A Novel Antibacterial Component and the Mechanisms of an Amaranthus tricolor Leaf Ethyl Acetate Extract against Acidovorax avenae subsp. citrulli
Abstract
:1. Introduction
2. Results
2.1. Bacteriostatic Activity of the Activated Carbon Chromatography Eluate of A. tricolor
2.2. A. tricolor Ester Extract Isolation and Purification
2.3. Structural Identification of Pure Products
2.4. Virulence Measurement of A. tricolor Active Ingredients
2.5. Ultrastructure Observation of Bacteria Inhibited by HBA
2.6. Effects of HBA on the Bacterial Metabolome
2.7. Effects of HBA on Bacterial Enzymatic Activity
2.8. Effects of HBA on Bacterial Cell Membrane Permeability
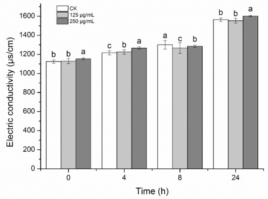
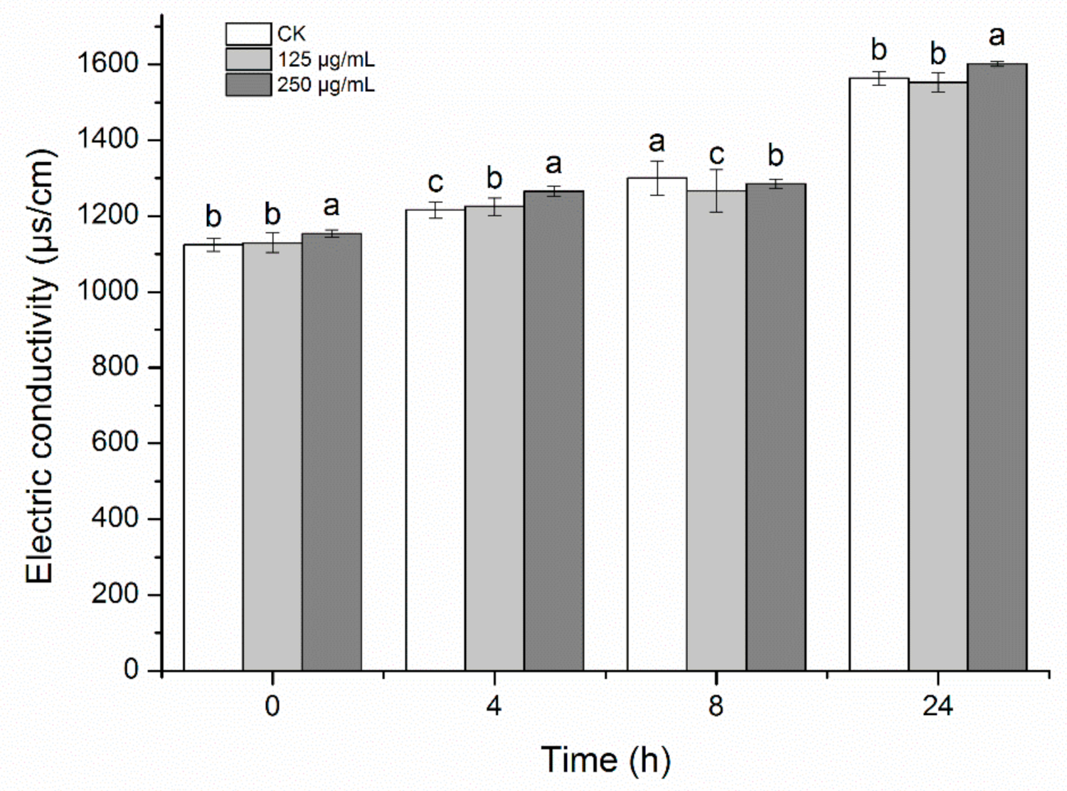
2.9. Effects of HBA on Bacterial Cell Membrane Integrity
2.10. HBA on Pyruvate Level in A. avenae subsp. citrulli
2.11. Binding Model of HBA and Targets
3. Discussion
4. Materials and Methods
4.1. Test Plants
4.2. Preparation of Culture Media
4.3. Bacterial Strain Activation
4.4. Preparation of A. tricolor Ester Extract
4.5. Measurement of A. tricolor Ester Extract Activity
4.6. Silica Gel Column Chromatography
4.7. ODS-C18 Reverse-Phase Chromatography
4.8. Sephadex LH−20 Gel Filtration Chromatography
4.9. Structural Identification of Compounds
4.10. Effects of HBA on Bacterial Ultrastructure Using Scanning Electron Microscopy (SEM)
4.11. Bacterial Metabolome
4.12. Bacterial Cell Membrane Permeability
4.13. Bacterial Cell Membrane Integrity
4.14. Effects of HBA on Bacterial Pyruvate Level
4.15. Effects of HBA on Bacterial Enzymatic Activity
4.16. Molecular Docking
4.17. Data Analysis
5. Conclusions
Author Contributions
Funding
Institutional Review Board Statement
Informed Consent Statement
Data Availability Statement
Conflicts of Interest
References
- Liu, S.C.; Kuang, H.Q.; Lai, Z.X. Transcriptome analysis by illumina high-throughput paired-end sequencing reveals the complexity of differential gene expression during in vitro plantlet growth and flowering in Amaranthus tricolor L. PLoS ONE 2014, 9, e100919. [Google Scholar]
- Shao, L.; Chen, T.M. Analysis on the physiological characteristics and cultivation techniques of amaranth in autumn and winter. Plant Physiol. J. 2019, 55, 1355–1364. [Google Scholar]
- Sarker, U.; Oba, S. Drought stress effects on growth, ROS markers, compatible solutes, phenolics, flavonoids, and antioxidant activity in Amaranthus tricolor. Appl. Biochem. Biotechnol. 2018, 186, 999–1016. [Google Scholar] [CrossRef] [PubMed]
