Physiological Adaptation Mechanisms to Drought and Rewatering in Water-Saving and Drought-Resistant Rice
Abstract
1. Introduction
2. Results
2.1. Relative Water Content (RWC)
2.2. Photosynthetic Performance
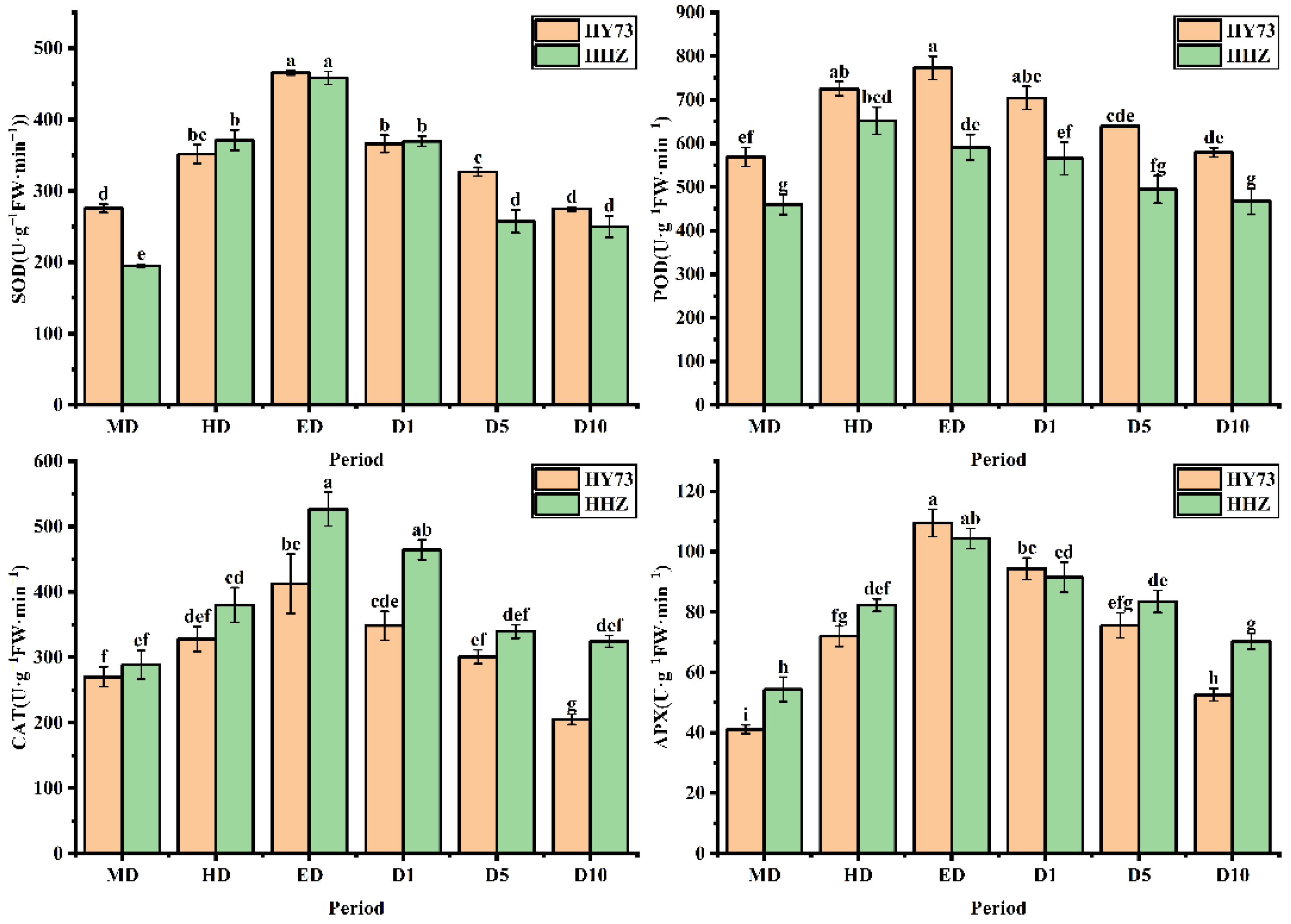
2.3. Antioxidant Enzyme Activities
2.4. MDA Levels
2.5. Osmotic Adjustment Substance Content
2.6. Correlation Analysis
3. Discussion
3.1. Photosynthetic Performance in Drought and Rewatering of WDR
3.2. Effects of Antioxidant Enzyme Activities on Photosynthetic Production in Drought and Rewatering of WDR
3.3. Effects of Osmoregulatory Substances on Photosynthetic Production in Drought and Rewatering of WDR
4. Materials and Methods
4.1. Experimental Design
4.2. Measurements
4.2.1. Relative Water Levels
4.2.2. Photosynthetic Light-Response Curve
4.2.3. Determination of Antioxidant Enzyme Activity Levels (SOD, POD, CAT)
4.2.4. Determination of APX Enzyme Activities
4.2.5. Analyses of Osmoregulatory Compounds (Malondialdehyde, Proline, Soluble Protein)
4.3. Statistical Analysis
5. Conclusions
Author Contributions
Funding
Institutional Review Board Statement
Informed Consent Statement
Data Availability Statement
Acknowledgments
Conflicts of Interest
References
- Passioura, J. The Drought Environment: Physical, Biological and Agricultural Perspectives. J. Exp. Bot. 2007, 58, 113–117. [Google Scholar] [CrossRef] [PubMed]
- Fageria, N.K. Plant Tissue Test for Determination of Optimum Concentration and Uptake of Nitrogen at Different Growth Stages in Lowland Rice. Commun. Soil Sci. Plant Anal. 2003, 34, 259–270. [Google Scholar] [CrossRef]
- Wang, L.; Wang, Q.; Huang, Y.; Wu, L.; He, H. Research progress on response mechanism of leaf stomatal conductance and mesophyll conductance to drought stress in rice (Oryza sativa L.). Chin. Bull. Life Sci. 2022, 34, 448–458. [Google Scholar] [CrossRef] [PubMed]
- Flexas, J.; Bota, J.; Cifre, J.; Mariano Escalona, J.; Galmes, J.; Gulias, J.; Lefi, E.-K.; Florinda Martinez-Canellas, S.; Teresa Moreno, M.; Ribas-Carbo, M.; et al. Understanding Down-Regulation of Photosynthesis under Water Stress: Future Prospects and Searching for Physiological Tools for Irrigation Management. Ann. Appl. Biol. 2004, 144, 273–283. [Google Scholar] [CrossRef]
- Pandey, V.; Shukla, A. Acclimation and Tolerance Strategies of Rice under Drought Stress. Rice Sci. 2015, 22, 147–161. [Google Scholar] [CrossRef]
- Farooq, M.; Wahid, A.; Lee, D.J.; Ito, O.; Siddique, K.H.M. Advances in Drought Resistance of Rice. Crit. Rev. Plant Sci. 2009, 28, 199–217. [Google Scholar] [CrossRef]
- Yang, X.; Wang, B.; Chen, L.; Li, P.; Cao, C. The Different Influences of Drought Stress at the Flowering Stage on Rice Physiological Traits, Grain Yield, and Quality. Sci. Rep. 2019, 9, 3742. [Google Scholar] [CrossRef]
