Lasius fuliginosus Nest Carton as a Source of New Promising Bioactive Extracts with Chemopreventive Potential
Abstract
1. Introduction
2. Results
2.1. Characterization of the Ant Nest Structure
2.2. General Properties of the Ant Nest Extracts
2.2.1. Total Carbohydrates (TC), Proteins, Phenolic Compounds (PC), Relative Level of Superoxide Anion Radicals (SOR), and Proteolytic Activity Analysis
2.2.2. Fourier-Transform Infrared Spectroscopy (FTIR) Analysis of Samples
2.3. Biological Properties of the Water Ant Nest Extracts
Total Microbial Activity of the Samples (TMA)
2.4. Antioxidant Capacity
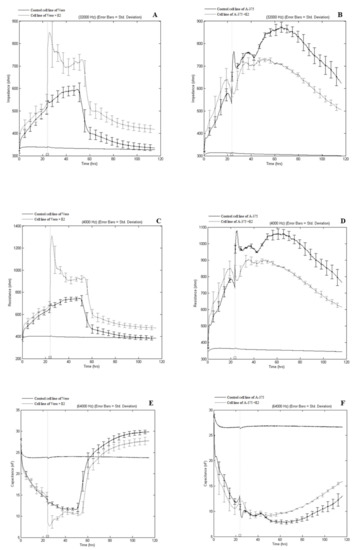
2.5. Cytotoxic and Antiproliferative Effects of the Extracts
Effect of Extract E2 on A-375 and Vero Cells as Recorded by Electrical Parameter Measurements
3. Discussion
4. Materials and Methods
4.1. Environmental Conditions of the Biological Material
4.2. Visualization of the Ant Nest Carton Structure
4.3. Extract Preparation
4.4. Biochemical Analysis of Extracts
4.4.1. Estimation of Total Carbohydrates (TC), Proteins, Phenolic Compounds (PC), Relative Level of Superoxide Anion Radicals (SOR) and Proteolytic Activity
4.4.2. Antioxidative Capacity
4.4.3. Determination of the Total Microbial Activity Level (TMB)
4.4.4. FTIR Analysis
4.5. Analysis of Anticancer Activity of Samples
4.5.1. Cell Lines and Culture Conditions
4.5.2. MTT Assay
4.5.3. Electric Cell-Substrate Impedance Sensing (ECIS)
4.6. Statistical Analysis
Author Contributions
Funding
Institutional Review Board Statement
Informed Consent Statement
Conflicts of Interest
References
- Bańkowski, C.; Serwatka, J. Pożyteczne Chwasty; Państwowy Zakład Wydawnictw Lekarskich PZWL: Warszawa, Poland, 1977. [Google Scholar]
- Sarwa, A. Wielki Leksykon Roślin Leczniczych; Ksia̧żka i Wiedza: Warszawa, Poland, 1989. [Google Scholar]
- Ubysz, J.; Tobiasz, E. Penicylina—pleśń która ratuje życie. Analit 2016, Nr 2, 152–154. [Google Scholar]
- Lichocka, H. Udział Polaków w Chemicznych Badaniach Leku Naturalnego 1805–1856. Kwart. Hist. Nauk. I Tech. 1990, 35, 337–342. [Google Scholar]
- Xiao, J.-H.; Zhong, J.-J. Secondary Metabolites from Cordyceps Species and Their Antitumor Activity Studies. Recent Pat Biotechnol. 2007, 1, 123–137. [Google Scholar] [CrossRef] [PubMed][Green Version]
- Patocka, J. Bioactive Metabolites of Entomopathogenic Fungi Beauveria Bassiana. Mil. Med. Sci. Lett. 2016, 85, 80–88. [Google Scholar] [CrossRef]
- Arbiser, J.L.; Kau, T.; Konar, M.; Narra, K.; Ramchandran, R.; Summers, S.A.; Vlahos, C.J.; Ye, K.; Perry, B.N.; Matter, W.; et al. Solenopsin, the Alkaloidal Component of the Fire Ant (Solenopsis Invicta), Is a Naturally Occurring Inhibitor of Phosphatidylinositol-3-Kinase Signaling and Angiogenesis. Blood 2007, 109, 560–565. [Google Scholar] [CrossRef] [PubMed]