- Sarker, U.; Oba, S. Leaf pigmentation, its profiles and radical scavenging activity in selected Amaranthus tricolor leafy vegetables. Sci. Rep. 2020, 10, 18617. [Google Scholar] [CrossRef]
- Sarker, U.; Islam, M.T.; Rabbani, M.G.; Oba, S. Variability in total antioxidant capacity, antioxidant leaf pigments and foliage yield of vegetable amaranth. J. Integr. Agric. 2018, 17, 1145–1153. [Google Scholar] [CrossRef] [Green Version]
- Zhao, C.L.; Chen, J.L.; Wang, L.; Chen, H.; Zheng, Y.F.; Xiao, F.; Lai, Z.X.; Liu, S.C. Effects of temperature on the betalian content and expression of related gene in amaranth seedlings. Chin. J. Appl. Environ. Biol. 2020, 26, 1484–1489. [Google Scholar]
- Yustiati, A.; Zurwana, S.I.; Rizal, A.; Andriani, Y. Promoting color brightness of clown loach (Chromobotia macracanthus Bleeker) by mixing red spinach (Amaranthus tricolor L.) powder with feed stuff. Asian. J. Fish. Aqua. Res. 2020, 9, 21–30. [Google Scholar] [CrossRef]
- Jayaprakasam, B.; Zhang, Y.; Nair, M.G. Tumor cell proliferation and cyclooxygenase enzyme inhibitory compounds in Amaranthus tricolor. J. Agric. Food Chem. 2004, 52, 6939–6943. [Google Scholar] [CrossRef]
- Rahmatullah, M.; Hosain, M.; Rahman, S.; Akter, M.; Rahman, F.; Rehana, F.; Munmun, M.; Kalpana, M.A. Antihyperglycaemic and antinociceptive activity evaluation of methanolic extract of whole plant of Amaranthus Tricolour L. (Amaranthaceae). Afr. J. Tradit. Complementary Altern. Med. 2013, 10, 408–411. [Google Scholar]
- Khandaker, L.; Ali, M.B.; Oba, S. Total polyphenol and antioxidant activity of red amaranth (Amaranthus tricolor L.) as affected by different sunlight level. J. Jpn. Soc. Hortic. Sci. 2008, 77, 395–401. [Google Scholar] [CrossRef] [Green Version]
- Alam, S.; Krupanidhi, K.; Sambasiva Rao, K.R.S. Evaluation of in-vitro antioxidant activity of Amaranthus tricolor Linn. Asian J. Pharmacol. Toxicol. 2013, 1, 12–16. [Google Scholar]
- Khanam, U.K.S.; Oba, S. Bioactive substances in leaves of two amaranth species, Amaranthus tricolor and A. hypochondriacus. Can. J. Plant Sci. 2013, 93, 47–58. [Google Scholar] [CrossRef]
- Al-Dosari, M.S. The effectiveness of ethanolic extract of Amaranthus tricolor L.: A natural hepatoprotective agent. Am. J. Chin. Med. 2010, 38, 1051–1064. [Google Scholar] [CrossRef]
- Yuniarto, A.; Putri, A.Z.; Selifiana, N.; Adnyana, I.K. Preventive effect of ethanol extract of red spinach (Amaranthus tricolor L.) on diet-induced obese zebrafish. Eur. J. Med. Plants. 2020, 31, 27–32. [Google Scholar] [CrossRef]
