Tryptophan: Its Metabolism along the Kynurenine, Serotonin, and Indole Pathway in Malignant Melanoma
Abstract
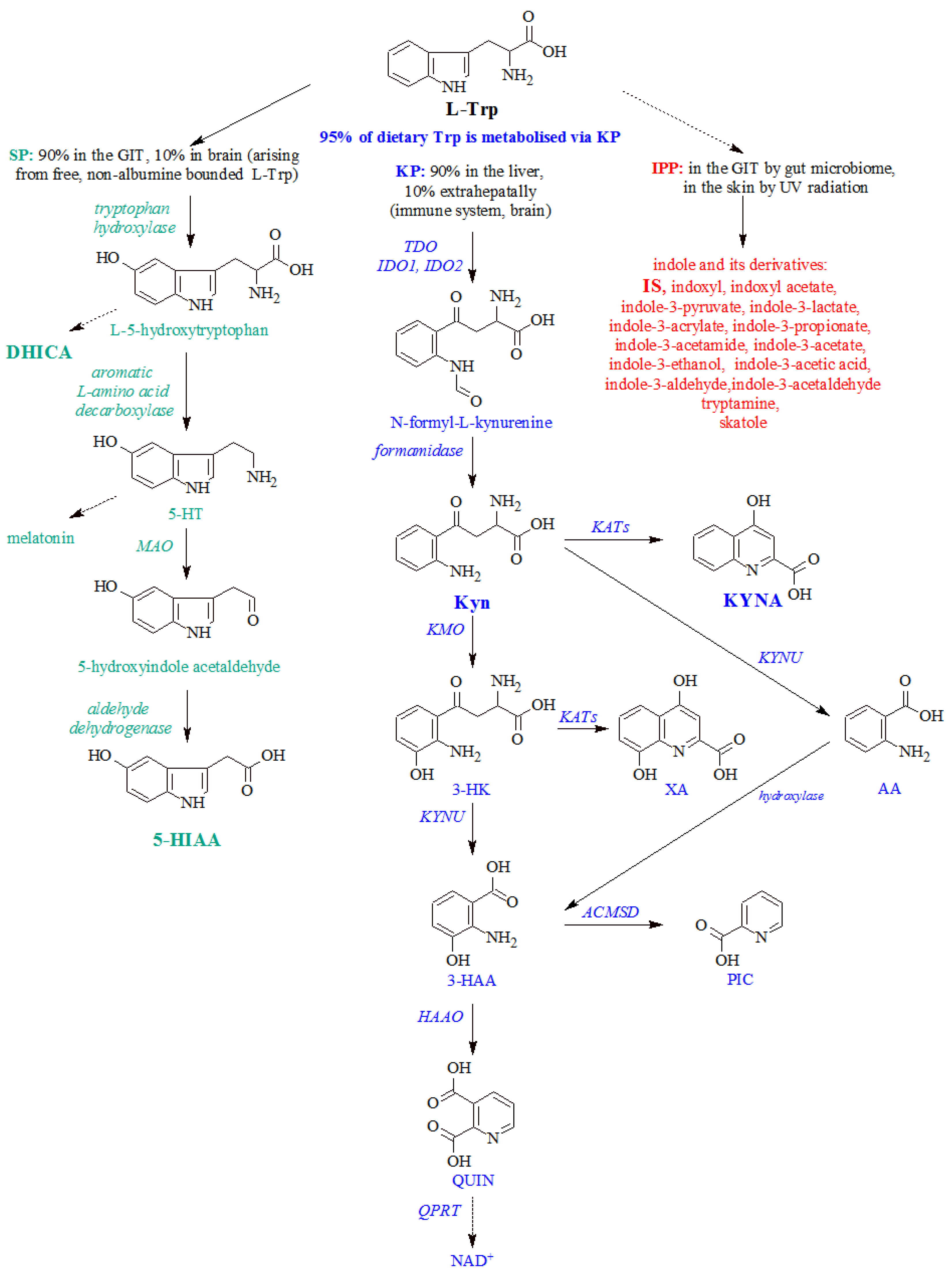
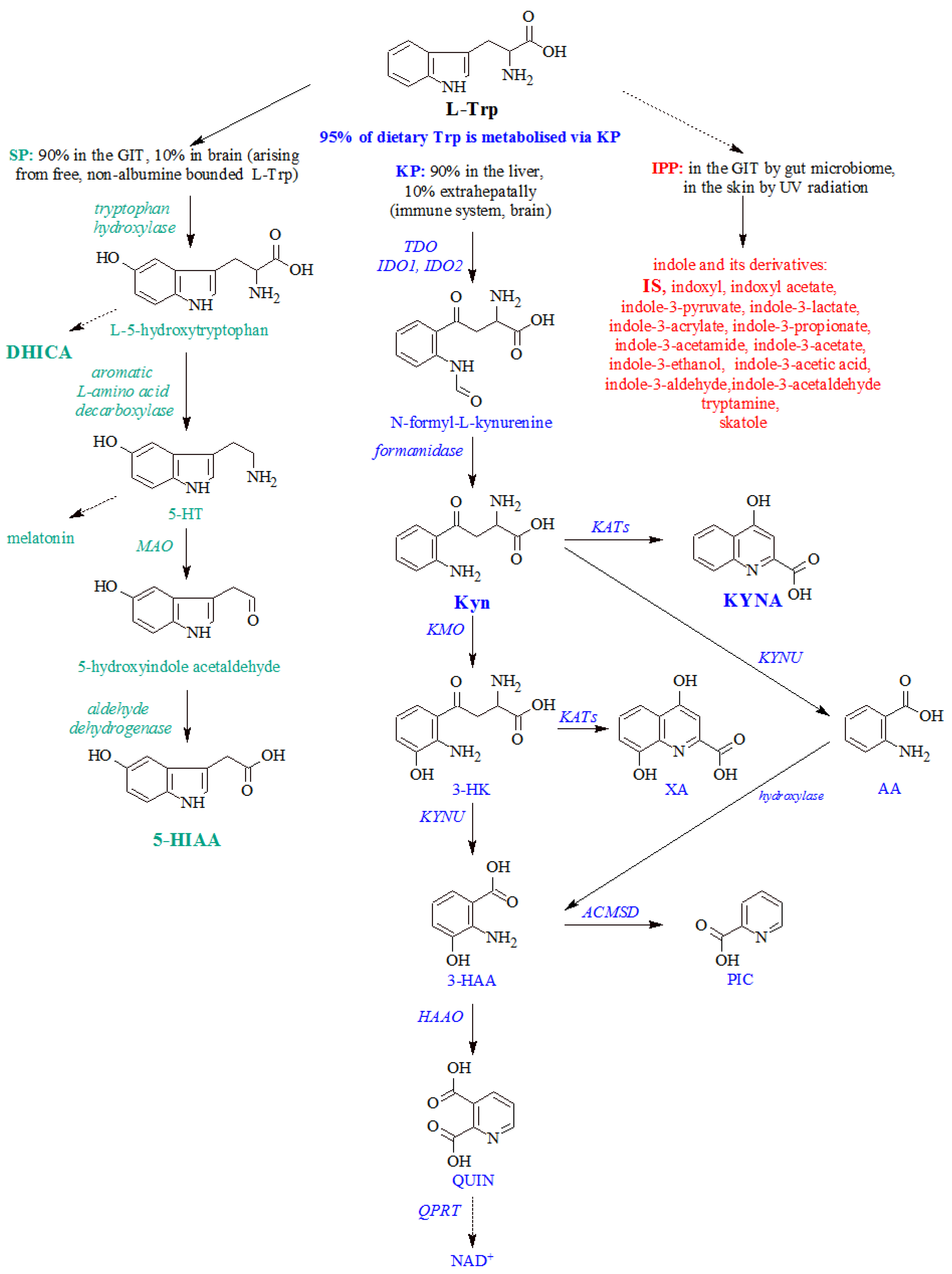
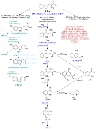
:1. Introduction
2. Results
2.1. Kynurenine Pathway
2.2. Serotonin Pathway
2.3. Indole Pathway
3. Discussion
4. Materials and Methods
4.1. Composition of the Study Group
4.2. Chemicals and Reagents
4.2.1. Chemicals and Reagents
4.2.2. Preparation of Standard Samples and Samples of the Experimental Study Group
4.2.3. Instrumentation
4.2.4. Method Validation
4.2.5. Linearity of RP-HPLC Method
4.2.6. Imprecision and Accuracy of RP-HPLC Method
4.2.7. Limit of Detection of RP-HPLC Method
5. Conclusions
Author Contributions
Funding
Institutional Review Board Statement
Informed Consent Statement
Data Availability Statement
Conflicts of Interest
References
- Valko-Rokytovska, M.; Bruchata, K.; Simkova, J.; Milkovicova, M.; Kostecka, Z. Current Trends in the Treatment of Malignant Melanoma. Neoplasma 2016, 63, 333–341. [Google Scholar] [CrossRef] [PubMed]
- Melanoma: Statistics. Available online: https://www.cancer.net/cancer-types/melanoma/statistics (accessed on 20 July 2022).
- Lee, H.J.; Park, M.K.; Kim, S.Y.; Choo, H.Y.P.; Lee, A.Y.; Lee, C.H.; Lee, C.H. Serotonin Induces Melanogenesis via Serotonin Receptor 2 A. Br. J. Dermatol. 2011, 165, 1344–1348. [Google Scholar] [CrossRef] [PubMed]
- Valko-Rokytovská, M.; Hubková, B.; Birková, A.; Mašlanková, J.; Stupák, M.; Zábavníková, M.; Čižmárová, B.; Mareková, M. Specific Urinary Metabolites in Malignant Melanoma. Medicina 2019, 55, 145. [Google Scholar] [CrossRef] [PubMed]
- Birková, A.; Valko-Rokytovská, M.; Hubková, B.; Zábavníková, M.; Mareková, M. Strong Dependence between Tryptophan-Related Fluorescence of Urine and Malignant Melanoma. Int. J. Mol. Sci. 2021, 22, 1884. [Google Scholar] [CrossRef]
- Vogliardi, S.; Allegri, G.; Bertazzo, A.; Costa, C.V.L.; Seraglia, R.; Traldi, P. An Investigation on the Role of 5-Hydroxytryptophan in the Biosynthesis of Melanins. J. Mass Spectrom. 2002, 37, 1292–1296. [Google Scholar] [CrossRef]
