Insect Gut Bacteria Promoting the Growth of Tomato Plants (Solanum lycopersicum L.)
Abstract
Simple Summary
Abstract
1. Introduction
2. Results
2.1. Characteristics of Bacterial Strains
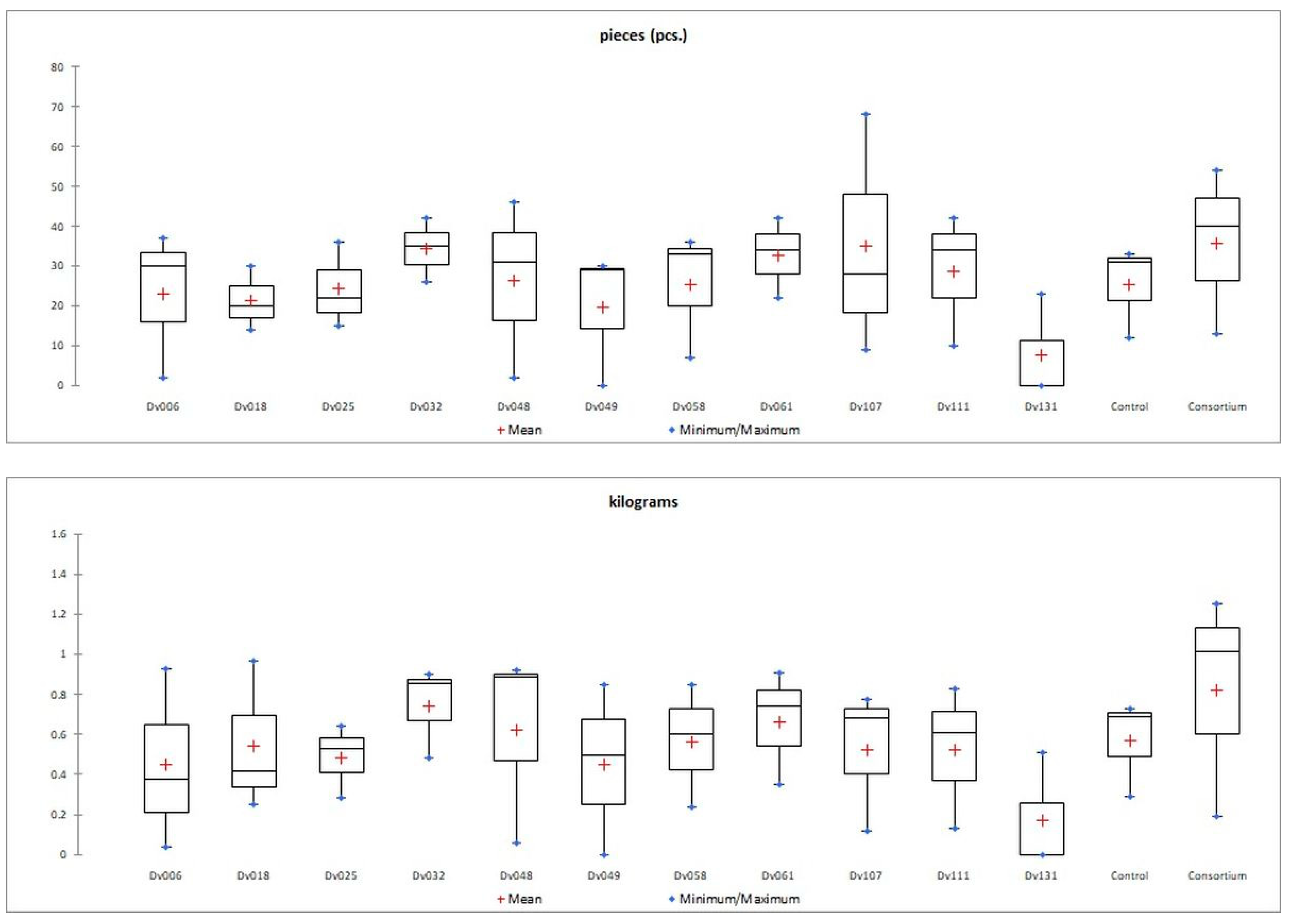
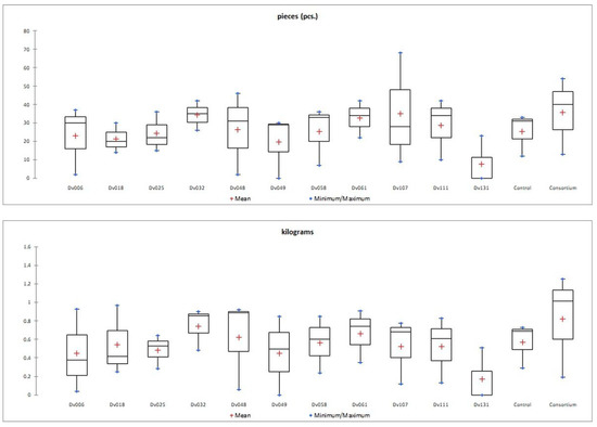
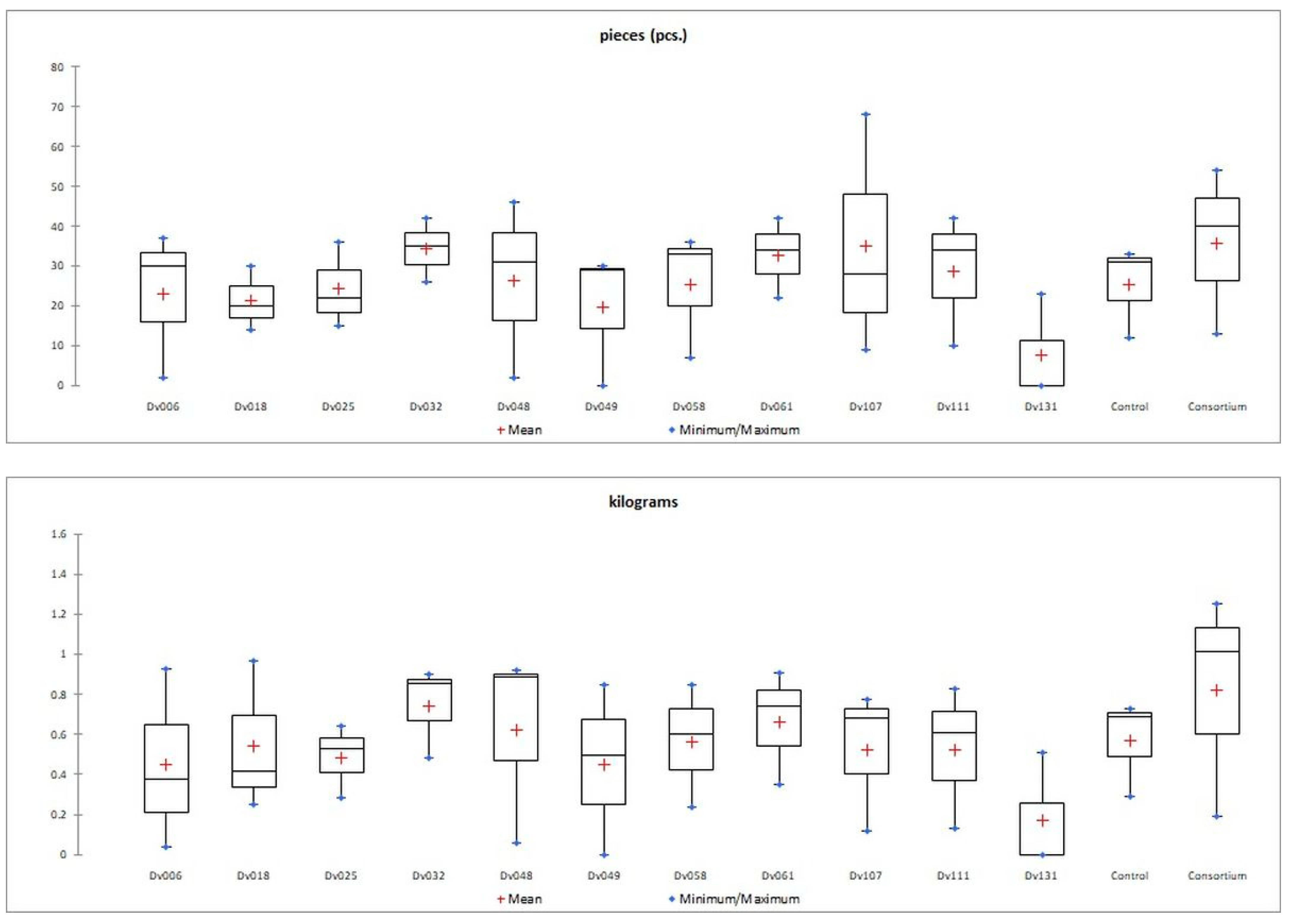
2.2. The Greenhouse Test
2.3. Tomato Plants’ Growth Indexes
2.4. The NGS Analysis
3. Discussion
4. Materials and Methods
4.1. Bacterial Strains
4.2. Biochemical Strain Characterization of Bacteria
4.3. Statistical Analysis
4.4. Identification of Bacteria
4.5. Bacterial Consortium
4.6. Preparation of Bacterial Inoculum
4.7. Greenhouse Test
4.8. Plant Growth Indexes Assessment
4.9. NGS Analysis
4.10. Bacterial Sequencing
4.11. Bioinformatic Processing
4.12. Biodiversity Analysis
5. Conclusions
Supplementary Materials
Author Contributions
Funding
Institutional Review Board Statement
Informed Consent Statement
Data Availability Statement
Acknowledgments
Conflicts of Interest
References
- Mena-Violante, H.G.; Olalde-Portugal, V. Alteration of Tomato Fruit Quality by Root Inoculation with Plant Growth-Promoting Rhizobacteria (PGPR): Bacillus Subtilis BEB-13bs. Sci. Hortic. 2007, 113, 103–106. [Google Scholar] [CrossRef]
- Almaghrabi, O.A.; Massoud, S.I.; Abdelmoneim, T.S. Influence of Inoculation with Plant Growth Promoting Rhizobacteria (PGPR) on Tomato Plant Growth and Nematode Reproduction under Greenhouse Conditions. Saudi J. Biol. Sci. 2013, 20, 57–61. [Google Scholar] [CrossRef] [PubMed]
- Mayak, S.; Tirosh, T.; Glick, B.R. Plant Growth-Promoting Bacteria That Confer Resistance to Water Stress in Tomatoes and Peppers. Plant Sci. 2004, 166, 525–530. [Google Scholar] [CrossRef]
- Botta, A.L.; Santacecilia, A.; Ercole, C.; Cacchio, P.; Del Gallo, M. In Vitro and in Vivo Inoculation of Four Endophytic Bacteria on Lycopersicon Esculentum. N. Biotechnol. 2013, 30, 666–674. [Google Scholar] [CrossRef]
- Afzal, I.; Shinwari, Z.K.; Sikandar, S.; Shahzad, S. Plant Beneficial Endophytic Bacteria: Mechanisms, Diversity, Host Range and Genetic Determinants. Microbiol. Res. 2019, 221, 36–49. [Google Scholar] [CrossRef]
- Santoyo, G.; Moreno-Hagelsieb, G.; del Carmen Orozco-Mosqueda, M.; Glick, B.R. Plant Growth-Promoting Bacterial Endophytes. Microbiol. Res. 2016, 183, 92–99. [Google Scholar] [CrossRef]
- Krawczyk, K.; Zwolińska, A.; Kamasa, J.; Maćkowi, A.; Przemieniecki, S. Identification and Characterization of Plant Growth Promoting Endophytic Bacteria. Prog. Plant Prot. 2016, 56, 100–109. [Google Scholar] [CrossRef][Green Version]