- Pulipati, S.; Babu, P.S.; Narasu, M.L. Quantitative determination of tannin content and evaluation of antibacterial activity of Amaranthus tricolor (L). Int. J. Biol. Pharm. Res. 2014, 5, 623–626. [Google Scholar]
- Oh, Y.S.; Lee, S.H. Isolation and identification of antimicrobial compound from Amarnathu lividus. Microbiol. Biotechnol. Lett. 2005, 33, 123–129. [Google Scholar]
- Abd, A.S.M. Screening of selected Malaysian plants against several food borne pathogen bacteria. Int. Food. Res. J. 2011, 18, 1195–1201. [Google Scholar]
- Lina, A.; Rivillas, A.; Manuel, S.G. Isolation and biochemical characterization of an antifungal peptide from Amaranthus hypochondriacus seeds. J. Agric. Food Chem. 2007, 55, 156–161. [Google Scholar]
- Lyapkova, N.S.; Loskutova, N.A.; Maisuryan, A.N.; Mazin, V.V.; Korableva, N.P.; Platonova, T.A.; Ladyzhenskaya, E.P.; Evsyunina, A.S. Transformed potato plants carrying the gene of the antifungal peptide of Amaranthus caudatus. Appl. Biochem. Microbiol. 2001, 37, 349–354. [Google Scholar] [CrossRef]
- Xia, R.Z.; Liu, S.Q.; Xie, Y.; Zhang, Y.; Wang, C.; Yin, W.; Liao, X.L. Antibacterial activity of Amaranthus tricolor extracts against five phytopathogenic bacteria. Egypt. J. Biol. Pest. Control 2016, 26, 157–162. [Google Scholar]
- Chen, Y.S.; Lin, X.Y.; Zhong, L.J.; Xie, J.M.; Zhang, Y.H. Chemical constituents of Vitex trifolia L. Nat. Prod. Res. Dev. 2011, 23, 1011–1048. [Google Scholar]
- Maulidiani; Shaari, K.; Paetz, C.; Stanslas, J.; Abas, F.; Lajis, N.H. Naturally occurring labdane diterpene and benzofuran from Globba pendula. Nat. Prod. Commun. 2009, 4, 1031. [Google Scholar] [CrossRef] [PubMed] [Green Version]
- Gahukar, R.T. Evaluation of plant-derived products against pests and diseases of medicinal plants: A review. Crop Prot. 2012, 42, 202–209. [Google Scholar] [CrossRef]
- Rousset, B. Antithyroid effect of a food or drug preservative: 4-hydroxybenzoic acid methyl ester. Experientia 1981, 37, 177–178. [Google Scholar] [CrossRef] [PubMed]
- Seidel, C.; Schnekenburger, M.; Dicato, M.; Diederich, M. Antiproliferative and proapoptotic activities of 4-hydroxybenzoic acid-based inhibitors of histone deacetylases. Cancer Lett. 2014, 343, 134–146. [Google Scholar] [CrossRef] [PubMed]
- Kitade, Y.; Hashimoto, R.; Suda, M.; Hiraga, K.; Inui, M. Production of 4-hydroxybenzoic acid by an aerobic growth-arrested bioprocess using metabolically engineered Corynebacterium glutamicum. Appl. Environ. Microbiol. 2018, 84, e02587-17. [Google Scholar] [CrossRef] [PubMed] [Green Version]