- Liu, X.H.; Zhai, X.Y. Role of Tryptophan Metabolism in Cancers and Therapeutic Implications. Biochimie 2021, 182, 131–139. [Google Scholar] [CrossRef]
- Rad Pour, S.; Morikawa, H.; Kiani, N.A.; Gomez-Cabrero, D.; Hayes, A.; Zheng, X.; Pernemalm, M.; Lehtiö, J.; Mole, D.J.; Hansson, J.; et al. Immunometabolic Network Interactions of the Kynurenine Pathway in Cutaneous Malignant Melanoma. Front. Oncol. 2020, 10, 51. [Google Scholar] [CrossRef]
- Adams, S.; Braidy, N.; Bessesde, A.; Brew, B.J.; Grant, R.; Teo, C.; Guillemin, G.J. The Kynurenine Pathway in Brain Tumor Pathogenesis. Cancer Res. 2012, 72, 5649–5657. [Google Scholar] [CrossRef]
- Sheipouri, D.; Braidy, N.; Guillemin, G.J. Kynurenine Pathway in Skin Cells: Implications for UV-Induced Skin Damage. Int. J. Tryptophan Res. 2013, 5, 15–25. [Google Scholar] [CrossRef]
- Asp, L.; Johansson, A.S.; Mann, A.; Owe-Larsson, B.; Urbanska, E.M.; Kocki, T.; Kegel, M.; Engberg, G.; Lundkvist, G.B.S.; Karlsson, H. Effects of Pro-Inflammatory Cytokines on Expression of Kynurenine Pathway Enzymes in Human Dermal Fibroblasts. J. Inflamm. 2011, 8, 25. [Google Scholar] [CrossRef]
- Ye, Z.; Yue, L.; Shi, J.; Shao, M.; Wu, T. Role of IDO and TDO in Cancers and Related Diseases and the Therapeutic Implications. J. Cancer 2019, 10, 2771–2782. [Google Scholar] [CrossRef] [PubMed]
- Lim, C.K.; Yap, M.M.C.; Kent, S.J.; Gras, G.; Samah, B.; Batten, J.C.; De Rose, R.; Heng, B.; Brew, B.J.; Guillemin, G.J. Characterization of the Kynurenine Pathway and Quinolinic Acid Production in Macaque Macrophages. Int. J. Tryptophan Res. 2012, 6, 7–19. [Google Scholar] [CrossRef]
- Meireson, A.; Ferdinande, L.; Haspeslagh, M.; Hennart, B.; Allorge, D.; Ost, P.; Sundahl, N.; Spaas, M.; Demeyer, A.; Brochez, L. Clinical Relevance of Serum Kyn/Trp Ratio and Basal and IFNγ-Upregulated IDO1 Expression in Peripheral Monocytes in Early Stage Melanoma. Front. Immunol. 2021, 12, 736498. [Google Scholar] [CrossRef] [PubMed]
