A Drug Discovery Approach for an Effective Pain Therapy through Selective Inhibition of Nav1.7
Abstract
:1. Introduction
- JNJ63955918 is a synthetic version of a tarantula venom peptide that shares portions of its structure. Highly selective for Nav1.7, it has shown profound pain inhibition efficacy at well-tolerated doses in rats [17], and is unique because it binds the closed form of the protein.
- DS-1971a, a powerful and selective Nav1.7 inhibitor characterized by a sulfonamidic moiety, has shown strong effectiveness in animal models (i.e., mice and cynomolgus monkey) of neuropatic pain in preclinical studies [18]. Safety pharmacology and chronic toxicity studies, conducted in vivo by up to 1000 mg/Kg and up to nine months DS-1971a administration, demonstrated that the compound did not induce any adverse effects. Human safety and tolerability [19] and dose study [20] trials were performed but the results have not yet been published.
- Ralfinamide [21] differs from the two compounds above by acting on multiple receptors, including Nav1.7, and is therefore not selective for Nav1.7. Ralfinamide has already successfully completed the phase 2 clinical trial [22]; however, it subsequently failed phase IIb/III trial due to back pain [23]. A phase 3 trial for neuropathic pain is still ongoing [24] and seems promising based on animal studies [23,25].
- An epigenetic approach to Nav1.7 inhibition was attempted [26] by using CRISPR-dCas9 and zinc fingers to epigenetically repress Nav1.7 in animal models, it was possible to obtain long-lasting analgesia, reduce thermal hyperalgesia, and reverse chemotherapy-induced chronic pain, without observable changes in motor function.
- Spider toxin μ-theraphotoxin-Pn3a is a selective inhibitor of Nav1.7 [11] whose analgesic effect was verified by Mueller et al. [12] using a mouse model, both with local and systemic administration. The toxin demonstrated strong anti-allodynic effects in acute post-surgical pain, and showed a superadditive effect with both the opioid oxycodone and the agonist GABA-B Baclofen, while naloxone inhibited its effects, demonstrating involvement of the endogenous opioids in the functioning of μ-theraphotoxin-Pn3a.
- In one paper [13], some benzoxazolinone aryl sulfonamides related to Nav1.7 and selective against Nav1.5 were tested in vitro and in vivo. The in vivo mouse test for the authors’ compound number 17 demonstrated strong and virtually complete inhibition of pain in a formalin paw assay, both for subcutaneous and oral administration, although the dose required to achieve such inhibition appears to be high. Notably, the compound was peripherally restricted and therefore had no effect on the CNS.