- Zhu, C.X.; Jiang, X.L.; Sun, D.Y. Zhongshengmycin, a New Agro-antibiotics. Fine Spec. Chem. 2002, 16, 14–17. [Google Scholar]
- Chen, X.Y.; Zhao, C.H.; Liu, S.; Liang, J.H. Study on antibacterial activity of allicin in vitro. J. Shenyang Agric. Univ. 2008, 1, 108–110. [Google Scholar]
- Jonkers, D.; Van, D.B.E.; Van, D.I.; Thijs, C.; Dorant, E.; Hageman, G.; Stobberingh, E. Antibacterial effect of garlic and omeprazole on Helicobacter pylori. J. Antimicrob. Chemother. 1999, 43, 837–839. [Google Scholar] [CrossRef] [Green Version]
- Ferreira, G.R.S.; de Santana Brito, S.B.J.; Procopio, T.F.; Santos, N.D.L.; Cardoso de Limab, B.J.R.; Coelho, L.C.B.B.; Navarro, D.M.A.F.; Paiva, P.M.G.; Soares, T.; Moura, M.C.; et al. Antimicrobial potential of Alpinia purpurata lectin (ApuL): Growth inhibitory action, synergistic effects in combination with antibiotics, and antibiofilm activity. Microb. Pathog. 2018, 124, 152–162. [Google Scholar] [CrossRef] [PubMed]
- Tremaroli, V.; Workentine, M.L.; Weljie, A.M.; Vogel, H.J.; Ceri, H.; Viti, C.; Tatti, E.; Zhang, P.; Hynes, A.P.; Turner, R.J.; et al. Metabolomic investigation of the bacterial response to a metal challenge. Appl. Environ. Microbiol. 2009, 75, 719–728. [Google Scholar] [CrossRef] [PubMed] [Green Version]
- Aliferis, K.A.; Jabaji, S. Metabolomics–a robust bioanalytical approach for the discovery of the modes-of-action of pesticides: A review. Pestic. Biochem. Physiol. 2011, 100, 105–117. [Google Scholar] [CrossRef]
- Fleck, C.B.; SchBel, F.; Brock, M. Nutrient acquisition by pathogenic fungi: Nutrient availability, pathway regulation, and differences in substrate utilization. Int. J. Med. Microbiol. 2011, 301, 400–407. [Google Scholar] [CrossRef] [PubMed]
- Rajam, B.; Rajam, M.V. Inhibition of polyamine biosynthesis and growth in plant pathogenic fungi in vitro. Mycopathologia 1996, 133, 95–103. [Google Scholar] [CrossRef]
- Yang, J.; Wang, Y.; Wei, P.H. The development of clinical and pharmacological study on S Adenosyl L methionine. Prog. Pharm. Sci. 2001, 25, 164–167. [Google Scholar]
- Chen, X.; Zhao, Y.S.; Dong, Y.; Su, P. Metabolomic analysis of Mn~(2+) effect on the metabolic pathways in lactobacillus plantarum. J. Chin. Inst. Food Sci. Technol. 2019, 19, 258–265. [Google Scholar]
- Ricke, S. Perspectives on the use of organic acids and short chain fatty acids as antimicrobials. Poultry. Sci. 2003, 82, 632–639. [Google Scholar] [CrossRef] [PubMed]
