ECG Markers of Acute Melatonin Treatment in a Porcine Model of Acute Myocardial Ischemia
Abstract
1. Introduction
2. Results
2.1. ECG Parameters
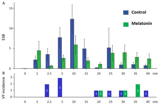
2.2. Arrhythmias
3. Discussion
4. Materials and Methods
4.1. Animal Preparations and Experimental Protocol
4.2. ECG Recordings and Processing
4.3. Statistical Analysis
5. Conclusions
Author Contributions
Funding
Institutional Review Board Statement
Data Availability Statement
Conflicts of Interest
References
- Tengattini, S.; Reiter, R.J.; Tan, D.-X.; Terron, M.P.; Rodella, L.F.; Rezzani, R. Cardiovascular diseases: Protective effects of melatonin. J. Pineal Res. 2008, 44, 16–25. [Google Scholar] [CrossRef] [PubMed]
- Pourhanifeh, M.H.; Dehdashtian, E.; Hosseinzadeh, A.; Sezavar, S.H.; Mehrzadi, S. Clinical application of melatonin in the treatment of cardiovascular diseases: Current evidence and new insights into the cardioprotective and cardiotherapeutic properties. Cardiovasc. Drugs Ther. 2022, 36, 131–155. [Google Scholar] [CrossRef] [PubMed]
- Zhou, H.; Ma, Q.; Zhu, P.; Ren, J.; Reiter, R.J.; Chen, Y. Protective role of melatonin in cardiac ischemia-reperfusion injury: From pathogenesis to targeted therapy. J. Pineal Res. 2018, 64, e12471. [Google Scholar] [CrossRef] [PubMed]
- Baltatu, O.C.; Senar, S.; Campos, L.A.; Cipolla-Neto, J. Cardioprotective melatonin: Translating from proof-of-concept studies to therapeutic use. Int J. Mol. Sci 2019, 20, 4342. [Google Scholar] [CrossRef] [PubMed]
- Yang, Y.; Sun, Y.; Yi, W.; Li, Y.; Fan, C.; Xin, Z.; Jiang, S.; Di, S.; Qu, Y.; Reiter, R.J.; et al. A review of melatonin as a suitable antioxidant against myocardial ischemia-reperfusion injury and clinical heart diseases. J. Pineal Res. 2014, 57, 357–366. [Google Scholar] [CrossRef] [PubMed]
- Hausenloy, D.J.; Madonna, R.; Ovize, M.; Perrino, C.; Prunier, F.; Schulz, R.; Sluijter, J.P.G.; Van Laake, L.W.; Vinten-Johansen, J.; Yellon, D.M.; et al. Novel targets and future strategies for acute cardioprotection: Position paper of the european society of cardiology working group on cellular biology of the heart. Cardiovasc. Res. 2017, 113, 564–585. [Google Scholar] [CrossRef]
- Vazan, R.; Pancza, D.; Beder, I.; Styk, J. Ischemia-reperfusion injury--antiarrhythmic effect of melatonin associated with reduced recovering of contractility. Gen. Physiol. Biophys. 2005, 24, 355–359. [Google Scholar]
- Lochner, A.; Marais, E.; Huisamen, B. Melatonin and cardioprotection against ischaemia/reperfusion injury: What’s new? A review. J. Pineal Res. 2018, 65, e12490. [Google Scholar] [CrossRef]
- Fu, Z.; Jiao, Y.; Wang, J.; Zhang, Y.; Shen, M.; Reiter, R.J.; Xi, Q.; Chen, Y. Cardioprotective role of melatonin in acute myocardial infarction. Front. Physiol. 2020, 11, 366. [Google Scholar] [CrossRef]
- Lagneux, C.; Joyeux, M.; Demenge, P.; Ribuot, C.; Godin-Ribuot, D. Protective effects of melatonin against ischemia-reperfusion injury in the isolated rat heart. Life Sci. 2000, 66, 503–509. [Google Scholar] [CrossRef]