2. Results
3. Discussion
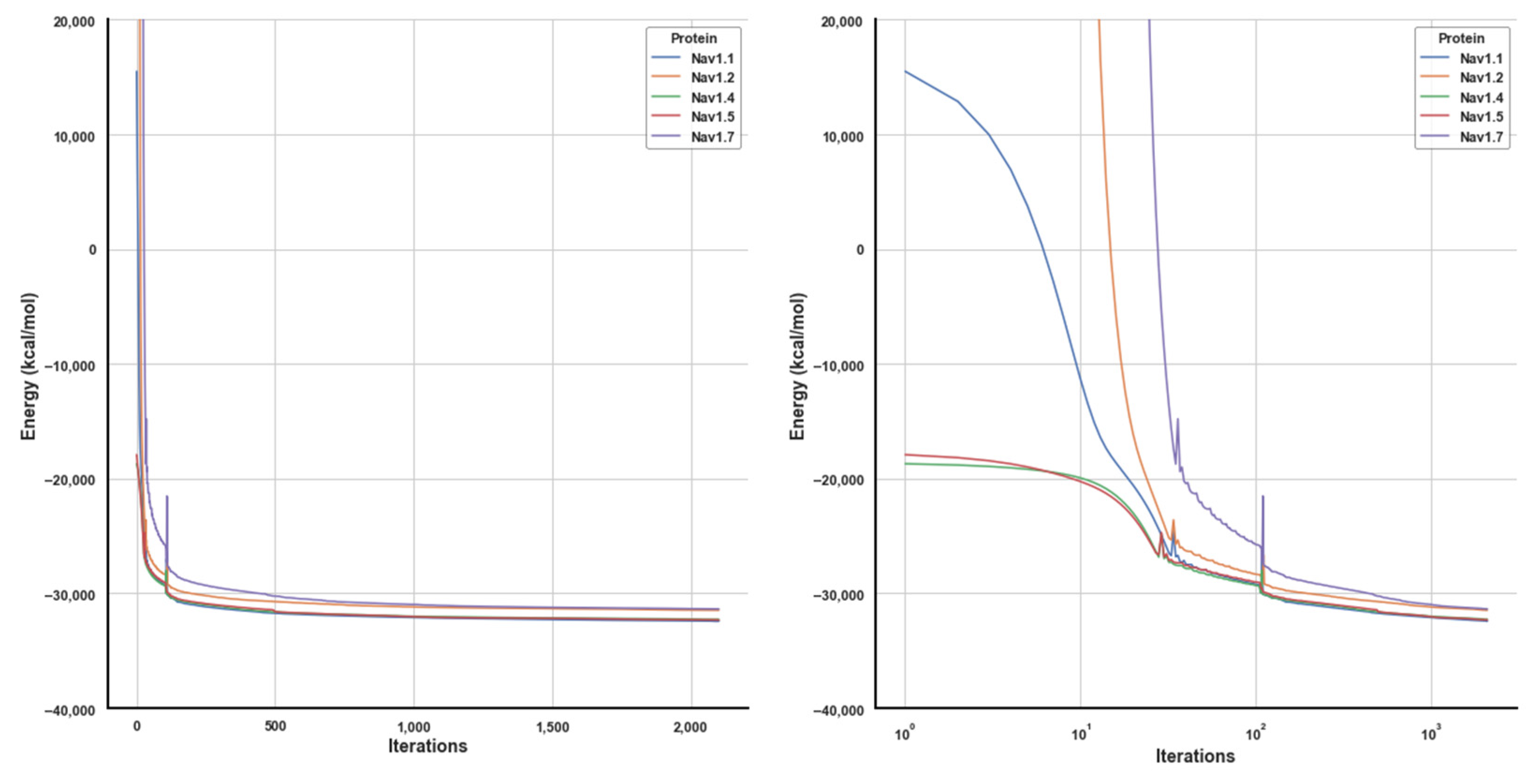
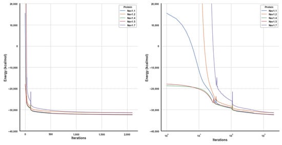
3.1. Minimization
3.2. Docking
3.3. ADME Analysis
- LIPO(Lipophilicity): −0.7 < XLOGP3 < +5.0;
- SIZE(Mol.Weight): 150 g/mol < MW < 500 g/mol;
- POLAR(Polarity): 20 Å2 < TPSA < 130 Å2;
- INSOLU(Insolubility): log_S > −6;
- INSATU(Insaturation): Csp3 fraction > 0.25;
- FLEX(Flexibility): num. rotatable bonds < 9.
3.4. Further Insights on Methodology and Results
3.5. Patentability
4. Materials and Methods
4.1. Targets and Coordinate Files
- 7DTD for Nav1.1: year 2021, resolution 3.30 Å, version 1;
- 6J8E for Nav1.2: year 2019, resolution 3.00 Å, version 2;
- 6AGF for Nav1.4: year 2018, resolution 3.20 Å, version 2;
- 7DTC for Nav1.5: year 2021, resolution 3.30 Å, version 1;
4.2. Minimization
4.3. Ligand Dataset
4.4. Docking Runs
4.5. Similarity Search
4.6. ADME Analysis
4.7. Kd and Selectivity Calculations
5. Conclusions
Supplementary Materials
Author Contributions
Funding
Institutional Review Board Statement
Informed Consent Statement
Data Availability Statement
Acknowledgments
Conflicts of Interest
References
- Dahlhamer, J.; Lucas, J.; Zelaya, C.; Nahin, R.; Mackey, S.; DeBar, L.; Kerns, R.; Von Korff, M.; Porter, L.; Helmick, C. Prevalence of chronic pain and high-impact chronic pain among adults—United States, 2016. Morb. Mortal. Wkly. Rep. 2018, 67, 1001. [Google Scholar] [CrossRef] [PubMed]
- Breivik, H.; Collett, B.; Ventafridda, V.; Cohen, R.; Gallacher, D. Survey of chronic pain in Europe: Prevalence, impact on daily life, and treatment. Eur. J. Pain 2006, 10, 287. [Google Scholar] [CrossRef]
- Brinkman, R.R.; Dubé, M.-P.; Rouleau, G.A.; Orr, A.C.; Samuels, M.E. Human monogenic disorders—A source of novel drug targets. Nat. Rev. Genet. 2006, 7, 249–260. [Google Scholar] [CrossRef] [PubMed]
- McKerrall, S.J.; Nguyen, T.; Lai, K.W.; Bergeron, P.; Deng, L.; DiPasquale, A.; Chang, J.H.; Chen, J.; Chernov-Rogan, T.; Hackos, D.H.; et al. Structure- and Ligand-Based Discovery of Chromane Arylsulfonamide Nav1.7 Inhibitors for the Treatment of Chronic Pain. J. Med. Chem. 2019, 62, 4091–4109. [Google Scholar] [CrossRef]
- Pajouhesh, H.; Beckley, J.T.; Delwig, A.; Hajare, H.S.; Luu, G.; Monteleone, D.; Zhou, X.; Ligutti, J.; Amagasu, S.; Moyer, B.D.; et al. Discovery of a selective, state-independent inhibitor of NaV1.7 by modification of guanidinium toxins. Sci. Rep. 2020, 10, 14791. [Google Scholar] [CrossRef] [PubMed]