- Zhang, Q.L.; Li, W.; Liu, B.; Yan, Y.Q. Research progress on fatty acids and apoptosis. J. Northeast Agric. Univ. 2006, 4, 539–545. [Google Scholar]
- Wang, J.Q.; Zhao, G.X.; Liu, Y.; Gao, J.Y.; Xie, Q.; Han, Y.P.; Li, Y.Z. Metabonomic analysis of Escherichia coli carried on “Shijian 10”. Microbiol. China 2019, 46, 233–240. [Google Scholar]
- Lan, W.Q.; Xie, J.; Hou, W.F.; Li, D.W. Study on antibacterial activity and action mechanism of compound biological preservative against Staphylococcus squirrel. Nat. Prod. Res. Dev. 2012, 6, 741–746. [Google Scholar]
- Zhou, L.; Yun, B.Y.; Wang, Y.J.; Xie, M.J. Antibacterial mechanism of emodin on Staphylococcus aureus. Chin. J. Biochem. Mol. Biol. 2011, 12, 1156–1160. [Google Scholar]
- He, L.Y. Study on the response mechanism of nitrobacteria antioxidant enzyme system under low temperature shock. Southwest Jiaotong Univ. 2013, 12–13. [Google Scholar]
- Du, X.T.; Song, X.; Liu, X.X.; Xia, Y.J.; Ai, L.Z.; Xiong, Z.Q. Research progress on transcription regulators of bacterial extracellular polysaccharide biosynthesis. Microbiol. China 2021, 48, 573–581. [Google Scholar]
- Keppler, L.D.; Baker, C.J. O2 initiated lipid peroxidation in a bacteria-induced hypersensitive reaction in tobacco cell suspensions. Phytopathology 1989, 79, 555–562. [Google Scholar] [CrossRef]
- Chai, H.B.; Doke, N. Activation of the potential of potato leaf tissue to react hypersensitive to Phytophthora infestans cytospora germination fluid and the enhancement of this potential by calciumions. Physiol. Mol. Plant Pathol. 1987, 30, 27. [Google Scholar] [CrossRef]
- Chigrin, V.V. Oxidative, Lipolytie and Protective enzymes in the leaves of rust resistant and susce-ptible Plants of wheat. Soviet Plant Physiol. 1988, 35, 921–929. [Google Scholar]
- Zhang, Y.; Su, P.; Wang, C.; Liao, X.L. Identification of a novel broad-spectrum anti-fungal strain of Pseudomonas aeruginosa (SU8) and effect of its crude metabolites against Rhizoctonia solani and Pyricularia oryzae. Egypt. J. Biol. Pest. Control 2015, 25, 295–304. [Google Scholar]
- Bharate, S.B.; Khan, S.I.; Yunus, N.; Chauthe, S.K.; Jacob, M.P.; Tekwani, B.L.; Khan, I.A.; Singh, I.P. Antiprotozoal and antimicrobial activities of O-alkylated and formylated acylphloroglucinols. Bioorg. Med. Chem. 2007, 15, 87–96. [Google Scholar] [CrossRef]
- Olajuyigbe, O.O.; Olajuyigbe, A.A.; Afolayan, A.J. Ultrastructure and X-ray microanalysis of the antibacterial effects of stem bark ethanol extract of Acacia mearnsii de wild against some selected bacteria. J. Pure. Appl. Microbiol. 2018, 12, 2217–2228. [Google Scholar] [CrossRef]