- Sen, R.; Ishak, H.D.; Estrada, D.; Dowd, S.E.; Hong, E.; Mueller, U.G. Generalized Antifungal Activity and 454-Screening of Pseudonocardia and Amycolatopsis Bacteria in Nests of Fungus-Growing Ants. Proc. Natl. Acad. Sci. USA 2009, 106, 17805–17810. [Google Scholar] [CrossRef] [PubMed]
- Hasanuddin, K.S.R.; Gandamihardja, S.; Kurnia, D.; Adhita, D.H. Terpenoid Bioactive Compound Isolated from Papua Ant Nest Induces the Apoptosis of Human Ovarian Cell Lines (SKOV-3) and Increasing Caspase-9 Activity. Am. J. Res. Commun. 2015, 3, 1–10. [Google Scholar]
- Ye, L.; Zhao, S.; Li, Y.; Jiang, S.; Zhao, Y.; Li, J.; Yan, K.; Wang, X.; Xiang, W.; Liu, C. Streptomyces Lasiicapitis Sp. Nov., an Actinomycete That Produces Kanchanamycin, Isolated from the Head of an Ant (Lasius Fuliginosus L.). Int. J. Syst. Evol. Microbiol. 2017, 67, 1529–1534. [Google Scholar] [CrossRef]
- Krishanti, N.P.R.A.; Zulfina, D.; Wikantyoso, B.; Zulfitri, A.; Yusuf, S. Antimicrobial Production by an Actinomycetes Isolated from the Termite Nest. J. Trop. Life Sci. 2018, 8, 279–288. [Google Scholar] [CrossRef]
- Brinker, P.; Weig, A.; Rambold, G.; Feldhaar, H.; Tragust, S. Microbial Community Composition of Nest-Carton and Adjoining Soil of the Ant Lasius Fuliginosus and the Role of Host Secretions in Structuring Microbial Communities. Fungal Ecol. 2019, 38, 44–53. [Google Scholar] [CrossRef]
- Floegel, A.; Kim, D.-O.; Chung, S.-J.; Koo, S.I.; Chun, O.K. Comparison of ABTS/DPPH assays to measure antioxidant capacity in popularantioxidant-rich US foods. J. Food Compos. Anal. 2011, 24, 1043–1048. [Google Scholar] [CrossRef]
- Gopiraman, M.; Jatoi, A.W.; Hiromichi, S.; Yamaguchi, K.; Jeon, H.-Y.; Chung, I.-M.; Ick Soo, K. Silver Coated Anionic Cellulose Nanofiber Composites for an Efficient Antimicrobial Activity. Carbohydr. Polym. 2016, 149, 51–59. [Google Scholar] [CrossRef] [PubMed]
- Nejatzadeh-Barandozi, F.; Enferadi, S.T. FT-IR Study of the Polysaccharides Isolated from the Skin Juice, Gel Juice, and Flower of Aloe Vera Tissues Affected by Fertilizer Treatment. Org. Med. Chem. Lett. 2012, 2, 33. [Google Scholar] [CrossRef] [PubMed]
- Balachandran, V.; Parimala, K. Vanillin and Isovanillin: Comparative Vibrational Spectroscopic Studies, Conformational Stability and NLO Properties by Density Functional Theory Calculations. Spectrochim. Acta Part A Mol. Biomol. Spectrosc. 2012, 95, 354–368. [Google Scholar] [CrossRef] [PubMed]
- Xu, R.-B.; Yang, X.; Wang, J.; Zhao, H.-T.; Lu, W.-H.; Cui, J.; Cheng, C.-L.; Zou, P.; Huang, W.-W.; Wang, P.; et al. Chemical Composition and Antioxidant Activities of Three Polysaccharide Fractions from Pine Cones. Int. J. Mol. Sci. 2012, 13, 14262–14277. [Google Scholar] [CrossRef] [PubMed]
- Singh, K.; Kumar, A. Kinetics of Complex Formation of Fe(III) with Syringic Acid: Experimental and Theoretical Study. Food Chem. 2018, 265, 96–100. [Google Scholar] [CrossRef] [PubMed]