- Gravel, V.; Antoun, H.; Tweddell, R.J. Growth Stimulation and Fruit Yield Improvement of Greenhouse Tomato Plants by Inoculation with Pseudomonas Putida or Trichoderma Atroviride: Possible Role of Indole Acetic Acid (IAA). Soil Biol. Biochem. 2007, 39, 1968–1977. [Google Scholar] [CrossRef]
- Radzki, W.; Gutierrez Mañero, F.J.; Algar, E.; Lucas García, J.A.; García-Villaraco, A.; Ramos Solano, B. Bacterial Siderophores Efficiently Provide Iron to Iron-Starved Tomato Plants in Hydroponics Culture. Antonie Van Leeuwenhoek 2013, 104, 321–330. [Google Scholar] [CrossRef]
- Nagata, T.; Oobo, T.; Aozasa, O. Efficacy of a Bacterial Siderophore, Pyoverdine, to Supply Iron to Solanum Lycopersicum Plants. J. Biosci. Bioeng. 2013, 115, 686–690. [Google Scholar] [CrossRef]
- Abou El-Yazeid, A.; Abou-Aly, H.E. Enhancing Growth, Productivity and Quality of Tomato Plants Using Phosphate Solubilizing Microorganisms. Aust. J. Basic Appl. Sci. 2011, 5, 371–379. [Google Scholar]
- Abbamondi, G.R.; Tommonaro, G.; Weyens, N.; Thijs, S.; Sillen, W.; Gkorezis, P.; Iodice, C.; de Melo Rangel, W.; Nicolaus, B.; Vangronsveld, J. Plant Growth-Promoting Effects of Rhizospheric and Endophytic Bacteria Associated with Different Tomato Cultivars and New Tomato Hybrids. Chem. Biol. Technol. Agric. 2016, 3, 1–10. [Google Scholar] [CrossRef]
- Dekkers, L.C.; Mulders, I.H.M.; Phoelich, C.C.; Chin-A-Woeng, T.F.C.; Wijfjes, A.H.M.; Lugtenberg, B.J.J. The Sss Colonization Gene of the Tomato-Fusarium Oxysporum f. Sp. Radicislycopersici Biocontrol Strain Pseudomonas Fluorescens WCS365 Can Improve Root Colonization of Other Wild-Type Pseudomonas Spp. Bacteria. Mol. Plant-Microbe Interact. 2000, 13, 1177–1183. [Google Scholar] [CrossRef]
- Kwak, M.J.; Kong, H.G.; Choi, K.; Kwon, S.K.; Song, J.Y.; Lee, J.; Lee, P.A.; Choi, S.Y.; Seo, M.; Lee, H.J.; et al. Rhizosphere Microbiome Structure Alters to Enable Wilt Resistance in Tomato. Nat. Biotechnol. 2018, 36, 1100–1116. [Google Scholar] [CrossRef] [PubMed]
- Khalid, A.; Arshad, M.; Zahir, Z.A. Screening Plant Growth-Promoting Rhizobacteria for Improving Growth and Yield of Wheat. J. Appl. Microbiol. 2004, 96, 473–480. [Google Scholar] [CrossRef]
- Przemieniecki, S.W.; Gorczyca, A.; Matras, E.; Krawczyk, K.; Mastalerz, J.; Zakrzewski, A. Bacteria Isolated from the Aeration Chamber of Wastewater Treatment Plants Used in the Biocontrol and Promotion of Wheat Growth. Agronomy 2020, 10, 1792. [Google Scholar] [CrossRef]
- Dillon, R.J.; Dillon, V.M. The Gut Bacteria of Insects: Nonpathogenic Interactions. Annu. Rev. Entomol. 2004, 49, 71–92. [Google Scholar] [CrossRef]