- Chen, W.; Gong, L.; Guo, Z.; Wang, W.S.; Zhang, H.L.; Liu, X.Q.; Yu, S.B.; Xiong, L.Z.; Luo, J. A novel integrated method for large-scale detection, identification, and quantification of widely targeted metabolites: Application in the study of rice metabolomics. Mol. Plant. 2013, 6, 1769–1780. [Google Scholar] [CrossRef] [Green Version]
- Wei, C.Y. Inhibition mechanism of gallic acid against rice bacterial streak disease and its control effect on the disease. Guangxi Univ. 2016, 10–11. [Google Scholar]
- Chavan, P.S.; Tupe, S.G. Antifungal activity and mechanism of action of carvacrol and thymol against vineyard and wine spoilage yeasts. Food Control 2014, 46, 115–120. [Google Scholar] [CrossRef]
- Huang, Q.C.; Zhou, M.G.; Ye, Z.Y. Effect of amicarthiazol to the cell Xanthomonas citri. J. Nanjing Agric. Univ. 2001, 24, 23–26. [Google Scholar]












| Compound | Inhibition Zone Diameter (cm) |
|---|---|
| Average Value | |
| HBA | 2.29 ± 0.05 a |
| BFC | 0.54 ± 0.02 b |
| Zhongshengmycin (positive control) | 2.23 ± 0.01 a |
| Number | Index | Formula | Compounds | Log2FC | Type |
|---|---|---|---|---|---|
| 1 | MW0152046 | C22H27NO5 | Kreysigine | 12.87 | up |
| 2 | MW0169908 | C24H48O2 | Tetracosanoic acid | 12.52 | up |
| 3 | MEDN1492 | C8H8O3 | (R)-(-)-Mandelic acid | 11.96 | up |
| 4 | MEDN0343 | C7H10O5 | Shikimic Acid | 11.61 | up |
| 5 | MEDL01916 | C6H6O | Phenol | 5.68 | up |
| 6 | MEDN1167 | C7H6O3 | 4-Hydroxybenzoic Acid | 5.49 | up |
| 7 | MEDN0554 | C8H10O2 | 2-(4-Hydroxyphenyl)ethanol | 5.47 | up |
| 8 | MW0155866 | C13H19N5O4 | Pro Gly His | 5.28 | up |
| 9 | MEDN0089 | C7H6O4 | 2,5-Dihydroxy Benzoic Acid | 4.98 | up |
| 10 | MEDN1224 | C12H24O17P2 | Bis(1-inositol)-3,1′-phosphate 1-phosphate | −1.66 | down |
| 11 | MEDN0481 | C7H6O4 | 2,4-Dihydroxy Benzoic Acid | 4.98 | up |
| 12 | MEDN1322 | C7H6O4 | 2,3-Dihydroxybenzoic acid | 4.98 | up |
| 13 | MEDN1701 | C7H6O4 | 3,5-Dihydroxybenzoic acid | 4.98 | up |
| 14 | MW0009845 | C16H22ClN3O | Tebuconazole | 4.52 | up |
| 15 | MEDL00416 | C12H24O3 | 3-Hydroxydodecanoic acid | 4.31 | up |
| 16 | MW0013514 | C10H20O3 | 2-Hydroxydecanoate | 4.20 | up |
| 17 | MEDP1280 | C15H22N6O5S | S-Adenosyl-L-Methionine | −1.09 | down |
| 18 | MW0105037 | C10H20O3 | 3-Hydroxycapric acid | 4.14 | up |
| 19 | MEDP1464 | C13H13N3 | 1,3-Diphenylguanidine | −2.27 | down |
| 20 | MEDN1604 | C14H28O3 | 3-hydroxy-tetradecanoic acid | 3.47 | up |
| 21 | MW0015365 | C16H26O3 | 8R-Hydroxy-4Z,6E,10Z-hexadecatrienoic acid | 3.42 | up |