- Uyttenhove, C.; Pilotte, L.; Théate, I.; Stroobant, V.; Colau, D.; Parmentier, N.; Boon, T.; Van den Eynde, B.J. Evidence for a Tumoral Immune Resistance Mechanism Based on Tryptophan Degradation by Indoleamine 2,3-Dioxygenase. Nat. Med. 2003, 9, 1269–1274. [Google Scholar] [CrossRef] [PubMed]
- Curti, A.; Aluigi, M.; Pandolfi, S.; Ferri, E.; Isidori, A.; Salvestrini, V.; Durelli, I.; Horenstein, A.L.; Fiore, F.; Massaia, M.; et al. Acute Myeloid Leukemia Cells Constitutively Express the Immunoregulatory Enzyme Indoleamine 2,3-Dioxygenase. Leukemia 2007, 21, 353–355. [Google Scholar] [CrossRef] [PubMed]
- Platten, M.; Wick, W.; Van Den Eynde, B.J. Tryptophan Catabolism in Cancer: Beyond IDO and Tryptophan Depletion. Cancer Res. 2012, 72, 5435–5440. [Google Scholar] [CrossRef]
- Widner, B.; Laich, A.; Sperner-Unterweger, B.; Ledochowski, M.; Fuchs, D. Neopterin Production, Tryptophan Degradation, and Mental Depression—What Is the Link? Brain Behav. Immun. 2002, 16, 590–595. [Google Scholar] [CrossRef]
- Jayamohanan, H.; Kumar, M.K.M.; Aneesh, P.T. 5-HIAA as a Potential Biological Marker for Neurological and Psychiatric Disorders. Adv. Pharm. Bull. 2019, 9, 374–381. [Google Scholar] [CrossRef]
- Qin, L.; Zhao, D.; Xu, J.; Ren, X.; Terwilliger, E.F.; Parangi, S.; Lawler, J.; Dvorak, H.F.; Zeng, H. The Vascular Permeabilizing Factors Histamine and Serotonin Induce Angiogenesis through TR3/Nur77 and Subsequently Truncate It through Thrombospondin-1. Blood 2013, 121, 2154–2164. [Google Scholar] [CrossRef]
- Balakrishna, P.; George, S.; Hatoum, H.; Mukherjee, S. Serotonin Pathway in Cancer. Int. J. Mol. Sci. 2021, 22, 1268. [Google Scholar] [CrossRef]
- Peters, M.A.M.; Meijer, C.; Fehrmann, R.S.N.; Walenkamp, A.M.E.; Kema, I.P.; de Vries, E.G.E.; Hollema, H.; Oosting, S.F. Serotonin and Dopamine Receptor Expression in Solid Tumours Including Rare Cancers. Pathol. Oncol. Res. 2020, 26, 1539–1547. [Google Scholar] [CrossRef] [PubMed]