- Luo, L.J.; Mei, H.W.; Yu, X.Q.; Liu, H.Y.; Feng, F.J. Water-Saving and Drought-Resistance Rice and Its Development Strategy. Chin. Sci. Bull. 2011, 56, 804–811. [Google Scholar] [CrossRef]
- He, H.; Wang, Q.; Yang, K.; Niu, M.; Wang, L.; Wu, H.; You, C.; Ke, J.; Zhu, D.; Wu, L. Optimizing Nitrogen Distribution in Source-sink Organs at Heading for High Grain Yield and High Nitrogen Use Efficiency in Japonica Rice. Agron. J. 2021, 113, 4832–4849. [Google Scholar] [CrossRef]
- He, H.B.; Yang, R.; Jia, B.; Chen, L.; Fan, H.; Cui, J.; Yang, D.; Li, M.L.; Ma, F.Y. Rice Photosynthetic Productivity and PSII Photochemistry under Nonflooded Irrigation. Sci. World J. 2014, 2014, 839658. [Google Scholar] [CrossRef]
- Wang, L.; Zhang, T.; Ding, S. Effect of Drought and Rewatering on Photosynthetic Physioecological Characteristics of Soybean. Acta Ecol. Sin. 2006, 26, 2073–2078. [Google Scholar] [CrossRef]
- Xu, Z.; Zhou, G.; Shimizu, H. Are Plant Growth and Photosynthesis Limited by Pre-Drought Following Rewatering in Grass? J. Exp. Bot. 2009, 60, 3737–3749. [Google Scholar] [CrossRef] [PubMed]
- Poudel, M.; Mendes, R.; Costa, L.A.S.; Bueno, C.G.; Meng, Y.; Folimonova, S.Y.; Garrett, K.A.; Martins, S.J. The Role of Plant-Associated Bacteria, Fungi, and Viruses in Drought Stress Mitigation. Front. Microbiol. 2021, 12. [Google Scholar] [CrossRef] [PubMed]
- Zegada-Lizarazu, W.; Monti, A. Photosynthetic Response of Sweet Sorghum to Drought and Re-Watering at Different Growth Stages. Physiol. Plant. 2013, 149, 56–66. [Google Scholar] [CrossRef] [PubMed]
- Jia, Y.; Xiao, W.; Ye, Y.; Wang, X.; Liu, X.; Wang, G.; Li, G.; Wang, Y. Response of Photosynthetic Performance to Drought Duration and Re-Watering in Maize. Agronomy 2020, 10, 533. [Google Scholar] [CrossRef]
- Liu, J.; Guo, Y.Y.; Bai, Y.W.; Li, H.J.; Xue, J.Q.; Zhang, R.H. Response of Photosynthesis in Maize to Drought and Re-Watering. Russ. J. Plant Physiol. 2019, 66, 424–432. [Google Scholar] [CrossRef]
- Nishiyama, Y.; Allakhverdiev, S.I.; Murata, N. A New Paradigm for the Action of Reactive Oxygen Species in the Photoinhibition of Photosystem II. Biochim. Biophys. Acta BBA-Bioenerg. 2006, 1757, 742–749. [Google Scholar] [CrossRef]
- Osmond, C.B.; Grace, S.C. Perspectives on Photoinhibition and Photorespiration in the Field: Quintessential Inefficiencies of the Light and Dark Reactions of Photosynthesis? J. Exp. Bot. 1995, 46, 1351–1362. [Google Scholar] [CrossRef]
- Cruz de Carvalho, M.H. Drought Stress and Reactive Oxygen Species. Plant Signal. Behav. 2008, 3, 156–165. [Google Scholar] [CrossRef]