- Araujo, L. Symbiosis of Evolutionary Techniques and Statistical Natural Language Processing. IEEE Trans. Evol. Comput. 2004, 8, 14–27. [Google Scholar] [CrossRef]
- Wielkopolan, B.; Krawczyk, K.; Obrępalska-Stęplowska, A. Gene Expression of Serine and Cysteine Proteinase Inhibitors during Cereal Leaf Beetle Larvae Feeding on Wheat: The Role of Insect-Associated Microorganisms. Arthropod. Plant. Interact. 2018, 12, 601–612. [Google Scholar] [CrossRef]
- Lacey, L.A. Entomopathogens Used as Microbial Control Agents; Elsevier Inc.: Amsterdam, The Netherlands, 2016; ISBN 9780128035665. [Google Scholar]
- Wielkopolan, B.; Krawczyk, K.; Szabelska-Beręsewicz, A.; Obrępalska-Stęplowska, A. The Structure of the Cereal Leaf Beetle (Oulema Melanopus) Microbiome Depends on the Insect’s Developmental Stage, Host Plant, and Origin. Sci. Rep. 2021, 11, 1–19. [Google Scholar] [CrossRef]
- Feldhaar, H.; Gross, R. Insects as Hosts for Mutualistic Bacteria. Int. J. Med. Microbiol. 2009, 299, 1–8. [Google Scholar] [CrossRef] [PubMed]
- Kikuchi, Y. Endosymbiotic Bacteria in Insects: Their Diversity and Culturability. Microbes Environ. 2009, 24, 195–204. [Google Scholar] [CrossRef] [PubMed]
- Eleftherianos, L.; Atri, J.; Accetta, J.; Castillo, J.C. Endosymbiotic Bacteria in Insects: Guardians of the Immune System? Front. Physiol. 2013, 4, 1–11. [Google Scholar] [CrossRef] [PubMed]
- Gill, S.R.; Pop, M.; DeBoy, R.T.; Eckburg, P.B.; Turnbaugh, P.J.; Samuel, B.S.; Gordon, J.I.; Relman, D.A.; Fraser-Liggett, C.M.; Nelson, K.E. Metagenomic Analysis of the Human Distal Gut Microbiome. Science 2006, 312, 1355–1359. [Google Scholar] [CrossRef] [PubMed]
- Priya, N.G.; Ojha, A.; Kajla, M.K.; Raj, A.; Rajagopal, R. Host Plant Induced Variation in Gut Bacteria of Helicoverpa Armigera. PLoS ONE 2012, 7, 1–10. [Google Scholar] [CrossRef]
- Egert, M.; Stingl, U.; Bruun, L.D.; Pommerenke, B.; Brune, A.; Friedrich, M.W. Structure and Topology of Microbial Communities in the Major Gut Compartments of Melolontha Melolontha Larvae (Coleoptera: Scarabaeidae). Appl. Environ. Microbiol. 2005, 71, 4556–4566. [Google Scholar] [CrossRef]
- Cox, C.R.; Gilmore, M.S. Native Microbial Colonization of Drosophila Melanogaster and Its Use as a Model of Enterococcus Faecalis Pathogenesis. Infect. Immun. 2007, 75, 1565–1576. [Google Scholar] [CrossRef]
- Broderick, N.A.; Robinson, C.J.; McMahon, M.D.; Holt, J.; Handelsman, J.; Raffa, K.F. Contributions of Gut Bacteria to Bacillus Thuringiensis-Induced Mortality Vary across a Range of Lepidoptera. BMC Biol. 2009, 7, 1–9. [Google Scholar] [CrossRef]