- Dominguez-Rodriguez, A.; Abreu-Gonzalez, P.; de la Torre-Hernandez, J.M.; Consuegra-Sanchez, L.; Piccolo, R.; Gonzalez-Gonzalez, J.; Garcia-Camarero, T.; Del Mar Garcia-Saiz, M.; Aldea-Perona, A.; Reiter, R.J. Usefulness of early treatment with melatonin to reduce infarct size in patients with st-segment elevation myocardial infarction receiving percutaneous coronary intervention (from the melatonin adjunct in the acute myocardial infarction treated with angioplasty trial). Am. J. Cardiol. 2017, 120, 522–526. [Google Scholar] [CrossRef] [PubMed]
- Ghaeli, P.; Vejdani, S.; Ariamanesh, A.; Hajhossein Talasaz, A. Effect of melatonin on cardiac injury after primary percutaneous coronary intervention: A randomized controlled trial. Iran. J. Pharm. Res. 2015, 14, 851–855. [Google Scholar] [PubMed]
- Durkina, A.V.; Bernikova, O.G.; Mikhaleva, N.J.; Paderin, N.M.; Sedova, K.A.; Gonotkov, M.A.; Kuzmin, V.S.; Azarov, J.E. Melatonin pretreatment does not modify extrasystolic burden in the rat ischemia-reperfusion model. J. Physiol. Pharmacol. 2021, 72, 141–148. [Google Scholar] [CrossRef]
- Sedova, K.A.; Bernikova, O.G.; Cuprova, J.I.; Ivanova, A.D.; Kutaeva, G.A.; Pliss, M.G.; Lopatina, E.V.; Vaykshnorayte, M.A.; Diez, E.R.; Azarov, J.E. Association between antiarrhythmic, electrophysiological, and antioxidative effects of melatonin in ischemia/reperfusion. Int. J. Mol. Sci. 2019, 20, 6331. [Google Scholar] [CrossRef] [PubMed]
- Tsvetkova, A.S.; Bernikova, O.G.; Mikhaleva, N.J.; Khramova, D.S.; Ovechkin, A.O.; Demidova, M.M.; Platonov, P.G.; Azarov, J.E. Melatonin prevents early but not delayed ventricular fibrillation in the experimental porcine model of acute ischemia. Int. J. Mol. Sci. 2021, 22, 328. [Google Scholar] [CrossRef]
- Prado, N.J.; Egan Beňová, T.; Diez, E.R.; Knezl, V.; Lipták, B.; Ponce Zumino, A.Z.; Llamedo-Soria, M.; Szeiffová Bačová, B.; Miatello, R.M.; Tribulová, N. Melatonin receptor activation protects against low potassium-induced ventricular fibrillation by preserving action potentials and connexin-43 topology in isolated rat hearts. J. Pineal Res. 2019, 67, e12605. [Google Scholar] [CrossRef]
- Genade, S.; Genis, A.; Ytrehus, K.; Huisamen, B.; Lochner, A. Melatonin receptor-mediated protection against myocardial ischaemia/reperfusion injury: Role of its anti-adrenergic actions. J. Pineal Res. 2008, 45, 449–458. [Google Scholar] [CrossRef]
- Bernikova, O.G.; Vaykshnorayte, M.A.; Ovechkin, A.O.; Sedova, K.A.; Kharin, S.N.; Azarov, J.E. Preventive administration of melatonin attenuates electrophysiological consequences of myocardial ischemia. Bull. Exp. Biol. Med. 2020, 169, 328–331. [Google Scholar] [CrossRef]
- Shafiei, E.; Bahtoei, M.; Raj, P.; Ostovar, A.; Iranpour, D.; Akbarzadeh, S.; Shahryari, H.; Anvaripour, A.; Tahmasebi, R.; Netticadan, T.; et al. Effects of n-acetyl cysteine and melatonin on early reperfusion injury in patients undergoing coronary artery bypass grafting: A randomized, open-labeled, placebo-controlled trial. Medicine 2018, 97, e11383. [Google Scholar] [CrossRef]