- Slominski, A.; Pisarchik, A.; Semak, I.; Sweatman, T.; Szczesniewski, A.; Slugocki, G.; Mcnulty, J.; Tobin, D.J.; Jing, C.; Johansson, O.; et al. Serotoninergic and Melatoninergic Systems Are Fully Expressed in Human Skin. FASEB J. 2002, 16, 896–898. [Google Scholar] [CrossRef] [PubMed]
- Vyhlídalová, B.; Krasulová, K.; Pečinková, P.; Marcalíková, A.; Vrzal, R.; Zemánková, L.; Vančo, J.; Trávníček, Z.; Vondráček, J.; Karasová, M.; et al. Gut Microbial Catabolites of Tryptophan Are Ligands and Agonists of the Aryl Hydrocarbon Receptor: A Detailed Characterization. Int. J. Mol. Sci. 2020, 21, 2614. [Google Scholar] [CrossRef] [PubMed]
- Wyatt, M.; Greathouse, K.L. Targeting Dietary and Microbial Tryptophan-Indole Metabolism as Therapeutic Approaches to Colon Cancer. Nutrients 2021, 13, 1189. [Google Scholar] [CrossRef]
- Yu, J.; Luo, Y.; Zhu, Z.; Zhou, Y.; Sun, L.; Gao, J.; Sun, J.; Wang, G.; Yao, X.; Li, W. A Tryptophan Metabolite of the Skin Microbiota Attenuates Inflammation in Patients with Atopic Dermatitis through the Aryl Hydrocarbon Receptor. J. Allergy Clin. Immunol. 2019, 143, 2108–2119.e12. [Google Scholar] [CrossRef]
- The American Cancer Society Medical and Editorial Content Team. Melanoma Skin Cancer Early Detection, Diagnosis, and Staging. Am. Cancer Soc. 2020, 1–24.
- Wang, Y.; Wang, Y.; Ren, Y.; Zhang, Q.; Yi, P.; Cheng, C. Metabolic Modulation of Immune Checkpoints and Novel Therapeutic Strategies in Cancer. Semin. Cancer Biol. 2022, in press. [CrossRef]
- Weinlich, G.; Murr, C.; Richardsen, L.; Winkler, C.; Fuchs, D. Decreased Serum Tryptophan Concentration Predicts Poor Prognosis in Malignant Melanoma Patients. Dermatology 2007, 214, 8–14. [Google Scholar] [CrossRef]
- Costa, C.; Lise, M.; Nitti, D.; Antoni, A. De L-Tryptophan Metabolism Along the Kynurenine Pathway in Human Malignant Melanoma. In Proceedings of the Fourth Meeting of the International Study Group for Tryptophan Research ISTRY, Martinsried, Germany, 19–22 April 1984; pp. 19–22. [Google Scholar]
- Teixeira-Gomes, A.; Laffon, B.; Valdiglesias, V.; Gostner, J.M.; Felder, T.; Costa, C.; Madureira, J.; Fuchs, D.; Teixeira, J.P.; Costa, S. Exploring Early Detection of Frailty Syndrome in Older Adults: Evaluation of Oxi-Immune Markers, Clinical Parameters and Modifiable Risk Factors. Antioxidants 2021, 10, 1975. [Google Scholar] [CrossRef]