- Wielkopolan, B.; Frąckowiak, P.; Wieczorek, P.; Obrępalska-Stęplowska, A. The Impact of Oulema Melanopus—Associated Bacteria on the Wheat Defense Response to the Feeding of Their Insect Hosts. Cells 2022, 11, 2342. [Google Scholar] [CrossRef]
- Mason, C.J. Complex Relationships at the Intersection of Insect Gut Microbiomes and Plant Defenses. J. Chem. Ecol. 2020, 46, 793–807. [Google Scholar] [CrossRef]
- Indiragandhi, P.; Anandham, R.; Madhaiyan, M.; Poonguzhali, S.; Kim, G.H.; Saravanan, V.S.; Sa, T. Cultivable Bacteria Associated with Larval Gut of Prothiofos-Resistant, Prothiofos-Susceptible and Field-Caught Populations of Diamondback Moth, Plutella Xylostella and Their Potential for, Antagonism towards Entomopathogenic Fungi and Host Insect Nutriti. J. Appl. Microbiol. 2007, 103, 2664–2675. [Google Scholar] [CrossRef] [PubMed]
- Mogouong, J.; Constant, P.; Legendre, P.; Guertin, C. The Phyllosphere Microbiome of Host Trees Contributes More than Leaf Phytochemicals to Variation in the Agrilus Planipennis Fairmaire Gut Microbiome Structure. Sci. Rep. 2021, 11, 1–15. [Google Scholar] [CrossRef]
- Gomes, S.I.F.; Kielak, A.M.; Hannula, S.E.; Heinen, R.; Jongen, R.; Keesmaat, I.; De Long, J.R.; Bezemer, T.M. Microbiomes of a Specialist Caterpillar Are Consistent across Different Habitats but Also Resemble the Local Soil Microbial Communities. Anim. Microbiome 2020, 2, 37. [Google Scholar] [CrossRef] [PubMed]
- Indiragandhi, P.; Anandham, R.; Madhaiyan, M.; Sa, T.M. Characterization of Plant Growth-Promoting Traits of Bacteria Isolated from Larval Guts of Diamondback Moth Plutella Xylostella (Lepidoptera: Plutellidae). Curr. Microbiol. 2008, 56, 327–333. [Google Scholar] [CrossRef] [PubMed]
- Gadhave, K. Interactions between Plant Growth Promoting Rhizobacteria, Foliar-Feeding Insects and Higher Trophic Levels. Ph.D. Thesis, University of London, London, UK, 2015. Available online: https://core.ac.uk/outputs/77297480 (accessed on 11 May 2021).
- De Oliveira Ara, E. Rizobacteria in the Control of Pest Insects in Agriculture. African J. Plant Sci. 2015, 9, 368–373. [Google Scholar] [CrossRef][Green Version]
- Bashan, Y.; de-Bashan, L.E. Bacteria/Plant Growth-Promotion. Encycl. soils Environ. 2005, 1, 103–115. [Google Scholar] [CrossRef]
- Ghodsalavi, B.; Ahmadzadeh, M.; Soleimani, M.; Madloo, P.B.; Taghizad-Farid, R. Isolation and Characterization of Rhizobacteria and Their Effects on Root Extracts of Valeriana Officinalis. Aust. J. Crop Sci. 2013, 7, 338–344. [Google Scholar]