- Dominguez-Rodriguez, A.; Abreu-Gonzalez, P.; de la Torre-Hernandez, J.M.; Gonzalez-Gonzalez, J.; Garcia-Camarero, T.; Consuegra-Sanchez, L.; Garcia-Saiz, M.D.; Aldea-Perona, A.; Virgos-Aller, T.; Azpeitia, A.; et al. Effect of intravenous and intracoronary melatonin as an adjunct to primary percutaneous coronary intervention for acute st-elevation myocardial infarction: Results of the melatonin adjunct in the acute myocardial infarction treated with angioplasty trial. J. Pineal Res. 2017, 62, e12374. [Google Scholar] [CrossRef]
- Diez, E.R.; Prados, L.V.; Carrion, A.; Ponce, Z.A.; Miatello, R.M. A novel electrophysiologic effect of melatonin on ischemia/reperfusion-induced arrhythmias in isolated rat hearts. J. Pineal Res. 2009, 46, 155–160. [Google Scholar] [CrossRef] [PubMed]
- Diez, E.R.; Renna, N.F.; Prado, N.J.; Lembo, C.; Ponce Zumino, A.Z.; Vazquez-Prieto, M.; Miatello, R.M. Melatonin, given at the time of reperfusion, prevents ventricular arrhythmias in isolated hearts from fructose-fed rats and spontaneously hypertensive rats. J. Pineal Res. 2013, 55, 166–173. [Google Scholar] [CrossRef]
- Benova, T.; Knezl, V.; Viczenczova, C.; Bacova, B.S.; Radosinska, J.; Tribulova, N. Acute anti-fibrillating and defibrillating potential of atorvastatin, melatonin, eicosapentaenoic acid and docosahexaenoic acid demonstrated in isolated heart model. J. Physiol. Pharmacol. 2015, 66, 83–89. [Google Scholar] [PubMed]
- Tan, D.X.; Manchester, L.C.; Reiter, R.J.; Qi, W.; Kim, S.J.; El-Sokkary, G.H. Ischemia/reperfusion-induced arrhythmias in the isolated rat heart: Prevention by melatonin. J. Pineal Res. 1998, 25, 184–191. [Google Scholar] [CrossRef] [PubMed]
- Durkina, A.V.; Bernikova, O.G.; Gonotkov, M.A.; Mikhaleva, N.J.; Sedova, K.A.; Malykhina, I.A.; Kuzmin, V.S.; Velegzhaninov, I.O.; Azarov, J.E. Melatonin treatment improves ventricular conduction via upregulation of nav1.5 channel proteins and sodium current in the normal rat heart. J. Pineal Res. 2022, 73, e12798. [Google Scholar] [CrossRef] [PubMed]
- Petrina, M.; Goodman, S.G.; Eagle, K.A. The 12-lead electrocardiogram as a predictive tool of mortality after acute myocardial infarction: Current status in an era of revascularization and reperfusion. Am. Heart J. 2006, 152, 11–18. [Google Scholar] [CrossRef] [PubMed]
- Abdelghani, S.A.; Rosenthal, T.M.; Morin, D.P. Surface electrocardiogram predictors of sudden cardiac arrest. Ochsner J. 2016, 16, 280–289. [Google Scholar]
- Kurl, S.; Mäkikallio, T.H.; Rautaharju, P.; Kiviniemi, V.; Laukkanen, J.A. Duration of qrs complex in resting electrocardiogram is a predictor of sudden cardiac death in men. Circulation 2012, 125, 2588–2594. [Google Scholar] [CrossRef]
- Panikkath, R.; Reinier, K.; Uy-Evanado, A.; Teodorescu, C.; Hattenhauer, J.; Mariani, R.; Gunson, K.; Jui, J.; Chugh, S.S. Prolonged tpeak-to-tend interval on the resting ecg is associated with increased risk of sudden cardiac death. Circ. Arrhythm. Electrophysiol. 2011, 4, 441–447. [Google Scholar] [CrossRef]
