Relative Cation-Anion Diffusion in Alkyltriethylammonium-Based Ionic Liquids
Abstract
:1. Introduction
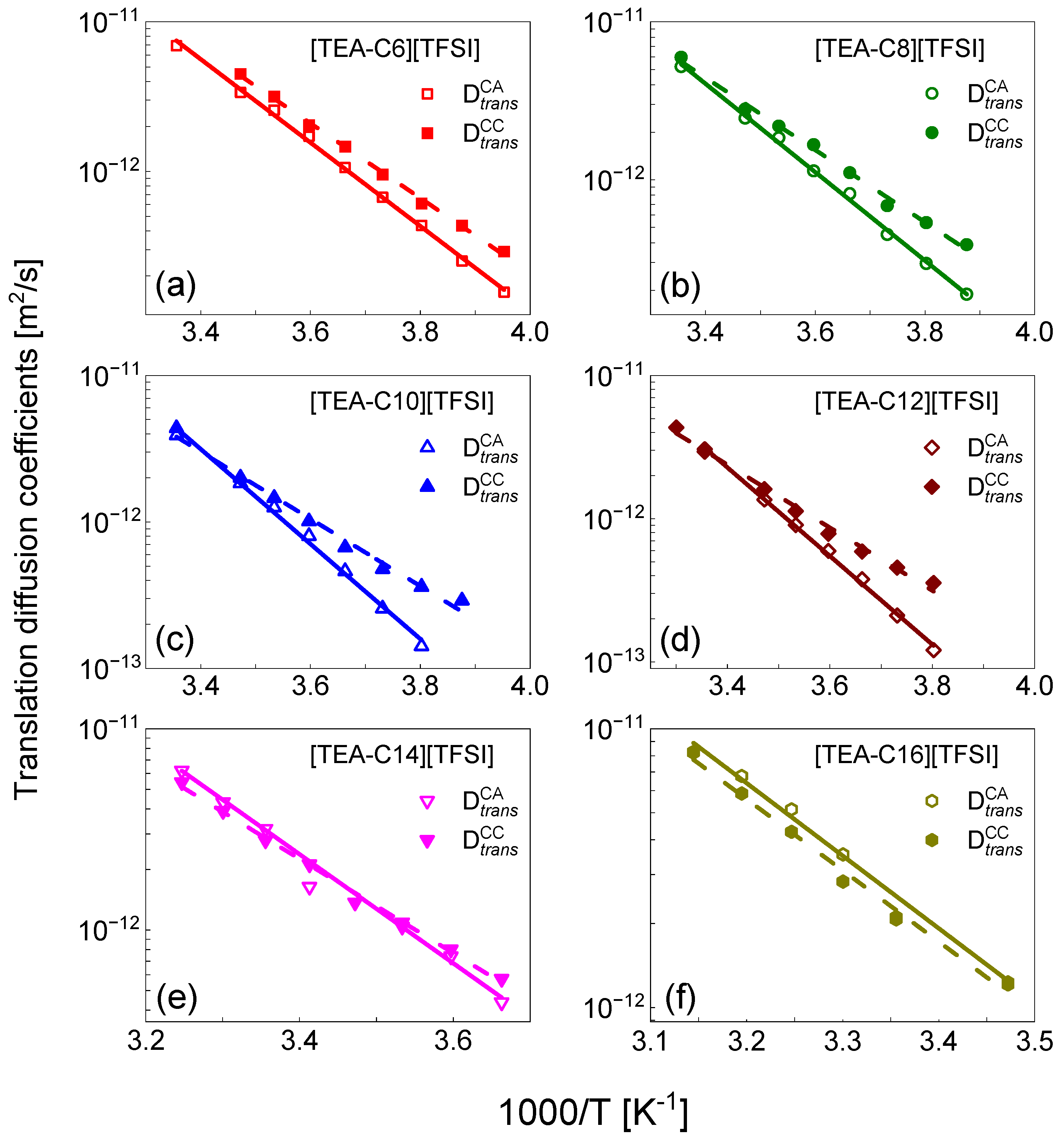
2. Results
3. Discussion
4. Materials and Methods
5. Conclusions
Supplementary Materials
Author Contributions
Funding
Institutional Review Board Statement
Informed Consent Statement
Data Availability Statement
Conflicts of Interest
Appendix A
Appendix B





References
- Price, W.S. NMR Diffusometry. In Modern Magnetic Resonance; Springer: Dordrecht, The Netherlands, 2008; pp. 109–115. ISBN 978-1-4020-3910-2. [Google Scholar]
- Price, W.S. NMR Studies of Translational Motion; Cambridge University Press: Cambridge, UK, 2009. [Google Scholar]
- Pilar, K.; Rua, A.; Suarez, S.N.; Mallia, C.; Lai, S.; Jayakody, J.; Hatcher, J.L.; Wishart, J.F.; Greenbaum, S. Investigation of dynamics in BMIM TFSA ionic liquid through variable temperature and pressure NMR relaxometry and diffusometry. J. Electrochem. Soc. 2017, 164, H5189–H5196. [Google Scholar] [CrossRef] [PubMed] [Green Version]
- Kruk, D.; Masiewicz, E.; Lotarska, S.; Markiewicz, R.; Jurga, S. Correlated Dynamics in Ionic Liquids by Means of NMR Relaxometry: Butyltriethylammonium bis(Trifluoromethanesulfonyl)imide as an Example. Int. J. Mol. Sci. 2021, 22, 9117. [Google Scholar] [CrossRef] [PubMed]
- Carignani, E.; Juszyńska-Gałązka, E.; Gałązka, M.; Forte, C.; Geppi, M.; Calucci, L. Translational and rotational diffusion of three glass forming alcohols by 1H field cycling NMR relaxometry. J. Mol. Liq. 2021, 330, 115597. [Google Scholar] [CrossRef]
- Kruk, D.; Masiewicz, E.; Lotarska, S.; Markiewicz, R.; Jurga, S. Relationship between Translational and Rotational Dynamics of Alkyltriethylammonium-Based Ionic Liquids. Int. J. Mol. Sci. 2022, 23, 1688. [Google Scholar] [CrossRef] [PubMed]
- Kruk, D.; Meier, R.; Rachocki, A.; Korpała, A.; Singh, R.K.; Rössler, E.A. Determining diffusion coefficients of ionic liquids by means of field cycling nuclear magnetic resonance relaxometry. J. Chem. Phys. 2014, 140, 244509. [Google Scholar] [CrossRef] [PubMed]