- Gill, S.S.; Tuteja, N. Reactive Oxygen Species and Antioxidant Machinery in Abiotic Stress Tolerance in Crop Plants. Plant Physiol. Biochem. 2010, 48, 909–930. [Google Scholar] [CrossRef]
- Uzilday, B.; Turkan, I.; Sekmen, A.H.; Ozgur, R.; Karakaya, H.C. Comparison of ROS Formation and Antioxidant Enzymes in Cleome Gynandra (C4) and Cleome Spinosa (C3) under Drought Stress. Plant Sci. 2012, 182, 59–70. [Google Scholar] [CrossRef]
- Miller, G.; Suzuki, N.; Ciftci-Yilmaz, S.; Mittler, R. Reactive Oxygen Species Homeostasis and Signalling during Drought and Salinity Stresses. Plant Cell Environ. 2010, 33, 453–467. [Google Scholar] [CrossRef]
- Kaur, G.; Asthir, B. Molecular Responses to Drought Stress in Plants. Biol. Plant. 2017, 61, 201–209. [Google Scholar] [CrossRef]
- Wang, F.X.; Xiao, K.Z.; Jiang, S.F.; Qu, M.Y.; Lian, L.; He, W.; Chen, L.P.; Xie, H.A.; Zhang, J.F. Mechanisms of Reactive Oxygen Species in Plants under Drought Stress. Chin. Sci. Bull. 2019, 64, 1765–1779. [Google Scholar] [CrossRef]
- Navrot, N.; Rouhier, N.; Gelhaye, E.; Jacquot, J.-P. Reactive Oxygen Species Generation and Antioxidant Systems in Plant Mitochondria. Physiol. Plant. 2007, 129, 185–195. [Google Scholar] [CrossRef]
- del Río, L.A.; Sandalio, L.M.; Corpas, F.J.; Palma, J.M.; Barroso, J.B. Reactive Oxygen Species and Reactive Nitrogen Species in Peroxisomes. Production, Scavenging, and Role in Cell Signaling. Plant Physiol. 2006, 141, 330–335. [Google Scholar] [CrossRef]
- Smirnoff, N. Tansley Review No. 52. The Role of Active Oxygen in the Response of Plants to Water Deficit and Desiccation. New Phytol. 1993, 125, 27–58. [Google Scholar] [CrossRef]
- Foyer, C.H. Reactive Oxygen Species, Oxidative Signaling and the Regulation of Photosynthesis. Environ. Exp. Bot. 2018, 154, 134–142. [Google Scholar] [CrossRef]
- Zhang, J.; Kirkham, M.B. Drought-Stress-Induced Changes in Activities of Superoxide Dismutase, Catalase, and Peroxidase in Wheat Species. Plant Cell Physiol. 1994, 35, 785–791. [Google Scholar] [CrossRef]
- Shukla, N.; Awasthi, R.P.; Rawat, L.; Kumar, J. Biochemical and Physiological Responses of Rice (Oryza sativa L.) as Influenced by Trichoderma Harzianum under Drought Stress. Plant Physiol. Biochem. 2012, 54, 78–88. [Google Scholar] [CrossRef]
- Pandey, V.; Ansari, M.W.; Tula, S.; Yadav, S.; Sahoo, R.K.; Shukla, N.; Bains, G.; Badal, S.; Chandra, S.; Gaur, A.K.; et al. Dose-Dependent Response of Trichoderma Harzianum in Improving Drought Tolerance in Rice Genotypes. Planta 2016, 243, 1251–1264. [Google Scholar] [CrossRef]
- Dichio, B.; Xiloyannis, C.; Sofo, A.; Montanaro, G. Osmotic Regulation in Leaves and Roots of Olive Trees during a Water Deficit and Rewatering. Tree Physiol. 2006, 26, 179–185. [Google Scholar] [CrossRef] [PubMed]