- Catterall, W.A. From Ionic Currents to Molecular Mechanisms. Neuron 2000, 26, 13–25. [Google Scholar] [CrossRef] [Green Version]
- Yu, F.H.; Catterall, W.A. Overview of the voltage-gated sodium channel family. Genome Biol. 2003, 4, 207. [Google Scholar] [CrossRef] [Green Version]
- Dolivo, D.; Rodrigues, A.; Sun, L.; Li, Y.; Hou, C.; Galiano, R.; Hong, S.J.; Mustoe, T. The Nax (SCN7A) channel: An atypical regulator of tissue homeostasis and disease. Cell. Mol. Life Sci. 2021, 78, 5469–5488. [Google Scholar] [CrossRef]
- Waxman, S.G. A channel sets the gain on pain. Nature 2006, 444, 831–832. [Google Scholar] [CrossRef]
- MacDonald, D.I.; Sikandar, S.; Weiss, J.; Pyrski, M.; Luiz, A.P.; Millet, Q.; Emery, E.C.; Mancini, F.; Iannetti, G.D.; Alles, S.R.A.; et al. A central mechanism of analgesia in mice and humans lacking the sodium channel NaV1.7. Neuron 2021, 109, 1497–1512.e6. [Google Scholar] [CrossRef]
- Deuis, J.R.; Dekan, Z.; Wingerd, J.S.; Smith, J.J.; Munasinghe, N.R.; Bhola, R.F.; Imlach, W.L.; Herzig, V.; Armstrong, D.A.; Rosengren, K.J.; et al. Pharmacological characterisation of the highly NaV1.7 selective spider venom peptide Pn3a. Sci. Rep. 2017, 7, 40883. [Google Scholar] [CrossRef] [PubMed]
- Mueller, A.; Starobova, H.; Morgan, M.; Dekan, Z.; Cheneval, O.; Schroeder, C.I.; Alewood, P.F.; Deuis, J.R.; Vetter, I. Antiallodynic effects of the selective NaV1.7 inhibitor Pn3a in a mouse model of acute postsurgical pain: Evidence for analgesic synergy with opioids and baclofen. Pain 2019, 160, 1766–1780. [Google Scholar] [CrossRef] [PubMed]
- Pero, J.E.; Rossi, M.A.; Lehman, H.D.G.F.; Kelly, M.J.; Mulhearn, J.J.; Wolkenberg, S.E.; Cato, M.J.; Clements, M.K.; Daley, C.J.; Filzen, T.; et al. Benzoxazolinone aryl sulfonamides as potent, selective Nav 1.7 inhibitors with in vivo efficacy in a preclinical pain model. Bioorg. Med. Chem. Lett. 2017, 27, 2683–2688. [Google Scholar] [CrossRef] [PubMed]
- Weuring, W.J.; Singh, S.; Volkers, L.; Rook, M.B.; van’t Slot, R.H.; Bosma, M.; Inserra, M.; Vetter, I.; Verhoeven-Duif, N.M.; Braun, K.P.J.; et al. NaV1.1 and NaV1.6 selective compounds reduce the behavior phenotype and epileptiform activity in a novel zebrafish model for Dravet Syndrome. PLoS ONE 2020, 15, e0219106. [Google Scholar] [CrossRef] [Green Version]
- SCN5A Sodium Voltage-Gated Channel Alpha Subunit 5 [Homo Sapiens (Human)]-Gene-NCBI. Available online: https://www.ncbi.nlm.nih.gov/gene/6331 (accessed on 6 May 2022).
