ionic liquid, and the self-assembly of L-cysteine monolayers. Adv. Funct. Mater. 2005, 15, 989–994. [Google Scholar] [CrossRef]
- Zang, D.; Zhu, R.; Zhang, W.; Yu, X.; Lin, L.; Guo, X.; Liu, M.; Jiang, L. Corrosion-Resistant Superhydrophobic Coatings on Mg Alloy Surfaces Inspired by Lotus Seedpod. Adv. Funct. Mater. 2017, 27, 1605446. [Google Scholar] [CrossRef]
- Kumar, S.M.; Balakrishnan, P.K.; Hedge, C.; Dandekeri, S. Self-Assembled Monolayer- A Nano Surface Modification. J. Evol. Med. Dent. Sci. -Jemds 2020, 9, 1608–1612. [Google Scholar] [CrossRef]
- Korrapati, V.K.; Scharnagl, N.; Letzig, D.; Zheludkevich, M.L. Self-assembled layers for the temporary corrosion protection of magnesium-AZ31 alloy. Corros. Sci. 2020, 169, 108619. [Google Scholar] [CrossRef]
- Samanta, A.; Wang, Q.; Shaw, S.K.; Ding, H. Roles of chemistry modification for laser textured metal alloys to achieve extreme surface wetting behaviors. Mater. Des. 2020, 192, 108744. [Google Scholar] [CrossRef]
- Jeong, C. A Study on Functional Hydrophobic Stainless Steel 316L Using Single-Step Anodization and a Self-Assembled Monolayer Coating to Improve Corrosion Resistance. Coatings 2022, 12, 395. [Google Scholar] [CrossRef]
- Ward, L.P.; Chen, D.; O’Mullane, A.P. The electrochemical corrosion behaviour of quaternary gold alloys when exposed to 3.5% NaCl solution. Gold Bull. 2013, 46, 35–45. [Google Scholar] [CrossRef][Green Version]
- Haffty, J.; Riley, L.B.; Goss, W.D. Manual on Fire Assaying and Determination of the Noble Metals in Geological Materials; Government Printing Office: Washington, DC, USA, 1977.
- ISO 11426:2014; Jewellery-Determination of Gold in Gold Jewellery Alloys-Cupellation Method (Fire Assay). ISO: Geneva, Switzerland, 2019.
- Hultquist, G. Surface Enrichment of Low Gold Alloys. Gold Bull. 1985, 18, 53–57. [Google Scholar] [CrossRef]
- Bard, A.J.; Faulkner, L.R. Electrochemical Methods, Fundamentals and Applications; Wiley: New York, NY, USA, 2001. [Google Scholar]
- Baboian, R. Electrochemical Techniques for Corrosion Engineering; NACE: Bethlehem, PA, USA, 1987. [Google Scholar]
- Brett, C.H.A.; Brett, A.M.O. Electrochemistry, Principles, Methods and Applications; Oxford Science Publications: Oxford, UK, 1993. [Google Scholar]
- Silverman, D.C. Practical Corrosion Prediction Using Electrochemical Techniques; Revie, R.W., Ed.; Wiley: Hoboken, NJ, USA, 2011. [Google Scholar]
- Nyby, C.; Guo, X.; Saal, J.E.; Chien, S.-C.; Gerard, A.Y.; Ke, H.; Li, T.; Lu, P.; Oberdorfer, C.; Sahu, S.; et al. Electrochemical metrics for corrosion resistant alloys. Sci. Data 2021, 8, 58. [Google Scholar] [CrossRef]
- Mozgovoy, S.; Heinrich, J.; Klotz, U.E.; Busch, R. Investigation of mechanical, corrosion and optical properties of an 18 carat Au-Cu-Si-Ag-Pd bulk metallic glass. Intermetallics 2010, 18, 2289–2291. [Google Scholar] [CrossRef]
- Meng, Y.; Liu, L.J.; Zhang, D.W.; Dong, C.F.; Yan, Y.; Volinsky, A.A.; Wang, L.N. Initial formation of corrosion products on pure zinc in saline solution. Bioact. Mater. 2019, 4, 87–96. [Google Scholar] [CrossRef]
- Grekulovic, V.J.; Rajcic-Vujasinovic, M.M.; Stevic, Z.M. Electrochemical Characterization of a Commercial Au-Ag-Cu Alloy in an Acidic Medium. Int. J. Electrochem. Sci. 2016, 11, 165–174. [Google Scholar]
- Boubour, E.; Lennox, R.B. Stability of omega-functionalized self-assembled monolayers as a function of applied potential. Langmuir 2000, 16, 7464–7470. [Google Scholar] [CrossRef]
- Conway, B.E. Impedance Behavior of Electrochemical Supercapacitors and Porous Electrodes. In Impedance Spectroscopy: Theory, Experiment, and Applications, 2nd ed.; Wiley: Hoboken, NJ, USA, 2005; pp. 495–496. [Google Scholar]
- Gonzalez-Granados, Z.; Sanchez-Obrero, G.; Madueno, R.; Sevilla, J.M.; Blazquez, M.; Pineda, T. Formation of Mixed Mono layers from 11-Mercaptoundecanoic Acid and Octanethiol on Au(111) Single Crystal Electrode under Electrochemical Control. J. Phys. Chem. C 2013, 117, 24307–24316. [Google Scholar] [CrossRef]
- Puente Santiago, A.R.; Sanchez-Obrero, G.; Pineda, T.; Blazquez, M.; Madueno, R. Influence of Patterning in the Acid-Base Interfacial Properties of Homogeneously Mixed CH3- and COOH-Terminated Self-Assembled Monolayers. J. Phys. Chem. C 2018, 122, 2854–2865. [Google Scholar] [CrossRef]
- Lee, Y.; Kim, K.-H.; Kim, Y.K.; Son, J.S.; Lee, E.; Kwon, T.-Y. The Effect of Novel Mercapto Silane Systems on Resin Bond Strength to Dental Noble Metal Alloys. J. Nanosci. Nanotechnol. 2015, 15, 4851–4854. [Google Scholar] [CrossRef] [PubMed]
- Huang, Z.H.; Zhou, Y.J.; He, W. A combination of self-assembled monolayer and hydrophobic conformal coating for anti-corrosion of Cu/NiP/Au 3D circuitry in artificial sweat solution. Surf. Coat. Technol. 2017, 320, 126–131. [Google Scholar] [CrossRef]
- Shrestha, B.R.; Bashir, A.; Ankah, G.N.; Valtiner, M.; Renner, F.U. Localized dealloying corrosion mediated by self-assembled monolayers used as an inhibitor system. Faraday Discuss. 2015, 180, 191–204. [Google Scholar] [CrossRef][Green Version]
- Chen, W.; Hong, S.; Luo, H.Q.; Li, N.B. Inhibition Effect of 2,4,6-Trimercapto-1,3,5-triazine Self-Assembled Monolayers on Copper Corrosion in NaCl Solution. J. Mater. Eng. Perform. 2014, 23, 527–537. [Google Scholar] [CrossRef]
- Garcia Raya, D.; Madueno, R.; Blazquez, M.; Pineda, T. Formation of a 1,8-Octanedithiol Self-Assembled Monolayer on Au(111) Prepared in a Lyotropic Liquid-Crystalline Medium. Langmuir 2010, 26, 11790–11796. [Google Scholar] [CrossRef]
- Salvarezza, R.C.; Carro, P. The electrochemical stability of thiols on gold surfaces. J. Electroanal. Chem. 2018, 819, 234–239. [Google Scholar] [CrossRef]
- Laredo, T.; Leitch, J.; Chen, M.H.; Burgess, I.J.; Dutcher, J.R.; Lipkowski, J. Measurement of the charge number per adsorbed molecule and packing densities of self-assembled long-chain monolayers of thiols. Langmuir 2007, 23, 6205–6211. [Google Scholar] [CrossRef] [PubMed]