| 22 | MW0111229 | C18H39N | n-Octadecylamine | 3.00 | up |
| 23 | MW0122796 | C18H13ClFN3O | Alpha-hydroxymidazolam | 2.94 | up |
| 24 | MW0141607 | C15H24N2O2 | 17-Hydroxylupanine | 2.86 | up |
| 25 | MW0145377 | C15H26N8O5 | Arg His Ser | 2.81 | up |
| 26 | MW0158148 | C25H28N4O6 | Trp Glu Phe | 2.77 | up |
| 27 | MW0141608 | C22H32O3 | 17-keto-7(Z),10(Z),13(Z),15(E),19(Z)-Docosapentaenoic Acid | 2.70 | up |
| 28 | MW0006902 | C13H13OP | Diphenylmethylphosphine oxide | 2.70 | up |
| 29 | MEDN0380 | C16H30O2 | FFA(16:1) | 2.70 | up |
| 30 | MW0063608 | C30H48O2 | Soyasapogenol C;Sapogenol C | 2.38 | up |
| 31 | MEDN0494 | C20H32O4 | 8,15-Dihete | 2.35 | up |
| 32 | MW0061673 | C18H40NO6P | Phytosphingosine-1-P | 2.24 | up |
| 33 | MW0161385 | C27H44O | (1S)-3-[(Z)-2-[(1R,7aR)-7a-methyl-1-[(2R)-6-methylheptan-2-yl]-1,2,3,3a,6,7-hexahydroinden-4-yl]ethenyl]-4-methylcyclohex-3-en-1-ol | 2.17 | up |
| 34 | MW0011819 | C17H33O7P | 1-(9Z-tetradecenoyl)-glycero-3-phosphate | 2.17 | up |
| 35 | MW0009514 | C23H31NO2 | Proadifen | 2.14 | up |
| 36 | MW0168308 | C21H30O4 | [10]-Dehydrogingerdione | 2.13 | up |
| 37 | MW0150989 | C17H27N5O6 | His Leu Glu | 2.13 | up |
| 38 | MW0009714 | C25H37NO4 | Salmeterol | 2.13 | up |
| 39 | MEDP1032 | C7H6O2 | Salicylaldehyde | 2.13 | up |
| 40 | MW0104504 | C3H8NO5P | 2-Amino-3-phosphonopropionic acid | −1.82 | down |
| 41 | MW0145031 | C22H47NO5 | Aminopentol; AP1 | 2.12 | up |
| 42 | MW0105559 | C6H12N2O4 | Ala-Ser | −1.15 | down |
| 43 | MW0016192 | C25H37NO4 | Bimatoprost | 2.06 | up |
| 44 | MW0007815 | C17H20N2O | Michler’s ketone | 1.80 | up |
| 45 | MW0017120 | C26H34O6 | Cinobufagin | 1.78 | up |
| 46 | MW0012068 | C21H30O3 | 11a-Hydroxyprogesterone | 1.74 | up |
| 47 | MW0132792 | C15H10O5 | 3,7,4′-Trihydroxyflavone | −13.61 | down |
| 48 | MW0158708 | C29H26N2O7 | TyrMe-Nap-OH | 1.70 | up |
| 49 | MW0144201 | C13H15N3O7 | Abu-Asn-OH | 1.65 | up |
| 50 | MW0139399 | C16H12O6 | Pratensein | 1.56 | up |
| 51 | MW0142458 | C17H34O3 | 2-Methoxyhexadecanoic acid 2-Methoxyhexadecanoate | 1.56 | up |
| 52 | MW0123384 | C24H34O7 | Clerodin | 1.53 | up |
| 53 | MW0155978 | C16H27N3O4 | Pro Pro Ile | 1.47 | up |
| 54 | MW0157221 | C30H42O7 | Stigmatellin A; Stigmatellin | 1.43 | up |
| 55 | MW0144075 | C22H39NO5 | 8-iso Prostaglandin F2 Ethanolamide | −8.13 | down |
| 56 | MW0137461 | C20H22O3 | Avobenzone | 1.37 | up |
| 57 | MW0015339 | C20H34O5 | 8-iso-13,14-dihydro-15-keto-PGF2a | 1.36 | up |