- Mangge, H.; Herrmann, M.; Meinitzer, A.; Pailer, S.; Curcic, P.; Sloup, Z.; Holter, M.; Prüller, F. Increased Kynurenine Indicates a Fatal Course of COVID-19. Antioxidants 2021, 10, 1960. [Google Scholar] [CrossRef]
- Ganzetti, G.; Sartini, D.; Campanati, A.; Rubini, C.; Molinelli, E.; Brisigotti, V.; Cecati, M.; Pozzi, V.; Campagna, R.; Offidani, A.; et al. Nicotinamide N-Methyltransferase: Potential Involvement in Cutaneous Malignant Melanoma. Melanoma Res. 2018, 28, 82–88. [Google Scholar] [CrossRef] [PubMed]
- Campagna, R.; Pozzi, V.; Sartini, D.; Salvolini, E.; Brisigotti, V.; Molinelli, E.; Campanati, A.; Offidani, A.; Emanuelli, M. Beyond Nicotinamide Metabolism: Potential Role of Nicotinamide N-methyltransferase as a Biomarker in Skin Cancers. Cancers 2021, 13, 4943. [Google Scholar] [CrossRef] [PubMed]
- Walczak, K.; Kazimierczak, P.; Szalast, K.; Plech, T. Uvb Radiation and Selected Tryptophan-derived Ahr Ligands—Potential Biological Interactions in Melanoma Cells. Int. J. Mol. Sci. 2021, 22, 7500. [Google Scholar] [CrossRef] [PubMed]
- Jin, Y.; Choi, Y.J.; Heo, K.; Park, S.J. Melatonin as an Oncostatic Molecule Based on Its Anti-Aromatase Role in Breast Cancer. Int. J. Mol. Sci. 2021, 22, 438. [Google Scholar] [CrossRef]
- Kanova, M.; Kohout, P. Tryptophan: A Unique Role in the Critically Ill. Int. J. Mol. Sci. 2021, 22, 11714. [Google Scholar] [CrossRef]
- Allegri, G.; Vogliardi, S.; Bertazzo, A.; Costa, C.V.L.; Seraglia, R.; Traldi, P. Involvement of 5-Hydroxytryptophan in Melanogenesis. Adv. Exp. Med. Biol. 2003, 527, 723–730. [Google Scholar] [CrossRef]
- Sári, Z.; Mikó, E.; Kovács, T.; Boratkó, A.; Ujlaki, G.; Jankó, L.; Kiss, B.; Uray, K.; Bai, P. Indoxylsulfate, a Metabolite of the Microbiome, Has Cytostatic Effects in Breast Cancer via Activation of Ahr and Pxr Receptors and Induction of Oxidative Stress. Cancers 2020, 12, 2915. [Google Scholar] [CrossRef]