- Marionneau, C.; Abriel, H. Regulation of the cardiac Na+ channel NaV1.5 by post-translational modifications. J. Mol. Cell Cardiol. 2015, 82, 36–47. [Google Scholar] [CrossRef]
- Flinspach, M.; Xu, Q.; Piekarz, A.D.; Fellows, R.; Hagan, R.; Gibbs, A.; Liu, Y.; Neff, R.A.; Freedman, J.; Eckert, W.A.; et al. Insensitivity to pain induced by a potent selective closed-state Nav1.7 inhibitor. Sci. Rep. 2017, 7, 39662. [Google Scholar] [CrossRef]
- Shinozuka, T.; Kobayashi, H.; Suzuki, S.; Tanaka, K.; Karanjule, N.; Hayashi, N.; Tsuda, T.; Tokumaru, E.; Inoue, M.; Ueda, K.; et al. Discovery of DS-1971a, a Potent, Selective NaV1.7 Inhibitor. J. Med. Chem. 2020, 63, 10204–10220. [Google Scholar] [CrossRef]
- Single Ascending Dose Study Using DS-1971 to Assess Safety, Tolerability, and Pharmacokinetics in Healthy Participants. Available online: https://clinicaltrials.gov/ct2/show/record/NCT02107885 (accessed on 6 May 2022).
- Multiple Dose Study of DS-1971a. Available online: https://clinicaltrials.gov/ct2/show/NCT02190058 (accessed on 6 May 2022).
- Yamane, H.; de Groat, W.C.; Sculptoreanu, A. Effects of ralfinamide, a Na+ channel blocker, on firing properties of nociceptive dorsal root ganglion neurons of adult rats. Exp. Neurol. 2007, 208, 63–72. [Google Scholar] [CrossRef] [Green Version]
- Newron Pharmaceuticals Reports Positive Phase II Results for Ralfinamide in Peripheral Neuropathic Pain Patients. Available online: https://www.biospace.com/article/releases/newron-pharmaceuticals-reports-positive-phase-ii-results-for-ralfinamide-in-peripheral-neuropathic-pain-patients-/ (accessed on 6 May 2022).
- Liang, X.; Yu, G.; Su, R. Effects of ralfinamide in models of nerve injury and chemotherapy-induced neuropathic pain. Eur. J. Pharmacol. 2018, 823, 27–34. [Google Scholar] [CrossRef]
- Newron Pharmaceuticals-Ralfinamide-AdisInsight. Available online: https://adisinsight.springer.com/drugs/800014979 (accessed on 6 May 2022).
- Zhang, S.-H.; Blech-Hermoni, Y.; Faravelli, L.; Seltzer, Z. Ralfinamide administered orally before hindpaw neurectomy or postoperatively provided long-lasting suppression of spontaneous neuropathic pain-related behavior in the rat. Pain 2008, 139, 293–305. [Google Scholar] [CrossRef]
- Moreno, A.M.; Alemán, F.; Catroli, G.F.; Hunt, M.; Hu, M.; Dailamy, A.; Pla, A.; Woller, S.A.; Palmer, N.; Parekh, U.; et al. Long-lasting analgesia via targeted in situ repression of NaV1.7 in mice. Sci. Transl. Med. 2021, 13, eaay9056. [Google Scholar] [CrossRef]
- Daina, A.; Zoete, V. A BOILED-Egg to Predict Gastrointestinal Absorption and Brain Penetration of Small Molecules. Chem. Med. Chem. 2016, 11, 1117–1121. [Google Scholar] [CrossRef] [Green Version]
- Teague, S.J.; Davis, A.M.; Leeson, P.D.; Oprea, T. The Design of Leadlike Combinatorial Libraries. Angew. Chem. Int. Ed. 1999, 38, 3743–3748. [Google Scholar] [CrossRef]
- Chagot, B.; Potet, F.; Balser, J.R.; Chazin, W.J. Solution NMR Structure of the C-terminal EF-hand Domain of Human Cardiac Sodium Channel NaV1.5. J. Biol. Chem. 2009, 284, 6436–6445. [Google Scholar] [CrossRef] [Green Version]
- SCN5A-Sodium Channel Protein Type 5 Subunit Alpha-Homo Sapiens (Human)-SCN5A Gene & Protein. Available online: https://www.uniprot.org/uniprot/Q14524 (accessed on 6 May 2022).