- Yang, X.; Lu, M.; Wang, Y.; Wang, Y.; Liu, Z.; Chen, S. Response Mechanism of Plants to Drought Stress. Horticulturae 2021, 7, 50. [Google Scholar] [CrossRef]
- Patakas, A.; Nikolaou, N.; Zioziou, E.; Radoglou, K.; Noitsakis, B. The Role of Organic Solute and Ion Accumulation in Osmotic Adjustment in Drought-Stressed Grapevines. Plant Sci. 2002, 163, 361–367. [Google Scholar] [CrossRef]
- Golding, A.J.; Johnson, G.N. Down-Regulation of Linear and Activation of Cyclic Electron Transport during Drought. Planta 2003, 218, 107–114. [Google Scholar] [CrossRef] [PubMed]
- Zivcak, M.; Brestic, M.; Balatova, Z.; Drevenakova, P.; Olsovska, K.; Kalaji, H.M.; Yang, X.H.; Allakhverdiev, S.I. Photosynthetic Electron Transport and Specific Photoprotective Responses in Wheat Leaves under Drought Stress. Photosynth. Res. 2013, 117, 529–546. [Google Scholar] [CrossRef]
- Scheller, H.V.; Haldrup, A. Photoinhibition of Photosystem I. Planta 2005, 221, 5–8. [Google Scholar] [CrossRef]
- Erling Tjus, S.; Lindberg Møller, B.; Vibe Scheller, H. Photosystem I Is an Early Target of Photoinhibition in Barley Illuminated at Chilling Temperatures. Plant Physiol. 1998, 116, 755–764. [Google Scholar] [CrossRef]
- Hwang, H.J.; Kim, J.-H.; Eu, Y.-J.; Moon, B.Y.; Cho, S.H.; Lee, C.-H. Photoinhibition of Photosystem I Is Accelerated by Dimethyldithiocarbamate, an Inhibitor of Superoxide Dismutase, during Light-Chilling of Spinach Leaves. J. Photochem. Photobiol. B 2004, 73, 79–85. [Google Scholar] [CrossRef]
- Agrawal, D.; Jajoo, A. Study of High Temperature Stress Induced Damage and Recovery in Photosystem II (PSII) and Photosystem I (PSI) in Spinach Leaves (Spinacia oleracia). J. Plant Biochem. Biotechnol. 2021, 30, 532–544. [Google Scholar] [CrossRef]
- Tikkanen, M.; Mekala, N.R.; Aro, E.-M. Photosystem II Photoinhibition-Repair Cycle Protects Photosystem I from Irreversible Damage. Biochim. Biophys. Acta BBA-Bioenerg. 2014, 1837, 210–215. [Google Scholar] [CrossRef] [PubMed]
- Zhang, S.; Scheller, H.V. Photoinhibition of Photosystem I at Chilling Temperature and Subsequent Recovery in Arabidopsis Thaliana. Plant Cell Physiol. 2004, 45, 1595–1602. [Google Scholar] [CrossRef] [PubMed]
- Erling Tjus, S.; Lindberg Møller, B.; Scheller, H.V. Photoinhibition of Photosystem I Damages Both Reaction Centre Proteins PSI-A and PSI-B and Acceptor-Side Located Small Photosystem I Polypeptides. Photosynth. Res. 1999, 60, 75–86. [Google Scholar] [CrossRef]
- Atkin, O.K.; Evans, J.R.; Siebke, K. Relationship between the Inhibition of Leaf Respiration by Light and Enhancement of Leaf Dark Respiration Following Light Treatment. Funct. Plant Biol. 1998, 25, 437–443. [Google Scholar] [CrossRef]