- Demidova, M.M.; Martin-Yebra, A.; van der Pals, J.; Koul, S.; Erlinge, D.; Laguna, P.; Martinez, J.P.; Platonov, P.G. Transient and rapid qrs-widening associated with a j-wave pattern predicts impending ventricular fibrillation in experimental myocardial infarction. Heart Rhythm. 2014, 11, 1195–1201. [Google Scholar] [CrossRef]
- Carmeliet, E. Cardiac ionic currents and acute ischemia: From channels to arrhythmias. Physiol Rev. 1999, 79, 917–1017. [Google Scholar] [CrossRef]
- Reiter, R.J.; Tan, D.X. Melatonin: A novel protective agent against oxidative injury of the ischemic/reperfused heart. Cardiovasc Res. 2003, 58, 10–19. [Google Scholar] [CrossRef]
- Dwaich, K.H.; Al-Amran, F.G.; Al-Sheibani, B.I.; Al-Aubaidy, H.A. Melatonin effects on myocardial ischemia-reperfusion injury: Impact on the outcome in patients undergoing coronary artery bypass grafting surgery. Int. J. Cardiol. 2016, 221, 977–986. [Google Scholar] [CrossRef]
- Ekeloef, S.; Halladin, N.; Fonnes, S.; Jensen, S.E.; Zaremba, T.; Rosenberg, J.; Jonsson, G.; Aarøe, J.; Gasbjerg, L.S.; Rosenkilde, M.M.; et al. Effect of intracoronary and intravenous melatonin on myocardial salvage index in patients with st-elevation myocardial infarction: A randomized placebo controlled trial. J. Cardiovasc. Transl. Res. 2017, 10, 470–479. [Google Scholar] [CrossRef] [PubMed]
- Andersen, L.P.; Gogenur, I.; Rosenberg, J.; Reiter, R.J. The safety of melatonin in humans. Clin. Drug Investig. 2016, 36, 169–175. [Google Scholar] [CrossRef] [PubMed]
- Hedström, E.; Engblom, H.; Frogner, F.; Åström-Olsson, K.; Öhlin, H.; Jovinge, S.; Arheden, H. Infarct evolution in man studied in patients with first-time coronary occlusion in comparison to different species-implications for assessment of myocardial salvage. J. Cardiovasc. Magn. Reson. 2009, 11, 38. [Google Scholar] [CrossRef]
- Smetana, P.; Schmidt, A.; Zabel, M.; Hnatkova, K.; Franz, M.; Huber, K.; Malik, M. Assessment of repolarization heterogeneity for prediction of mortality in cardiovascular disease: Peak to the end of the t wave interval and nondipolar repolarization components. J. Electrocardiol. 2011, 44, 301–308. [Google Scholar] [CrossRef] [PubMed]
- Arteyeva, N.V.; Goshka, S.L.; Sedova, K.A.; Bernikova, O.G.; Azarov, J.E. What does the t(peak)-t(end) interval reflect? An experimental and model study. J. Electrocardiol 2013, 46, e291–e298. [Google Scholar] [CrossRef]
- Xia, Y.; Liang, Y.; Kongstad, O.; Holm, M.; Olsson, B.; Yuan, S. Tpeak-tend interval as an index of global dispersion of ventricular repolarization: Evaluations using monophasic action potential mapping of the epi- and endocardium in swine. J. Interv. Card. Electrophysiol. 2005, 14, 79–87. [Google Scholar] [CrossRef]
- Zhang, Y.; Post, W.S.; Blasco-Colmenares, E.; Dalal, D.; Tomaselli, G.F.; Guallar, E. Electrocardiographic qt interval and mortality: A meta-analysis. Epidemiology 2011, 22, 660–670. [Google Scholar] [CrossRef]