- Laskowski, R.A.; Swindells, M.B. LigPlot+: Multiple Ligand–Protein Interaction Diagrams for Drug Discovery. J. Chem. Inf. Model. 2011, 51, 2778–2786. [Google Scholar] [CrossRef]
- Pettersen, E.F.; Goddard, T.D.; Huang, C.C.; Meng, E.C.; Couch, G.S.; Croll, T.I.; Morris, J.H.; Ferrin, T.E. UCSF ChimeraX: Structure visualization for researchers, educators, and developers. Protein Sci. 2020, 30, 70–82. [Google Scholar] [CrossRef]
- Salentin, S.; Schreiber, S.; Haupt, V.J.; Adasme, M.F.; Schroeder, M. PLIP: Fully automated protein–ligand interaction profiler. Nucleic Acid. Res. 2015, 43, W443–W447. [Google Scholar] [CrossRef]
- PLIP-Help|Detection of Interactions. Available online: https://plip-tool.biotec.tu-dresden.de/plip-web/plip/help#section-interactions (accessed on 6 May 2022).
- Ahamad, S.; Kanipakam, H.; Gupta, D. Insights into the structural and dynamical changes of spike glycoprotein mutations associated with SARS-CoV-2 host receptor binding. J. Biomol. Struct. Dyn. 2020, 40, 263–275. [Google Scholar] [CrossRef]
- Prasad, K.; Ahamad, S.; Kanipakam, H.; Gupta, D.; Kumar, V. Simultaneous Inhibition of SARS-CoV-2 Entry Pathways by Cyclosporine. ACS Chem. Neurosci. 2021, 12, 930–944. [Google Scholar] [CrossRef]
- Daina, A.; Michielin, O.; Zoete, V. SwissADME: A free web tool to evaluate pharmacokinetics, drug-likeness and medicinal chemistry friendliness of small molecules. Sci. Rep. 2017, 7, 42717. [Google Scholar] [CrossRef] [Green Version]
- Ritchie, T.J.; Ertl, P.; Lewis, R. The graphical representation of ADME-related molecule properties for medicinal chemists. Drug Discov. Today 2011, 16, 65–72. [Google Scholar] [CrossRef]
- Lovering, F.; Bikker, J.; Humblet, C. Escape from Flatland: Increasing Saturation as an Approach to Improving Clinical Success. J. Med. Chem. 2009, 52, 6752–6756. [Google Scholar] [CrossRef]
- WIPO-Search International and National Patent Collections. Available online: https://patentscope.wipo.int (accessed on 6 May 2022).
- WIPO-World Intellectual Property Organization. Available online: https://www.wipo.int (accessed on 6 May 2022).
- Shen, H.; Liu, D.; Wu, K.; Lei, J.; Yan, N. Structures of human NaV1.7 channel in complex with auxiliary subunits and animal toxins. Science 2019, 363, 1303–1308. [Google Scholar] [CrossRef]
- Salomon-Ferrer, R.; Case, D.A.; Walker, R.C. An overview of the Amber biomolecular simulation package. Wiley Interdiscip. Rev. Comput. Mol. Sci. 2012, 3, 198–210. [Google Scholar] [CrossRef]
- Onufriev, A.; Bashford, D.; Case, D.A. Exploring protein native states and large-scale conformational changes with a modified generalized born model. Proteins Struct. Funct. Bioinform. 2004, 55, 383–394. [Google Scholar] [CrossRef] [Green Version]
- Tian, C.; Kasavajhala, K.; Belfon, K.A.A.; Raguette, L.; Huang, H.; Migues, A.N.; Bickel, J.; Wang, Y.; Pincay, J.; Wu, Q.; et al. ff19SB: Amino-Acid-Specific Protein Backbone Parameters Trained against Quantum Mechanics Energy Surfaces in Solution. J. Chem. Theory Comput. 2019, 16, 528–552. [Google Scholar] [CrossRef]
- Sterling, T.; Irwin, J.J. ZINC 15–Ligand Discovery for Everyone. J. Chem. Inf. Model. 2015, 55, 2324–2337. [Google Scholar] [CrossRef]
- Koes, D.R.; Baumgartner, M.P.; Camacho, C.J. Lessons Learned in Empirical Scoring with smina from the CSAR 2011 Benchmarking Exercise. J. Chem. Inf. Model. 2013, 53, 1893–1904. [Google Scholar] [CrossRef]
- Trott, O.; Olson, A.J. AutoDock Vina: Improving the speed and accuracy of docking with a new scoring function, efficient optimization, and multithreading. J. Comput. Chem. 2010, 31, 455–461. [Google Scholar] [CrossRef] [Green Version]
- RDKit: Open-Source Cheminformatics Software. Available online: https://www.rdkit.org (accessed on 6 May 2022).