- Glick, B.R. Beneficial Plant-Bacterial Interactions. Benef. Plant-Bact. Interact. 2015, 1–243. [Google Scholar] [CrossRef]
- Pineda, A.; Kaplan, I.; Bezemer, T.M. Steering Soil Microbiomes to Suppress Aboveground Insect Pests. Trends Plant Sci. 2017, 22, 770–778. [Google Scholar] [CrossRef]
- Chung, S.H.; Rosa, C.; Scully, E.D.; Peiffer, M.; Tooker, J.F.; Hoover, K.; Luthe, D.S.; Felton, G.W. Herbivore Exploits Orally Secreted Bacteria to Suppress Plant Defenses. Proc. Natl. Acad. Sci. USA 2013, 110, 15728–15733. [Google Scholar] [CrossRef]
- Peterson, J.K.; Schalk, J.M. Internal Bacteria in the Chrysomelidae, 50th ed.; Jolivet, P.H., Cox, M.L., Petitpierre, E., Eds.; Springer: Dordrecht, The Netherlands, 1994; ISBN 978-94-011-1781-4. [Google Scholar]
- Munif, A.; Hallmann, J.; Sikora, R. Isolation of Endophytic Bacteria from Tomato and Their Biocontrol Activities against Fungal Diseases. Microbiol. Indones. 2012, 6, 148–156. [Google Scholar] [CrossRef]
- Hardoim, P.R.; Andreote, F.D.; Reinhold-Hurek, B.; Sessitsch, A.; van Overbeek, L.S.; van Elsas, J.D. Rice Root-Associated Bacteria: Insights into Community Structures Across10 Cultivars. FEMS Microbiol. Ecol. 2011, 77, 154–164. [Google Scholar] [CrossRef] [PubMed]
- Romero, F.M.; Marina, M.; Pieckenstain, F.L. The Communities of Tomato (Solanum lycopersicum L.) Leaf Endophytic Bacteria, Analyzed by 16S-Ribosomal RNA Gene Pyrosequencing. FEMS Microbiol. Lett. 2014, 351, 187–194. [Google Scholar] [CrossRef]
- Tian, B.-Y.; Cao, Y.; Zhang, K.-Q. Metagenomic Insights into Communities, Functions of Endophytes, and Their Associates with Infection by Root-Knot Nematode, Meloidogyne Incognita, in Tomato Roots. Sci. Rep. 2015, 5, 17087. [Google Scholar] [CrossRef]
- Farmer, J.J.; Davis, B.R.; Hickman-Brenner, F.W.; McWhorter, A.; Huntley-Carter, G.P.; Asbury, M.A.; Riddle, C.; Wathen-Grady, H.G.; Elias, C.; Fanning, G.R. Biochemical Identification of New Species and Biogroups of Enterobacteriaceae Isolated from Clinical Specimens. J. Clin. Microbiol. 1985, 21, 46–76. [Google Scholar] [CrossRef] [PubMed]
- Bolotin, A.; Wincker, P.; Mauger, S.; Jaillon, O.; Malarme, K.; Weissenbach, J.; Ehrlich, S.D.; Sorokin, A. The Complete Genome Sequence of the Lactic Acid Bacterium. Genome Res. 2001, 731–753. [Google Scholar] [CrossRef]
- Vendrell, D.; Balcázar, J.L.; Ruiz-Zarzuela, I.; de Blas, I.; Gironés, O.; Múzquiz, J.L. Lactococcus Garvieae in Fish: A Review. Comp. Immunol. Microbiol. Infect. Dis. 2006, 29, 177–198. [Google Scholar] [CrossRef] [PubMed]