- Konopelski, P.; Mogilnicka, I. Biological Effects of Indole-3-Propionic Acid, a Gut Microbiota-Derived Metabolite, and Its Precursor Tryptophan in Mammals’ Health and Disease. Int. J. Mol. Sci. 2022, 23, 1222. [Google Scholar] [CrossRef]






| Melanoma Stage | Women | Men | ||
|---|---|---|---|---|
| Frequency | Percent | Frequency | Percent | |
| Healthy control | 16 | 29.6 | 35 | 44.3 |
| Stage 0 | 4 | 7.4 | 2 | 2.5 |
| Stage IA | 10 | 18.5 | 14 | 17.7 |
| Stage IB | 1 | 1.9 | 3 | 3.8 |
| Stage IIA | 4 | 7.4 | 3 | 3.8 |
| Stage IIB | 6 | 11.1 | 2 | 2.5 |
| Stage IIC | 0 | 0.0 | 1 | 1.3 |
| Stage IIIA | 0 | 0.0 | 2 | 2.5 |
| Stage IIIB | 7 | 13.0 | 7 | 8.9 |
| Stage IIIC | 2 | 3.7 | 5 | 6.3 |
| Stage IV | 4 | 7.4 | 5 | 6.3 |
| total | 54 | 100 | 79 | 100 |
| Melanoma Patients, n = 82 | Healthy Control, n = 51 | Mann–Whitney U Test p-Value | |||
|---|---|---|---|---|---|
| Average ± st.dev. | Median; IQR | Average ± st.dev. | Median; IQR | ||
| Trp [µmol/mmol] | 88.03 ± 121.02 | 33.47; 125.47 | 4.29 ± 3.03 | 3.46; 6.3 | 1.09 × 10−14 *** |
| Kyn [µmol/mmol] | 51.17 ± 66.13 | 25.19; 73.12 | 10.02 ± 14.73 | 2.34; 14.70 | 3.94 × 10−10 *** |
| KYNA [µmol/mmol] | 1363.47 ± 1978.01 | 699.39; 1100.92 | 253.67 ± 211.97 | 202.01; 191.84 | 3.99 × 10−14 *** |
| 5-HIAA b [µmol/mmol] | 24.84 ± 28.23 | 11.56; 30.87 | 2.94 ± 1.94 | 2.62; 1.89 | 2.53 × 10−15 *** |
| DHICA a [µmol/mmol] | 29.61 ± 100.37 | 0.44; 15.91 | 0.01 ± 0.02 | 0.00; 0.01 | 8.13 × 10−16 *** |
| IS [µmol/mmol] | 136.16 ± 185.80 | 76.31; 154.27 | 6.18 ± 5.04 | 5.00; 6.58 | 5.88 × 10−18 *** |
| Melanoma Patients, n = 82 | Healthy Control, n = 51 | Mann–Whitney U Test p-Value | |||
|---|---|---|---|---|---|
| Median | IQR | Median | IQR | ||
| Kyn/Trp | 0.06 | 0.37 | 0.01 | 0.16 | 0.004 ** |
| KYNA/Trp | 1.50 | 5.49 | 0.99 | 2.10 | 0.042 * |
| KYNA/Kyn | 44.30 | 46.55 | 108.56 | 393.80 | 0.071 ns |
| Melanoma Patients, n = 82 | Healthy Control, n = 51 | Mann-Whitney U Test p-Value | |||
|---|---|---|---|---|---|
| Median | IQR | Median | IQR | ||