| Rank | Nav1.1aff | Nav1.2aff | Nav1.4aff | Nav1.5aff | Best_NT_aff | Nav1.7aff | Selectivity | AS_Score | |
|---|---|---|---|---|---|---|---|---|---|
| ZINC000004073908 | 1 | −9.267810 | −9.861835 | −10.271330 | −9.100430 | −10.271330 | −11.295949 | −1.024619 | −11.574045 |
| ZINC000026500865 | 2 | −10.124042 | −10.160164 | −10.167982 | −9.642671 | −10.167982 | −11.000865 | −0.832883 | −9.162432 |
| ZINC000097978320 | 3 | −10.151968 | −10.040705 | −10.318269 | −9.648543 | −10.318269 | −11.066463 | −0.748195 | −8.279869 |
| ZINC000066054853 | 4 | −9.406034 | −9.650142 | −9.669319 | −8.468196 | −9.669319 | −10.457479 | −0.788159 | −8.242159 |
| ZINC000551876670 | 5 | −9.570515 | −9.702531 | −9.458369 | −8.799217 | −9.702531 | −10.417365 | −0.714834 | −7.446689 |
| ZINC001065149093 | 6 | −7.405717 | −7.432326 | −7.980913 | −7.507424 | −7.980913 | −8.726273 | −0.745359 | −6.504209 |
| ZINC000333566284 | 7 | −5.905749 | −5.838212 | −5.908603 | −5.783346 | −5.908603 | −6.843217 | −0.934615 | −6.395771 |
| ZINC000143460179 | 8 | −8.608278 | −8.117563 | −8.810167 | −8.102057 | −8.810167 | −9.464184 | −0.654016 | −6.189732 |
| ZINC000136328316 | 9 | −8.542331 | −9.541473 | −9.553011 | −9.110066 | −9.553011 | −10.160188 | −0.607177 | −6.169030 |
| ZINC000388914704 | 10 | −8.134428 | −7.945611 | −7.901132 | −7.809019 | −8.134428 | −8.829168 | −0.694740 | −6.133979 |
| ZINC000004721063 | 11 | −8.705332 | −8.725003 | −8.970100 | −8.721251 | −8.970100 | −9.594739 | −0.624639 | −5.993244 |
| ZINC000306588188 | 12 | −6.317635 | −6.545392 | −6.513891 | −6.546165 | −6.546165 | −7.347348 | −0.801182 | −5.886565 |
| ZINC000307048803 | 13 | −6.024336 | −6.224265 | −6.000527 | −6.266380 | −6.266380 | −7.089138 | −0.822757 | −5.832639 |
| ZINC000257345886 | 14 | −8.598330 | −8.502018 | −8.803064 | −8.814258 | −8.814258 | −9.409009 | −0.594751 | −5.596021 |
| ZINC000306451241 | 15 | −6.462030 | −6.415341 | −6.642433 | −6.582372 | −6.642433 | −7.395166 | −0.752733 | −5.566587 |
| ZINC000688277778 | 16 | −7.826337 | −8.124866 | −8.148812 | −8.006941 | −8.148812 | −8.777143 | −0.628330 | −5.514944 |
| ZINC000038957963 | 17 | −9.130526 | −10.320339 | −9.946248 | −9.225662 | −10.320339 | −10.827887 | −0.507547 | −5.495666 |
| ZINC000540981613 | 18 | −7.828243 | −7.830225 | −8.068832 | −8.116579 | −8.116579 | −8.744275 | −0.627696 | −5.488747 |
| ZINC000529947512 | 19 | −8.800838 | −9.008982 | −8.924126 | −8.730454 | −9.008982 | −9.580667 | −0.571685 | −5.477122 |
| ZINC000691799119 | 20 | −6.776092 | −6.853613 | −6.591362 | −6.814666 | −6.853613 | −7.567987 | −0.714374 | −5.406370 |
| Rank | SMILES | |
|---|---|---|
| ZINC000004073908 | 1 | C[C@]12CC[C@@H]3[C@@H](C=CC4=CC(=O)CC[C@@]43C)[C@H]1CC[C@@]21CCC(=O)O1 |