| Alloy/Element | Au | Ag | Cu | Zn | 
|---|---|---|---|---|
| 18K gold | 77.1 | 11.7 | 9.3 | 1.9 | 
| 14K gold | 58.4 | 11.8 | 26.4 | 3.4 | 
| 9K gold | 41.0 | 8.2 | 44.1 | 6.7 | 
| Alloy/Element | Au | Ag | Cu | Zn | 
|---|---|---|---|---|
| 24K | 99.9 | - | - | - | 
| 18K | 74.3 | 11.8 | 12.1 | 1.7 | 
| 14K | 57.2 | 13.4 | 24.9 | 4.1 | 
| 9K | 36.6 | 13.6 | 42.4 | 7.4 | 
| Alloy/Element | Au | Ag | Cu | Zn | 
|---|---|---|---|---|
| 18K | 69.22 | 20.82 | 9.32 | 0.65 | 
| 9K | 46.71 | 20.94 | 29.34 | 3.01 | 
| Au 18K | Au 18K-6MP | Au 18K-DT | Au 18K-MUA | 
|---|---|---|---|
| Rs (QR) | Rs C | Rs C | Rs Q → Rs (QR) 1 | 
| Publisher’s Note: MDPI stays neutral with regard to jurisdictional claims in published maps and institutional affiliations. | 
© 2022 by the authors. Licensee MDPI, Basel, Switzerland. This article is an open access article distributed under the terms and conditions of the Creative Commons Attribution (CC BY) license (https://creativecommons.org/licenses/by/4.0/).
Share and Cite
Sánchez-Obrero, G.; Humanes, I.; Madueño, R.; Sevilla, J.M.; Pineda, T.; Blázquez, M. Surface Protection of Quaternary Gold Alloys by Thiol Self-Assembled Monolayers. Int. J. Mol. Sci. 2022, 23, 14132. https://doi.org/10.3390/ijms232214132
Sánchez-Obrero G, Humanes I, Madueño R, Sevilla JM, Pineda T, Blázquez M. Surface Protection of Quaternary Gold Alloys by Thiol Self-Assembled Monolayers. International Journal of Molecular Sciences. 2022; 23(22):14132. https://doi.org/10.3390/ijms232214132
Chicago/Turabian StyleSánchez-Obrero, Guadalupe, Irene Humanes, Rafael Madueño, José Manuel Sevilla, Teresa Pineda, and Manuel Blázquez. 2022. "Surface Protection of Quaternary Gold Alloys by Thiol Self-Assembled Monolayers" International Journal of Molecular Sciences 23, no. 22: 14132. https://doi.org/10.3390/ijms232214132
APA StyleSánchez-Obrero, G., Humanes, I., Madueño, R., Sevilla, J. M., Pineda, T., & Blázquez, M. (2022). Surface Protection of Quaternary Gold Alloys by Thiol Self-Assembled Monolayers. International Journal of Molecular Sciences, 23(22), 14132. https://doi.org/10.3390/ijms232214132
 
        

 
       