- Bouma, T.J.; De Visser, R.; Van Leeuwen, P.H.; De Kock, M.J.; Lambers, H. The Respiratory Energy Requirements Involved in Nocturnal Carbohydrate Export from Starch-Storing Mature Source Leaves and Their Contribution to Leaf Dark Respiration. J. Exp. Bot. 1995, 46, 1185–1194. [Google Scholar] [CrossRef]
- Raven, J.A.; Beardall, J. Dark Respiration and Organic Carbon Loss. In The Physiology of Microalgae; Springer International Publishing: Cham, Switzerland, 2016; pp. 129–140. ISBN 978-3-319-24945-2. [Google Scholar]
- Nishiyama, Y.; Allakhverdiev, S.I.; Murata, N. Inhibition of the Repair of Photosystem II by Oxidative Stress in Cyanobacteria. Photosynth. Res. 2005, 84, 1–7. [Google Scholar] [CrossRef]
- Allakhverdiev, S.I.; Murata, N. Environmental Stress Inhibits the Synthesis de Novo of Proteins Involved in the Photodamage–Repair Cycle of Photosystem II in Synechocystis Sp. PCC 6803. Biochim. Biophys. Acta BBA-Bioenerg. 2004, 1657, 23–32. [Google Scholar] [CrossRef]
- Moon, B.Y.; Higashi, S.; Gombos, Z.; Murata, N. Unsaturation of the Membrane Lipids of Chloroplasts Stabilizes the Photosynthetic Machinery against Low-Temperature Photoinhibition in Transgenic Tobacco Plants. Proc. Natl. Acad. Sci. USA 1995, 92, 6219–6223. [Google Scholar] [CrossRef]
- Nishiyama, Y.; Yamamoto, H.; Allakhverdiev, S.I.; Inaba, M.; Yokota, A.; Murata, N. Oxidative Stress Inhibits the Repair of Photodamage to the Photosynthetic Machinery. EMBO J. 2001, 20, 5587–5594. [Google Scholar] [CrossRef]
- Burnside, C.A.; Böhning, R.H. The Effect of Prolonged Shading on the Light Saturation Curves of Apparent Photosynthesis in Sun Plants. Plant Physiol. 1957, 32, 61–63. [Google Scholar] [CrossRef]
- Flexas, J.; Medrano, H. Energy Dissipation in C3 Plants under Drought. Funct. Plant Biol. 2002, 29, 1209–1215. [Google Scholar] [CrossRef] [PubMed]
- Colom, M.R.; Vazzana, C. Photosynthesis and PSII Functionality of Drought-Resistant and Drought-Sensitive Weeping Lovegrass Plants. Environ. Exp. Bot. 2003, 49, 135–144. [Google Scholar] [CrossRef]
- Shao, H.-B.; Chu, L.-Y.; Wu, G.; Zhang, J.-H.; Lu, Z.-H.; Hu, Y.-C. Changes of Some Anti-Oxidative Physiological Indices under Soil Water Deficits among 10 Wheat (Triticum aestivum L.) Genotypes at Tillering Stage. Colloids Surf. B Biointerfaces 2007, 54, 143–149. [Google Scholar] [CrossRef] [PubMed]
- Xu, Z.; Zhou, G.; Shimizu, H. Plant Responses to Drought and Rewatering. Plant Signal. Behav. 2010, 5, 649–654. [Google Scholar] [CrossRef] [PubMed]
- Henckel, P. Physiology of Plants under Drought. Annu. Rev. Plant Physiol. 1964, 15, 363–386. [Google Scholar] [CrossRef]
- Kar, R.K. Plant Responses to Water Stress: Role of Reactive Oxygen Species. Plant Signal. Behav. 2011, 6, 1741–1745. [Google Scholar] [CrossRef]