| ZINC000026500865 | 2 | C[C@]12CC[C@@H]3[C@@H]([C@H]4C[C@H]4C4=CC(=O)CC[C@@]43C)[C@H]1[C@@H]1C[C@@H]1[C@@]21CCC(=O)O1 |
| ZINC000097978320 | 3 | C[C@]12CC[C@@H]3[C@@H]([C@H]4C[C@H]4C4=CC(=O)CC[C@@]43C)[C@H]1[C@@H]1C[C@@H]1[C@@]21CC[C@H](O)O1 |
| ZINC000066054853 | 4 | O=C1c2cc(Br)ccc2C[C@@]12CCc1ccccc1C2 |
| ZINC000551876670 | 5 | N#C[C@]1(NC(=O)[C@@H]2CC3CCC2CC3)CCc2ccccc2C1 |
| ZINC001065149093 | 6 | CC(C)(C)C(=O)[NH+]1CC[C@H]2CC[C@@H](C1)[NH+]2c1ccncc1C#N |
| ZINC000333566284 | 7 | N=C1C[C@H]([NH3+])C(=O)[C@@H](O)[C@H]1O |
| ZINC000143460179 | 8 | C[C@H]1C[C@]2(Cc3ccc(Br)cc3C2=O)C[C@@H](C)C1=O |
| ZINC000136328316 | 9 | C[C@]12CC[C@H]3[C@@H](C[C@H](O)[C@H]4CC(=O)CC[C@@]43C)[C@@H]1CCC2=O |
| ZINC000388914704 | 10 | CC1(C)CCC[C@](C#N)([C@@H]2C=CCCCCC2)C1=O |
| ZINC000004721063 | 11 | C[C@]12CC[C@H]3[C@@H](C[C@H](O)[C@@H]4C[C@H](O)CC[C@]34C)[C@@H]1CCC2=O |
| ZINC000306588188 | 12 | C[C@]1(O)[C@@H](O)[C@@H](O)[C@@H](O)[C@H](O)[C@H]1O |
| ZINC000307048803 | 13 | O=C1[C@H]2CCCC[C@@H]1[C@@H](O)CCC2 |
| ZINC000257345886 | 14 | C[C@]12CC[C@@H](O)[C@@H](C[C@H]3[C@@H]1CC[C@@]1(C)CCC[C@H]31)C2=O |
| ZINC000306451241 | 15 | C[C@]12C=CC[C@]13CCC[C@H]3CC2=O |
| ZINC000688277778 | 16 | [NH3+][C@H]1CC2(CCC(F)(F)CC2)Oc2ccccc21 |
| ZINC000038957963 | 17 | CC1=C[C@H]2[C@@H]3CCC(=O)[C@@]3(C)CC[C@@H]2[C@@]2(C)CCC(=O)C=C12 |
| ZINC000540981613 | 18 | C[NH+](C(=O)N=c1cc[nH]cc1[N+](=O)[O-])C1CCC(C(C)(C)C)CC1 |
| ZINC000529947512 | 19 | CC1(C)[C@H](c2ccc(F)cc2)CC[NH+]1C(=O)c1n[nH]c2c1CCC2 |
| ZINC000691799119 | 20 | N#C[C@@H]1CCC[C@@H]1[C@]1(C(=O)[O-])CCCCC1=O |
| Molecule | MW | Csp3 Fraction | MR | TPSA | XLOGP3 | ESOL Log S | GI Absorption | BBB Permeant | Pgp Substrate | Cyto- Chrome Inhibitions | log Kp (cm/s) | Drug-Likeness Score | Bio- Availability Score | Lead-Likeness #Violations | Synthetic Accessibility |
|---|---|---|---|---|---|---|---|---|---|---|---|---|---|---|---|
| 1 | 340.46 | 0.73 | 97.35 | 43.37 | 2.68 | −3.64 | High | Yes | No | 1 | −6.47 | 5 | 0.55 | 0 | 5.46 |
| 2 | 366.49 | 0.83 | 103.21 | 43.37 | 2.47 | −3.67 | High | Yes | No | 0 | −6.78 | 5 | 0.55 | 1 | 5.63 |
| 3 | 368.51 | 0.88 | 104.17 | 46.53 | 3.40 | −4.27 | High | Yes | Yes | 0 | −6.13 | 5 | 0.55 | 1 | 6.04 |
| 4 | 327.22 | 0.28 | 83.88 | 17.07 | 4.56 | −5.19 | High | Yes | Yes | 3 | −5.06 | 4 | 0.55 | 1 | 3.41 |
| 5 | 308.42 | 0.60 | 90.50 | 52.89 | 4.09 | −4.32 | High | Yes | Yes | 2 | −5.28 | 5 | 0.55 | 1 | 4.18 |
| 6 | 314.43 | 0.61 | 98.61 | 62.63 | 2.34 | −3.26 | High | No | Yes | 0 | −6.56 | 4 | 0.55 | 0 | 4.17 |
| 7 | 159.16 | 0.67 | 38.92 | 109.02 | −2.46 | 0.72 | Low | No | No | 0 | −9.02 | 3 | 0.55 | 1 | 3.00 |