- Tsvetkova, A.S.; Azarov, J.E.; Bernikova, O.G.; Ovechkin, A.O.; Vaykshnorayte, M.A.; Demidova, M.M.; Platonov, P.G. Contribution of depolarization and repolarization changes to j-wave generation and ventricular fibrillation in ischemia. Front. Physiol 2020, 11, 568021. [Google Scholar] [CrossRef] [PubMed]
- Benova, T.; Viczenczova, C.; Radosinska, J.; Bacova, B.; Knezl, V.; Dosenko, V.; Weismann, P.; Zeman, M.; Navarova, J.; Tribulova, N. Melatonin attenuates hypertension-related proarrhythmic myocardial maladaptation of connexin-43 and propensity of the heart to lethal arrhythmias. Can. J. Physiol. Pharmacol. 2013, 91, 633–639. [Google Scholar] [CrossRef] [PubMed]
- Stein, K.M.; Karagounis, L.A.; Markowitz, S.M.; Anderson, J.L.; Lerman, B.B. Heart rate changes preceding ventricular ectopy in patients with ventricular tachycardia caused by reentry, triggered activity, and automaticity. Am. Heart J. 1998, 136, 425–434. [Google Scholar] [CrossRef]
- Danik, S.B.; Liu, F.; Zhang, J.; Suk, H.J.; Morley, G.E.; Fishman, G.I.; Gutstein, D.E. Modulation of cardiac gap junction expression and arrhythmic susceptibility. Circ. Res. 2004, 95, 1035–1041. [Google Scholar] [CrossRef]
- Weiss, J.N.; Garfinkel, A.; Karagueuzian, H.S.; Chen, P.-S.; Qu, Z. Early afterdepolarizations and cardiac arrhythmias. Heart Rhythm. 2010, 7, 1891–1899. [Google Scholar] [CrossRef] [PubMed]
- Xing, D.; Martins, J.B. Triggered activity due to delayed afterdepolarizations in sites of focal origin of ischemic ventricular tachycardia. Am. J. Physiol. Heart Circ. Physiol. 2004, 287, H2078–H2084. [Google Scholar] [CrossRef]



Publisher’s Note: MDPI stays neutral with regard to jurisdictional claims in published maps and institutional affiliations. |
© 2022 by the authors. Licensee MDPI, Basel, Switzerland. This article is an open access article distributed under the terms and conditions of the Creative Commons Attribution (CC BY) license (https://creativecommons.org/licenses/by/4.0/).
Share and Cite
Bernikova, O.G.; Tsvetkova, A.S.; Ovechkin, A.O.; Demidova, M.M.; Azarov, J.E.; Platonov, P.G. ECG Markers of Acute Melatonin Treatment in a Porcine Model of Acute Myocardial Ischemia. Int. J. Mol. Sci. 2022, 23, 11800. https://doi.org/10.3390/ijms231911800
Bernikova OG, Tsvetkova AS, Ovechkin AO, Demidova MM, Azarov JE, Platonov PG. ECG Markers of Acute Melatonin Treatment in a Porcine Model of Acute Myocardial Ischemia. International Journal of Molecular Sciences. 2022; 23(19):11800. https://doi.org/10.3390/ijms231911800
Chicago/Turabian StyleBernikova, Olesya G., Alena S. Tsvetkova, Alexey O. Ovechkin, Marina M. Demidova, Jan E. Azarov, and Pyotr G. Platonov. 2022. "ECG Markers of Acute Melatonin Treatment in a Porcine Model of Acute Myocardial Ischemia" International Journal of Molecular Sciences 23, no. 19: 11800. https://doi.org/10.3390/ijms231911800
APA StyleBernikova, O. G., Tsvetkova, A. S., Ovechkin, A. O., Demidova, M. M., Azarov, J. E., & Platonov, P. G. (2022). ECG Markers of Acute Melatonin Treatment in a Porcine Model of Acute Myocardial Ischemia. International Journal of Molecular Sciences, 23(19), 11800. https://doi.org/10.3390/ijms231911800