- Sade, B.; Soylu, S.; Soylu, E. Drought and Oxidative Stress. Afr. J. Biotechnol. 2011, 10, 11102–11109. [Google Scholar]
- Wang, X.; Liu, H.; Yu, F.; Hu, B.; Jia, Y.; Sha, H.; Zhao, H. Differential Activity of the Antioxidant Defence System and Alterations in the Accumulation of Osmolyte and Reactive Oxygen Species under Drought Stress and Recovery in Rice (Oryza sativa L.) Tillering. Sci. Rep. 2019, 9, 8543. [Google Scholar] [CrossRef]
- Weber, H.; Chételat, A.; Reymond, P.; Farmer, E.E. Selective and Powerful Stress Gene Expression in Arabidopsis in Response to Malondialdehyde. Plant J. 2004, 37, 877–888. [Google Scholar] [CrossRef]
- Tounekti, T.; Vadel, A.M.; Oñate, M.; Khemira, H.; Munné-Bosch, S. Salt-Induced Oxidative Stress in Rosemary Plants: Damage or Protection? Environ. Exp. Bot. 2011, 71, 298–305. [Google Scholar] [CrossRef]
- Zhang, S.-Z.; Hua, B.-Z.; Zhang, F. Induction of the Activities of Antioxidative Enzymes and the Levels of Malondialdehyde in Cucumber Seedlings as a Consequence of Bemisia Tabaci (Hemiptera: Aleyrodidae) Infestation. Arthropod-Plant Interact. 2008, 2, 209–213. [Google Scholar] [CrossRef]
- Li, G.; Wan, S.; Zhou, J.; Yang, Z.; Qin, P. Leaf Chlorophyll Fluorescence, Hyperspectral Reflectance, Pigments Content, Malondialdehyde and Proline Accumulation Responses of Castor Bean (Ricinus communis L.) Seedlings to Salt Stress Levels. Ind. Crops Prod. 2010, 31, 13–19. [Google Scholar] [CrossRef]
- Gusain, Y.S.; Singh, U.S.; Sharma, A.K. Bacterial Mediated Amelioration of Drought Stress in Drought Tolerant and Susceptible Cultivars of Rice (Oryza sativa L.). Afr. J. Biotechnol. 2015, 14, 764–773. [Google Scholar] [CrossRef]
- Moussa, H.R.; Abdel-Aziz, S.M. Comparative Response of Drought Tolerant and Drought Sensitive Maize Genotypes to Water Stress. Aust. J. Crop Sci. 2008, 1, 31–36. [Google Scholar]
- Hernandez, J.O.; An, J.Y.; Combalicer, M.S.; Chun, J.-P.; Oh, S.-K.; Park, B.B. Morpho-Anatomical Traits and Soluble Sugar Concentration Largely Explain the Responses of Three Deciduous Tree Species to Progressive Water Stress. Front. Plant Sci. 2021, 12, 738301. [Google Scholar] [CrossRef]
- Haida, Z.; Hakiman, M. A Comprehensive Review on the Determination of Enzymatic Assay and Nonenzymatic Antioxidant Activities. Food Sci. Nutr. 2019, 7, 1555–1563. [Google Scholar] [CrossRef]
- Velikova, V.; Yordanov, I.; Edreva, A. Oxidative Stress and Some Antioxidant Systems in Acid Rain-Treated Bean Plants Protective Role of Exogenous Polyamines. Plant Sci. 2000, 151, 59–66. [Google Scholar] [CrossRef]
- Dawood, M.G. Influence of Osmoregulators on Plant Tolerance to Water Stress. Sci. Agric. 2016, 13, 42–58. [Google Scholar]