- Wilbring, M.; Alexiou, K.; Reichenspurner, H.; Matschke, K.; Tugtekin, S.M. Lactococcus Garvieae Causing Zoonotic Prosthetic Valve Endocarditis. Clin. Res. Cardiol. 2011, 100, 545–546. [Google Scholar] [CrossRef] [PubMed]
- Wielkopolan, B.; Obrępalska-Stęplowska, A. Three-Way Interaction among Plants, Bacteria, and Coleopteran Insects. Planta 2016, 244, 313–332. [Google Scholar] [CrossRef] [PubMed]
- Hankin, L.; Anagnostakis, S.L. Solid Media Containing Carboxymethylcellulose to Detect Cx Cellulase Activity of Micro-Organisms. J. Gen. Microbiol. 1977, 98, 109–115. [Google Scholar] [CrossRef] [PubMed]
- Griffiths, B.S.; Philippot, L. Insights into the Resistance and Resilience of the Soil Microbial Community. FEMS Microbiol. Rev. 2013, 37, 112–129. [Google Scholar] [CrossRef] [PubMed]
- Barr, K.L.; Hearne, L.B.; Briesacher, S.; Clark, T.L.; Davis, G.E. Microbial Symbionts in Insects Influence Down-Regulation of Defense Genes in Maize. PLoS One 2010, 5. [Google Scholar] [CrossRef] [PubMed]
- Sharma, S.; Kumar, V.; Tripathi, R.B. Isolation of Phosphate Solubilizing Microorganism (PSMs) From Soil. J. Microbiol. Biotech. Res. 2011, 1, 90–95. [Google Scholar]
- Addinsoft, P. XLSTAT 2016: Data Analysis and Statistical Solution for Microsoft Excel. 2016. Available online: https://www.addinsoft.com/ (accessed on 22 January 2021).
- Doyle, J.J.; Doyle, J.L. DNA Isolation from Small Amounts of Plant Tissue. Available online: http://220.227.138.213/phytofura/phytoweb/protocols/lDoyleandDoylectabmethodofdnaisolation.pdf (accessed on 9 January 2020).
- Korbie, D.J.; Mattick, J.S. Touchdown PCR for Increased Specificity and Sensitivity in PCR Amplification. Nat. Protoc. 2008, 3, 13–15. [Google Scholar] [CrossRef] [PubMed]
- Gerischer, U. (Ed.) Acinetobacter Molecular Microbiology; Caister Academic Press: Ulm, Germany, 2008; ISBN 9781904455202 1904455204. [Google Scholar]
- Lee, H.; Churey, J.J.; Worobo, R.W. Biosynthesis and Transcriptional Analysis of Thurincin H, a Tandem Repeated Bacteriocin Genetic Locus, Produced by Bacillus Thuringiensis SF361. FEMS Microbiol. Lett. 2009, 299, 205–213. [Google Scholar] [CrossRef] [PubMed]
- Hall, T.A. BioEdit: A User-Friendly Biological Sequence Alignment Editor and Analysis Program for Windows 95/98/NT. Nucleic Acids Symp. Ser. 1999, 41, 95–98. [Google Scholar]
- Nicholas, K.B.; Nicholas, H.B.J. GeneDoc: A Tool for Editing and Annotating Multiple Sequence Alignments. 1997. Available online: http//www.psc.edu/biomed/genedoc (accessed on 18 February 2021).