- Seyedlar, A.O.; Stapf, S.; Mattea, C. Dynamics of the ionic liquid 1-butyl-3-methylimidazolium bis(trifluoromethylsulphonyl)imide studied by nuclear magnetic resonance dispersion and diffusion. Phys. Chem. Chem. Phys. 2014, 17, 1653–1659. [Google Scholar] [CrossRef]
- Kruk, D.; Wojciechowski, M.; Verma, Y.L.; Chaurasia, S.K.; Singh, R.K. Dynamical properties of EMIM-SCN confined in a SiO2 matrix by means of 1H NMR relaxometry. Phys. Chem. Chem. Phys. 2017, 19, 32605–32616. [Google Scholar] [CrossRef]
- Wencka, M.; Apih, T.; Korošec, R.C.; Jenczyk, J.; Jarek, M.; Szutkowski, K.; Jurga, S.; Dolinšek, J. Molecular dynamics of 1-ethyl-3-methylimidazolium triflate ionic liquid studied by 1H and 19F nuclear magnetic resonances. Phys. Chem. Chem. Phys. 2017, 19, 15368–15376. [Google Scholar] [CrossRef] [PubMed]
- Korb, J. Multiscale nuclear magnetic relaxation dispersion of complex liquids in bulk and confinement. Prog. Nucl. Magn. Reson. Spectrosc. 2018, 104, 12–55. [Google Scholar] [CrossRef] [PubMed]
- Ordikhani, A.; Stapf, S.; Mattea, C. Nuclear magnetic relaxation and diffusion study of the ionic liquids 1-ethyl- and 1-butyl-3-methylimidazolium bis(trifluoromethylsulfonyl)imide confined in porous glass. Magn. Reson. Chem. 2019, 57, 818–828. [Google Scholar] [CrossRef] [PubMed]
- Jayakody, N.K.; Fraenza, C.C.; Greenbaum, S.G.; Ashby, D.; Dunn, B.S. NMR Relaxometry and Diffusometry Analysis of Dynamics in Ionic Liquids and Ionogels for Use in Lithium-Ion Batteries. J. Phys. Chem. B 2020, 124, 6843–6856. [Google Scholar] [CrossRef] [PubMed]
- Kimmich, R.; Anoardo, E. Field-Cycling NMR Relaxometry. ChemInform 2004, 35, 257–320. [Google Scholar] [CrossRef]
- Fujara, F.; Kruk, D.; Privalov, A.F. Solid state Field-Cycling NMR relaxometry: Instrumental improvements and new applications. Prog. Nucl. Magn. Reson. Spectrosc. 2014, 82, 39–69. [Google Scholar] [CrossRef] [PubMed]
- Slichter, C.P. Principles of Magnetic Resonance; Springer Series in Solid-State Sciences; Springer: Berlin/Heidelberg, Germany, 1990; ISBN 978-3-540-50157-2. [Google Scholar]
- Daniel, C. Introduction: General Theory of Nuclear Relaxation. Adv. Inorg. Chem. 2005, 57, 3–40. [Google Scholar] [CrossRef]