- Du, J.; Chen, X.; Li, W.; Gao, Q. Osmoregulation Mechanism of Drought Stress and Genetic Engineering Strategies for Improving Drought Resistance in Plants. For. Stud. China 2004, 6, 56–62. [Google Scholar] [CrossRef]
- Lum, M.; Hanafi, M.; Rafii, Y.; Akmar, A. Effect of Drought Stress on Growth, Proline and Antioxidant Enzyme Activities of Upland Rice. JAPS J. Anim. Plant Sci. 2014, 24, 1487–1493. [Google Scholar]
- Zhang, C.; Wang, N.; Zhang, Y.; Feng, Q.; Yang, C.; Liu, B. DNA Methylation Involved in Proline Accumulation in Response to Osmotic Stress in Rice (Oryza sativa). Genet. Mol. Res. 2013, 12, 1269–1277. [Google Scholar] [CrossRef] [PubMed]
- Uruç Parlak, K.; Demirezen Yilmaz, D. Response of Antioxidant Defences to Zn Stress in Three Duckweed Species. Ecotoxicol. Environ. Saf. 2012, 85, 52–58. [Google Scholar] [CrossRef] [PubMed]
- Chen, Z. Comparative on Physiological Adaptation of the Upland Rice and Rice in Dry Conditions. Master’s Thesis, Jilin Agricultural University, Changchun, China, 2008. [Google Scholar]
- Ye, Z.-P. A New Model for Relationship between Irradiance and the Rate of Photosynthesis in Oryza Sativa. Photosynthetica 2007, 45, 637–640. [Google Scholar] [CrossRef]







Publisher’s Note: MDPI stays neutral with regard to jurisdictional claims in published maps and institutional affiliations. |
© 2022 by the authors. Licensee MDPI, Basel, Switzerland. This article is an open access article distributed under the terms and conditions of the Creative Commons Attribution (CC BY) license (https://creativecommons.org/licenses/by/4.0/).
Share and Cite
Wang, L.; Zhang, X.; She, Y.; Hu, C.; Wang, Q.; Wu, L.; You, C.; Ke, J.; He, H. Physiological Adaptation Mechanisms to Drought and Rewatering in Water-Saving and Drought-Resistant Rice. Int. J. Mol. Sci. 2022, 23, 14043. https://doi.org/10.3390/ijms232214043
Wang L, Zhang X, She Y, Hu C, Wang Q, Wu L, You C, Ke J, He H. Physiological Adaptation Mechanisms to Drought and Rewatering in Water-Saving and Drought-Resistant Rice. International Journal of Molecular Sciences. 2022; 23(22):14043. https://doi.org/10.3390/ijms232214043
Chicago/Turabian StyleWang, Lele, Xuenan Zhang, Yehong She, Chao Hu, Quan Wang, Liquan Wu, Cuicui You, Jian Ke, and Haibing He. 2022. "Physiological Adaptation Mechanisms to Drought and Rewatering in Water-Saving and Drought-Resistant Rice" International Journal of Molecular Sciences 23, no. 22: 14043. https://doi.org/10.3390/ijms232214043
APA StyleWang, L., Zhang, X., She, Y., Hu, C., Wang, Q., Wu, L., You, C., Ke, J., & He, H. (2022). Physiological Adaptation Mechanisms to Drought and Rewatering in Water-Saving and Drought-Resistant Rice. International Journal of Molecular Sciences, 23(22), 14043. https://doi.org/10.3390/ijms232214043