- Wilhelm, W.; Ruwe, K.; Schlemmer, M.R. Comparison of Three Leaf Area Index Meters in a Corn Canopy. Univ. Nebraska-Linc. 2000, 40, 1178–1183. [Google Scholar] [CrossRef]
- Poorter, H.; Remeks, C. Leaf Area Raito and Net Assimilation Rate of 24 Wild Species Differing in Relative Growth Rate. Oecologia 1990, 83, 553–559. [Google Scholar] [CrossRef]
- Edwards, U.; Rogall, T.; Helmut, B.; Emde, M.; Bottger, E. Isolation and Direct Complete Nucleotide Determination of Entire Genes. Characterization of a Gene Coding for 16S Ribosomal RNA. Nucleic Acids Res 1989, 17, 7843–7853. [Google Scholar] [CrossRef]
- Hornung, B.V.H.; Zwittink, R.D.; Kuijper, E.J. Issues and Current Standards of Controls in Microbiome Research. FEMS Microbiol. Ecol. 2019, 95, 1–7. [Google Scholar] [CrossRef]
- Yang, J.; Tsukimi, T.; Yoshikawa, M.; Suzuki, K.; Takeda, T.; Tomita, M.; Fukuda, S. Genotyping of Microbial Samples from Possessions Contributes to Owner Identification. Host-Microbe Biol. 2019, 4, 1–15. [Google Scholar]
- Callahan, B.J.; McMurdie, P.J.; Rosen, M.J.; Han, A.W.; Johnson, A.J.A.; Holmes, S.P. DADA2: High-Resolution Sample Inference from Illumina Amplicon Data. Nat. Methods 2016, 13, 581–583. [Google Scholar] [CrossRef] [PubMed]
- Spellerberg, I.F.; Fedor, P.J. A Tribute to Claude Shannon (1916--2001) and a Plea for More Rigorous Use of Species Richness, Species Diversity and the ‘Shannon--Wiener’Index. Glob. Ecol. Biogeogr. 2003, 12, 177–179. [Google Scholar] [CrossRef]
- Anderson, M.J. Permutational Multivariate Analysis of Variance (PERMANOVA). In Wiley StatsRef: Statistics Reference Online; John Wiley & Sons, Ltd.: New York, NY, USA, 2017; pp. 1–15. ISBN 9781118445112. [Google Scholar]
- Oksanen, J.; Blanchet, F.G.; Friendly, M.; Kindt, R.; Legendre, P.; McGlinn, D.; Minchin, P.R.; O’Hara, R.B.; Simpson, G.L.; Solymos, P.; et al. Vegan: Community Ecology Package. R Package Version 2.5-6 2019. Available online: http://CRAN.Rproject.org/package=vegan (accessed on 27 March 2022).
- Chao, A.; Chazdon, R.L.; Colwell, R.K.; Shen, T.-J. A New Statistical Approach for Assessing Similarity of Species Composition with Incidence and Abundance Data. Ecol. Lett. 2005, 8, 148–159. [Google Scholar] [CrossRef]
- R Development Core Team R: A Language and Environment for Statistical Computing. Vienna, Austria R Found. Stat. Comput. 2019. Available online: https://www.R-project.org/ (accessed on 27 March 2022).