- Kowalewski, J.; Mäler, L. Nuclear Spin Relaxation in Liquids: Theory, Experiments, and Applications; CRC Press: Boca Raton, FL, USA, 2017; pp. 1–372. [Google Scholar] [CrossRef]
- Hwang, L.; Freed, J.H. Dynamic effects of pair correlation functions on spin relaxation by translational diffusion in liquids. J. Chem. Phys. 1975, 63, 4017. [Google Scholar] [CrossRef]
- Fries, P.H. Dipolar nuclear spin relaxation in liquids and plane fluids undergoing chemical reactions. Mol. Phys. 2006, 48, 503–526. [Google Scholar] [CrossRef]
- Fries, P.H.; Belorizky, E. Monte Carlo calculation of the intermolecular dipolar spin relaxation in a liquid solution. J. Chem. Phys. 1998, 79, 1166. [Google Scholar] [CrossRef]
- Harmon, J.F. Low frequency spin lattice relaxation in glycerol. Chem. Phys. Lett. 1970, 7, 207–208. [Google Scholar] [CrossRef]
- Kruk, D.; Meier, R.; Rössler, E.A. Nuclear magnetic resonance relaxometry as a method of measuring translational diffusion coefficients in liquids. Phys. Rev. E Stat. Nonlin. Soft Matter Phys. 2012, 85, 020201. [Google Scholar] [CrossRef] [PubMed]
- Markiewicz, R.; Klimaszyk, A.; Jarek, M.; Taube, M.; Florczak, P.; Kempka, M.; Fojud, Z.; Jurga, S. Influence of Alkyl Chain Length on Thermal Properties, Structure, and Self-Diffusion Coefficients of Alkyltriethylammonium-Based Ionic Liquids. Int. J. Mol. Sci. 2021, 22, 5935. [Google Scholar] [CrossRef] [PubMed]




| Name; Abbreviation | Chemical Formula | Molecular Mass [g/mol] | Density [g/cm3] | ||
|---|---|---|---|---|---|
| Triethylhexylammonium bis(trifluoromethanesulfonyl)imide; [TEA–C6] [TFSI] | C14H28F6N2O4S2 | 466.50 | 1.29 | 4.66 × 1028 | 9.99 × 1028 |
| Triethyloctylammonium bis(trifluoromethanesulfonyl)imide; [TEA–C8] [TFSI] | C16H32F6N2O4S2 | 494.56 | 1.25 | 4.87 × 1028 | 9.13 × 1027 |
| Decyltriethylammonium bis(trifluoromethanesulfonyl)imide; [TEA–C10] [TFSI] | C18H36F6N2O4S2 | 522.61 | 1.21 | 5.02 × 1028 | 8.36 × 1027 |
| Dodecyltriethylammonium bis(trifluoromethanesulfonyl)imide; [TEA–C12] [TFSI] | C20H40F6N2O4S2 | 550.66 | 1.17 | 5.12 × 1028 | 7.94 × 1028 |
| Triethyltetradecylammonium bis(trifluoromethanesulfonyl)imide; [TEA–C14] [TFSI] | C22H44F6N2O4S2 | 578.72 | 1.16 | 5.31 × 1028 | 7.24 × 1027 |