| 58 | MW0145074 | C25H29NO4 | Ancistrocladine | −11.81 | down |
| 59 | MW0016257 | C22H40O2 | Butyl 9,12-octadecadienoate | 1.30 | up |
| 60 | MW0149681 | C22H40N8O8 | Gln Glu Ile Arg | −1.48 | down |
| 61 | MW0015555 | C17H24O4 | Acetylvalerenolic acid | 1.29 | up |
| 62 | MW0116826 | C21H28O4 | 11-nor-9-carboxy-Delta(9)-tetrahydrocannabinol | 1.29 | up |
| 63 | MW0005044 | C13H16O4 | 4-hydroxy-2-methoxy-3-(3-methylbut-2-en-1-yl)benzoic acid | 1.28 | up |
| 64 | MEDP1685 | C18H39NO3 | Phytosphingosine | 1.27 | up |
| 65 | MW0012516 | C22H36O6 | 16,16-Dimethyl-6-ketoprostaglandin E1 | 1.22 | up |
| 66 | MW0143701 | C11H14N4O4S | 5′-S-Methyl-5′-thioinosine; 5′-Deoxy-5′-methylthioinosine; S-Methyl-5′-thioinosine | 1.20 | up |
| 67 | MEDN1516 | C15H10O3 | 6-Hydroxyflavone (6-HF) | 1.16 | up |
| 68 | MW0013392 | C16H33NO2 | 2-aminohexadecanoic acid | 1.12 | up |
| 69 | MW0143692 | C10H10N4O5 | 5′-Oxoinosine; 5′-Dehydroinosine | 1.10 | up |
| 70 | MEDP1360 | C10H15NO6 | Mycosporine glycine | 1.01 | up |
Publisher’s Note: MDPI stays neutral with regard to jurisdictional claims in published maps and institutional affiliations. |
© 2021 by the authors. Licensee MDPI, Basel, Switzerland. This article is an open access article distributed under the terms and conditions of the Creative Commons Attribution (CC BY) license (https://creativecommons.org/licenses/by/4.0/).
Share and Cite
Zhang, Y.; Gao, K.; Wang, C.; Liu, S. A Novel Antibacterial Component and the Mechanisms of an Amaranthus tricolor Leaf Ethyl Acetate Extract against Acidovorax avenae subsp. citrulli. Int. J. Mol. Sci. 2022, 23, 312. https://doi.org/10.3390/ijms23010312
Zhang Y, Gao K, Wang C, Liu S. A Novel Antibacterial Component and the Mechanisms of an Amaranthus tricolor Leaf Ethyl Acetate Extract against Acidovorax avenae subsp. citrulli. International Journal of Molecular Sciences. 2022; 23(1):312. https://doi.org/10.3390/ijms23010312
Chicago/Turabian StyleZhang, Ya, Ke Gao, Chong Wang, and Shuangqing Liu. 2022. "A Novel Antibacterial Component and the Mechanisms of an Amaranthus tricolor Leaf Ethyl Acetate Extract against Acidovorax avenae subsp. citrulli" International Journal of Molecular Sciences 23, no. 1: 312. https://doi.org/10.3390/ijms23010312
APA StyleZhang, Y., Gao, K., Wang, C., & Liu, S. (2022). A Novel Antibacterial Component and the Mechanisms of an Amaranthus tricolor Leaf Ethyl Acetate Extract against Acidovorax avenae subsp. citrulli. International Journal of Molecular Sciences, 23(1), 312. https://doi.org/10.3390/ijms23010312