| 5-HIAA/Trp | 0.48 | 0.80 | 0.83 | 1.32 | 0.013 * |
| DHICA/Trp | 0.05 | 0.17 | 0.00 | 0.01 | 2.54 × 10−11 *** |
| 5-HIAA/DHICA | 21.68 | 159.73 | 0.00 | 185.93 | 0.003 ** |
| IS/Trp | 1.46 | 1.01 | 1.63 | 4.10 | 0.588 ns |
| Trp | Kyn | KYNA | 5-HIAA | DHICA | IS | ||
|---|---|---|---|---|---|---|---|
| Kyn | rho | 0.474 ** | |||||
| p-value | 8.17 × 10−9 | ||||||
| KYNA | rho | 0.728 ** | 0.541 ** | ||||
| p-value | 3.36 × 10−23 | 1.73 × 10−11 | |||||
| 5-HIAA | rho | 0.688 ** | 0.578 ** | 0.69 1** | |||
| p-value | 7.94 × 10−19 | 1.76 × 10−12 | 4.69 × 10−19 | ||||
| DHICA | rho | 0.689 ** | 0.470 ** | 0.702 ** | 0.646 ** | ||
| p-value | 1.35 × 10−18 | 4.10 × 10−8 | 1.50 × 10−19 | 1.20 × 10−15 | |||
| IS | rho | 0.741 ** | 0.569 ** | 0.809 ** | 0.675 ** | 0.783 ** | |
| p-value | 1.97 × 10−24 | 9.36 × 10−13 | 4.83 × 10−32 | 5.79 × 10−18 | 1.03 × 10−26 | ||
| Breslow thickness | rho | −0.130 | 0.028 | −0.064 | −0.246 | −0.361 ** | −0.136 |
| p-value | 0.285 | 0.821 | 0.601 | 0.054 | 0.005 | 0.261 | |
| Clark level | rho | 0.069 | 0.143 | 0.079 | −0.139 | −0.184 | −0.007 |
| p-value | 0.568 | 0.235 | 0.513 | 0.276 | 0.155 | 0.953 | |
| Melanoma stage | rho | −0.151 | 0.030 | −0.165 | −0.320 ** | −0.491 ** | −0.229 * |
| p-value | 0.177 | 0.789 | 0.137 | 0.005 | 1.19 × 10−5 | 0.038 |
| Kyn/Trp | KYNA/Trp | KYNA/Kyn | 5-HIAA/Trp | DHICA/Trp | 5-HIAA/DHICA | IS/Trp | ||
|---|---|---|---|---|---|---|---|---|
| KYNA/Trp | rho | 0.807 ** | ||||||
| p-value | 1.07 × 10−31 | |||||||
| KYNA/Kyn | rho | −0.665 ** | −0.176 * | |||||
| p-value | 2.66 × 10−18 | 0.043 | ||||||
| 5-HIAA/Trp | rho | 0.209 * | 0.166 | −0.194 * | ||||
| p-value | 0.019 | 0.065 | 0.030 | |||||
| DHICA/Trp | rho | 0.289 ** | 0.264 ** | −0.086 | −0.093 | |||
| p-value | 0.001 | 0.003 | 0.345 | 0.308 | ||||
| 5-HIAA/DHICA | rho | 0.187 * | 0.139 | −0.175 | 0.193 * | 0.131 | ||
| p-value | 0.040 | 0.128 | 0.055 | 0.034 | 0.153 | |||
| IS/Trp | rho | 0.179 * | 0.160 | −0.101 | 0.521 ** | 0.223 * | 0.065 | |
| p-value | 0.039 | 0.067 | 0.249 | 4.86 × 10−10 | 0.013 | 0.481 | ||