| Hexadecyltriethylammonium bis(trifluoromethanesulfonyl)imide; [TEA–C16] [TFSI] | C24H48F6N2O4S2 | 606.77 | 1.13 | 5.38 × 1028 | 6.73 × 1027 |
| Temp. [K] | Rel. Error [%] | Slope | ||
|---|---|---|---|---|
| 3.36 Å | ||||
| 253 | 1.56 × 10−13 | 13.1 | 1.76 × 10−12 | 1.85 × 10−13 |
| 258 | 2.52 × 10−13 | 15.3 | 2.84 × 10−12 | 2.38 × 10−13 |
| 263 | 4.36 × 10−13 | 11.9 | 4.92 × 10−12 | 4.76 × 10−13 |
| 268 | 6.72 × 10−13 | 7.7 | 7.58 × 10−12 | 6.86 × 10−13 |
| 273 | 1.06 × 10−12 | 6.9 | 1.20 × 10−11 | 1.18 × 10−12 |
| 278 | 1.72 × 10−12 | 6.5 | 1.94 × 10−11 | 1.72 × 10−12 |
| 283 | 2.57 × 10−12 | 7.3 | 2.90 × 10−11 | 2.68 × 10−12 |
| 288 | 3.38 × 10−12 | 8.3 | 3.82 × 10−11 | 3.32 × 10−12 |
| 298 | 6.92 × 10−12 | 9.8 | 7.82 × 10−11 | 6.88 × 10−12 |
| 3.43 Å | ||||
| 258 | 1.89 × 10−13 | 11.1 | 2.22 × 10−12 | 1.84 × 10−13 |
| 263 | 2.96 × 10−13 | 10.5 | 3.48 × 10−12 | 2.58 × 10−13 |
| 268 | 4.51 × 10−13 | 11.4 | 5.30 × 10−12 | 4.56 × 10−13 |
| 273 | 8.18 × 10−13 | 10.4 | 9.62 × 10−12 | 8.58 × 10−13 |
| 278 | 1.14 × 10−12 | 8.5 | 1.34 × 10−11 | 1.26 × 10−12 |
| 283 | 1.85 × 10−12 | 7.1 | 2.18 × 10−11 | 1.92 × 10−12 |
| 288 | 2.46 × 10−12 | 7.7 | 2.90 × 10−11 | 2.46 × 10−12 |
| 298 | 5.21 × 10−12 | 10.1 | 6.14 × 10−11 | 5.26 × 10−12 |
| [TEA– 3.64 Å | ||||
| 263 | 1.42 × 10−13 | 21.7 | 1.89 × 10−12 | 1.93 × 10−13 |
| 268 | 2.57 × 10−13 | 15.3 | 3.40 × 10−12 | 3.30 × 10−13 |
| 273 | 4.61 × 10−13 | 10.1 | 6.10 × 10−12 | 5.88 × 10−13 |
| 278 | 8.03 × 10−13 | 6.7 | 1.06 × 10−11 | 7.78 × 10−13 |
| 283 | 1.26 × 10−12 | 4.6 | 1.67 × 10−11 | 1.49 × 10−12 |
| 288 | 1.84 × 10−12 | 4.7 | 2.44 × 10−11 | 2.16 × 10−12 |
| 298 | 3.92 × 10−12 | 8.7 | 5.20 × 10−11 | 4.20 × 10−12 |
| 3.73 Å | ||||
| 263 | 1.21 × 10−13 | 15.7 | 1.68 × 10−12 | 1.74 × 10−13 |
| 268 | 2.11 × 10−13 | 12.8 | 2.94 × 10−12 | 2.88 × 10−13 |
| 273 | 3.78 × 10−13 | 10.1 | 5.26 × 10−12 | 3.72 × 10−13 |
| 278 | 5.96 × 10−13 | 12.3 | 8.30 × 10−12 | 5.94 × 10−13 |
| 283 | 9.03 × 10−13 | 11.7 | 1.26 × 10−11 | 9.16 × 10−13 |
| 288 | 1.36 × 10−12 | 10.1 | 1.89 × 10−11 | 1.36 × 10−12 |
| 298 | 2.94 × 10−12 | 8.6 | 4.10 × 10−11 | 2.95 × 10−12 |
| Å | ||||