| 8 | 321.21 | 0.50 | 78.66 | 34.14 | 3.52 | −4.28 | High | Yes | No | 3 | −5.76 | 5 | 0.55 | 1 | 3.86 |
| 9 | 304.42 | 0.89 | 86.03 | 54.37 | 2.26 | −3.15 | High | Yes | Yes | 0 | −6.55 | 5 | 0.55 | 0 | 4.00 |
| 10 | 259.39 | 0.76 | 78.56 | 40.86 | 4.79 | −4.40 | High | Yes | No | 1 | −4.48 | 5 | 0.55 | 1 | 3.92 |
| 11 | 306.44 | 0.95 | 86.99 | 57.53 | 2.35 | −3.22 | High | Yes | Yes | 0 | −6.50 | 5 | 0.55 | 0 | 4.19 |
| 12 | 194.18 | 1.00 | 40.66 | 121.38 | −3.52 | 1.17 | Low | No | Yes | 0 | −9.98 | 3 | 0.55 | 1 | 3.69 |
| 13 | 182.26 | 0.91 | 52.12 | 37.30 | 1.77 | −2.09 | High | Yes | No | 0 | −6.16 | 4 | 0.55 | 1 | 3.42 |
| 14 | 276.41 | 0.94 | 81.03 | 37.30 | 1.77 | −2.09 | High | Yes | No | 0 | −6.16 | 4 | 0.55 | 1 | 3.42 |
| 15 | 176.25 | 0.75 | 52.66 | 17.07 | 2.70 | −2.63 | High | Yes | No | 1 | −5.46 | 4 | 0.55 | 1 | 4.57 |
| 16 | 254.30 | 0.57 | 66.66 | 36.87 | 2.67 | −3.35 | High | Yes | Yes | 0 | −5.96 | 5 | 0.55 | 0 | 3.41 |
| 17 | 298.42 | 0.70 | 88.73 | 34.14 | 2.71 | −3.40 | High | Yes | No | 1 | −6.20 | 5 | 0.55 | 0 | 5.02 |
| 18 | 335.42 | 0.65 | 96.29 | 95.48 | 3.50 | −3.98 | High | No | No | 1 | −5.86 | 5 | 0.55 | 0 | 4.13 |
| 19 | 328.40 | 0.47 | 95.58 | 50.19 | 3.29 | −4.09 | High | Yes | Yes | 0 | −5.97 | 5 | 0.55 | 0 | 3.38 |
| 20 | 234.27 | 0.77 | 59.90 | 80.99 | 2.30 | −2.61 | High | No | No | 0 | −6.10 | 5 | 0.56 | 1 | 3.08 |
Publisher’s Note: MDPI stays neutral with regard to jurisdictional claims in published maps and institutional affiliations. |
© 2022 by the authors. Licensee MDPI, Basel, Switzerland. This article is an open access article distributed under the terms and conditions of the Creative Commons Attribution (CC BY) license (https://creativecommons.org/licenses/by/4.0/).
Share and Cite
Trombetti, G.A.; Mezzelani, A.; Orro, A. A Drug Discovery Approach for an Effective Pain Therapy through Selective Inhibition of Nav1.7. Int. J. Mol. Sci. 2022, 23, 6793. https://doi.org/10.3390/ijms23126793
Trombetti GA, Mezzelani A, Orro A. A Drug Discovery Approach for an Effective Pain Therapy through Selective Inhibition of Nav1.7. International Journal of Molecular Sciences. 2022; 23(12):6793. https://doi.org/10.3390/ijms23126793
Chicago/Turabian StyleTrombetti, Gabriele A., Alessandra Mezzelani, and Alessandro Orro. 2022. "A Drug Discovery Approach for an Effective Pain Therapy through Selective Inhibition of Nav1.7" International Journal of Molecular Sciences 23, no. 12: 6793. https://doi.org/10.3390/ijms23126793
APA StyleTrombetti, G. A., Mezzelani, A., & Orro, A. (2022). A Drug Discovery Approach for an Effective Pain Therapy through Selective Inhibition of Nav1.7. International Journal of Molecular Sciences, 23(12), 6793. https://doi.org/10.3390/ijms23126793