- Wickham, H.; Chang, W.; Henry, L.; Pedersen, T.L.; Takahashi, K.; Wilke, C.; Woo, K.; Yutani, H.; Dunnington, D. Ggplot2: Elegant Graphics for Data Analysis; Springer: New York, NY, USA, 2016. [Google Scholar]






| No | Isolate GenBank Accession No | Identification Result | Clear Zone Diameter in mm | Positive (1)/Negative (0) Reaction | Salt tolerance (NaCl) % | |||||||||||||
|---|---|---|---|---|---|---|---|---|---|---|---|---|---|---|---|---|---|---|
| Cellulase | Phosphatase | Lipase | Proteinase | Siderophore (Pyoverdine) | Hydrogen Cyanide | Ammonia | ||||||||||||
| Mean | SD | SEs | Mean | SD | SEs | Mean | SD | SEs | Mean | SD | SEs | |||||||
| 1 | Dv006 KX395620 | Serratia liquefaciens | 7.33 | 0.58 | 0.33 | 3.00 | 1.00 | 0.58 | 12.33 | 0.58 | 0.33 | 19.00 | 1.00 | 0.58 | 1 | 0 | 0 | 8% |
| 2 | Dv018 KX395622 | Serratia liquefaciens | 3.00 | 0.00 | 0.00 | 8.00 | 1.00 | 0.58 | 7.33 | 0.58 | 0.33 | 20.67 | 0.58 | 0.33 | 1 | 0 | 0 | 4% |
| 3 | Dv025 KX395623 | Ewingella americana | 1.67 | 0.58 | 0.33 | 10.67 | 1.15 | 0.67 | 9.33 | 1.15 | 0.67 | 11.67 | 0.58 | 0.33 | 0 | 0 | 1 | 8% |
| 4 | Dv032 KX395624 | Serratia liquefaciens | 0.00 | 0.00 | 0.00 | 12.33 | 2.52 | 1.45 | 10.33 | 0.58 | 0.33 | 17.33 | 0.58 | 0.33 | 0 | 0 | 1 | 4% |
| 5 | Dv131 KX395621 | Serratia Liquefaciens | 1.67 | 0.58 | 0.33 | 2.67 | 1.53 | 0.88 | 6.67 | 0.58 | 0.33 | 14.00 | 0.00 | 0.00 | 0 | 0 | 1 | 1% |
| 6 | Dv107 KX395616 | Lactococcus garvieae | 2.67 | 0.58 | 0.33 | 10.67 | 0.58 | 0.33 | 8.33 | 0.58 | 0.33 | 14.33 | 0.58 | 0.33 | 0 | 0 | 1 | 4% |
| 7 | Dv111 KX395617 | Serratia sp. | 3.00 | 0.00 | 0.00 | 10.00 | 0.00 | 0.00 | 13.00 | 1.00 | 0.58 | 13.67 | 1.15 | 0.67 | 0 | 0 | 0 | 1% |
| 8 | Dv058 KX395618 | Serratia plymuthica | 0.33 | 0.58 | 0.33 | 1.67 | 0.58 | 0.33 | 8.67 | 0.58 | 0.33 | 19.33 | 0.58 | 0.33 | 0 | 0 | 1 | 4% |
| 9 | Dv061 KX395619 | Lactococcus lactis | 1.33 | 0.58 | 0.33 | 10.67 | 1.15 | 0.67 | 13.33 | 1.15 | 0.67 | 0.00 | 0.00 | 0.00 | 0 | 0 | 0 | 4% |
| 10 | Dv048 KX395614 | Pseudomonas sp. | 8.00 | 1.00 | 0.58 | 7.67 | 1.53 | 0.88 | 0.00 | 0.00 | 0.00 | 0.33 | 0.58 | 0.33 | 0 | 0 | 0 | 1% |
| 11 | Dv049 KX395615 | Pseudomonas putida | 7.67 | 0.58 | 0.33 | 0.00 | 0.00 | 0.00 | 0.00 | 0.00 | 0.00 | 0.67 | 0.58 | 0.33 | 0 | 0 | 1 | 8% |
| LSD0.01 | 1.267 | 2.804 | 1.652 | 1.499 | - | - | - | - | ||||||||||
Publisher’s Note: MDPI stays neutral with regard to jurisdictional claims in published maps and institutional affiliations. |
© 2022 by the authors. Licensee MDPI, Basel, Switzerland. This article is an open access article distributed under the terms and conditions of the Creative Commons Attribution (CC BY) license (https://creativecommons.org/licenses/by/4.0/).
Share and Cite
Krawczyk, K.; Szabelska-Beręsewicz, A.; Przemieniecki, S.W.; Szymańczyk, M.; Obrępalska-Stęplowska, A. Insect Gut Bacteria Promoting the Growth of Tomato Plants (Solanum lycopersicum L.). Int. J. Mol. Sci. 2022, 23, 13548. https://doi.org/10.3390/ijms232113548
Krawczyk K, Szabelska-Beręsewicz A, Przemieniecki SW, Szymańczyk M, Obrępalska-Stęplowska A. Insect Gut Bacteria Promoting the Growth of Tomato Plants (Solanum lycopersicum L.). International Journal of Molecular Sciences. 2022; 23(21):13548. https://doi.org/10.3390/ijms232113548
Chicago/Turabian StyleKrawczyk, Krzysztof, Alicja Szabelska-Beręsewicz, Sebastian Wojciech Przemieniecki, Mateusz Szymańczyk, and Aleksandra Obrępalska-Stęplowska. 2022. "Insect Gut Bacteria Promoting the Growth of Tomato Plants (Solanum lycopersicum L.)" International Journal of Molecular Sciences 23, no. 21: 13548. https://doi.org/10.3390/ijms232113548
APA StyleKrawczyk, K., Szabelska-Beręsewicz, A., Przemieniecki, S. W., Szymańczyk, M., & Obrępalska-Stęplowska, A. (2022). Insect Gut Bacteria Promoting the Growth of Tomato Plants (Solanum lycopersicum L.). International Journal of Molecular Sciences, 23(21), 13548. https://doi.org/10.3390/ijms232113548