| 273 | 4.37 × 10−13 | 5.1 | 6.18 × 10−12 | 4.46 × 10−13 |
| 278 | 7.39 × 10−13 | 6.5 | 8.73 × 10−12 | 7.98 × 10−13 |
| 283 | 1.04 × 10−12 | 4.5 | 1.81 × 10−11 | 1.05 × 10−12 |
| 293 | 1.64 × 10−12 | 5.5 | 2.63 × 10−11 | 1.91 × 10−12 |
| 298 | 3.18 × 10−12 | 8.6 | 3.46 × 10−11 | 3.19 × 10−12 |
| 303 | 4.32 × 10−12 | 9.5 | 4.22 × 10−11 | 4.42 × 10−12 |
| 308 | 6.19 × 10−12 | 6.2 | 3.16 × 10−11 | 6.39 × 10−12 |
| 4.73 Å | ||||
| 288 | 1.21 × 10−12 | 7.1 | 1.35 × 10−11 | 1.25 × 10−12 |
| 298 | 2.11 × 10−12 | 9.3 | 1.91 × 10−11 | 1.74 × 10−12 |
| 303 | 3.54 × 10−12 | 9.9 | 3.96 × 10−11 | 3.45 × 10−12 |
| 308 | 5.14 × 10−12 | 8.8 | 6.05 × 10−11 | 5.28 × 10−12 |
| 313 | 6.77 × 10−12 | 9.7 | 7.57 × 10−11 | 6.78 × 10−12 |
| 318 | 8.26 × 10−12 | 11.0 | 9.24 × 10−11 | 8.27 × 10−12 |
Publisher’s Note: MDPI stays neutral with regard to jurisdictional claims in published maps and institutional affiliations. |
© 2022 by the authors. Licensee MDPI, Basel, Switzerland. This article is an open access article distributed under the terms and conditions of the Creative Commons Attribution (CC BY) license (https://creativecommons.org/licenses/by/4.0/).
Share and Cite
Kruk, D.; Masiewicz, E.; Kołodziejski, K.; Markiewicz, R.; Jurga, S. Relative Cation-Anion Diffusion in Alkyltriethylammonium-Based Ionic Liquids. Int. J. Mol. Sci. 2022, 23, 5994. https://doi.org/10.3390/ijms23115994
Kruk D, Masiewicz E, Kołodziejski K, Markiewicz R, Jurga S. Relative Cation-Anion Diffusion in Alkyltriethylammonium-Based Ionic Liquids. International Journal of Molecular Sciences. 2022; 23(11):5994. https://doi.org/10.3390/ijms23115994
Chicago/Turabian StyleKruk, Danuta, Elżbieta Masiewicz, Karol Kołodziejski, Roksana Markiewicz, and Stefan Jurga. 2022. "Relative Cation-Anion Diffusion in Alkyltriethylammonium-Based Ionic Liquids" International Journal of Molecular Sciences 23, no. 11: 5994. https://doi.org/10.3390/ijms23115994
APA StyleKruk, D., Masiewicz, E., Kołodziejski, K., Markiewicz, R., & Jurga, S. (2022). Relative Cation-Anion Diffusion in Alkyltriethylammonium-Based Ionic Liquids. International Journal of Molecular Sciences, 23(11), 5994. https://doi.org/10.3390/ijms23115994