| Breslow thickness | rho | 0.011 | 0.014 | −0.064 | 0.039 | −0.326 * | 0.296 * | −0.019 |
| p-value | 0.926 | 0.911 | 0.601 | 0.766 | 0.011 | 0.024 | 0.875 | |
| Clark level | rho | 0.034 | 0.056 | −0.136 | −0.209 | −0.244 | 0.104 | −0.126 |
| p-value | 0.777 | 0.643 | 0.257 | 0.101 | 0.058 | 0.434 | 0.294 | |
| Melanoma stage | rho | 0.032 | −0.009 | −0.159 | −0.012 | −0.516 ** | 0.394 ** | −0.092 |
| p-value | 0.775 | 0.935 | 0.154 | 0.921 | 3.48 × 10−6 | 0.001 | 0.409 |
Publisher’s Note: MDPI stays neutral with regard to jurisdictional claims in published maps and institutional affiliations. |
© 2022 by the authors. Licensee MDPI, Basel, Switzerland. This article is an open access article distributed under the terms and conditions of the Creative Commons Attribution (CC BY) license (https://creativecommons.org/licenses/by/4.0/).
Share and Cite
Hubková, B.; Valko-Rokytovská, M.; Čižmárová, B.; Zábavníková, M.; Mareková, M.; Birková, A. Tryptophan: Its Metabolism along the Kynurenine, Serotonin, and Indole Pathway in Malignant Melanoma. Int. J. Mol. Sci. 2022, 23, 9160. https://doi.org/10.3390/ijms23169160
Hubková B, Valko-Rokytovská M, Čižmárová B, Zábavníková M, Mareková M, Birková A. Tryptophan: Its Metabolism along the Kynurenine, Serotonin, and Indole Pathway in Malignant Melanoma. International Journal of Molecular Sciences. 2022; 23(16):9160. https://doi.org/10.3390/ijms23169160
Chicago/Turabian StyleHubková, Beáta, Marcela Valko-Rokytovská, Beáta Čižmárová, Marianna Zábavníková, Mária Mareková, and Anna Birková. 2022. "Tryptophan: Its Metabolism along the Kynurenine, Serotonin, and Indole Pathway in Malignant Melanoma" International Journal of Molecular Sciences 23, no. 16: 9160. https://doi.org/10.3390/ijms23169160
APA StyleHubková, B., Valko-Rokytovská, M., Čižmárová, B., Zábavníková, M., Mareková, M., & Birková, A. (2022). Tryptophan: Its Metabolism along the Kynurenine, Serotonin, and Indole Pathway in Malignant Melanoma. International Journal of Molecular Sciences, 23(16), 9160. https://doi.org/10.3390/ijms23169160