- Wang, Y.-J.; Yao, S.-J.; Guan, Y.-X.; Wu, T.-X.; Kennedy, J.F. A Novel Process for Preparation of (1→3)-β-d-Glucan Sulphate by a Heterogeneous Reaction and Its Structural Elucidation. Carbohydr. Polym. 2005, 59, 93–99. [Google Scholar] [CrossRef]
- Newman, D.J.; Cragg, G.M.; Snader, K.M. Natural Products as Sources of New Drugs over the Period 1981−2002. J. Nat. Prod. 2003, 66, 1022–1037. [Google Scholar] [CrossRef]
- Ngo, L.T.; Okogun, J.I.; Folk, W.R. 21st Century Natural Product Research and Drug Development and Traditional Medicines. Nat. Prod. Rep. 2013, 30, 584–592. [Google Scholar] [CrossRef]
- Yuan, H.; Ma, Q.; Ye, L.; Piao, G. The Traditional Medicine and Modern Medicine from Natural Products. Molecules 2016, 21, 559. [Google Scholar] [CrossRef]
- Beekman, A.M.; Barrow, R.A. Fungal Metabolites as Pharmaceuticals. Aust. J. Chem. 2014, 67, 827–843. [Google Scholar] [CrossRef]
- Pagare, S.; Bhatia, M.; Tripathi, N.; Pagare, S.; Bansal, Y.K. Secondary Metabolites of Plants and Their Role: Overview. Curr. Trends Biotechnol. Pharm. 2015, 9, 293–304. [Google Scholar]
- Jamshidi-Kia, F.; Lorigooini, Z.; Amini-Khoei, H. Medicinal Plants: Past History and Future Perspective. J. Herbmed Pharmacol. 2018, 7. [Google Scholar] [CrossRef]
- Roy, S.; Saha, S.; Pal, P. Insect Natural Products as Potential Source for Alternative Medicines-A Review. World Sci. News 2015, 19, 80–94. [Google Scholar]
- Schoenian, I.; Spiteller, M.; Ghaste, M.; Wirth, R.; Herz, H.; Spiteller, D.; Meinwald, J. Chemical Basis of the Synergism and Antagonism in Microbial Communities in the Nests of Leaf-Cutting Ants. Proc. Natl. Acad. Sci. USA 2011, 108, 1955–1960. [Google Scholar] [CrossRef]
- Rajkhowa, D.; Deka, M.K. Insect-Based Medicines: A Review of Present Status and Prospects of Entomo-Therapeutic Resources for Human Ailment. Int. J. Agric. Environ. Biotechnol. 2016, 9, 1069. [Google Scholar] [CrossRef]
- Yamakawa, M. Insect antibacterial proteins: Regulatory mechanisms of their sunthesis and a possibility as new antibiotics. J. Sericultural. Sci. Jpn. 1998, 67, 163–182. [Google Scholar]
- Dawidowicz, A.L.; Czapczyńska, N.B.; Wianowska, D. The loss of essential oil components induced by the purge time in the Pressurized Liquid Extraction (PLE) procedure of Cupressus sempervirens. Talanta 2012, 94, 140–145. [Google Scholar] [CrossRef]
- Zhao, C.; Qiao, X.; Shao, Q.; Hassan, M.; Ma, Z. Evolution of the Lignin Chemical Structure during the BioethanolProduction Process and Its Inhibition to Enzymatic Hydrolysis. Energy Fuels 2020, 34, 5938–5947. [Google Scholar] [CrossRef]
- Schultz, T.R.; Brady, S.G. Major Evolutionary Transitions in Ant Agriculture. Proc. Natl. Acad. Sci. USA 2008, 105, 5435–5440. [Google Scholar] [CrossRef]
- Aanen, D.K.; Boomsma, J.J. Social-Insect Fungus Farming. Curr. Biol. 2006, 16, R1014–R1016. [Google Scholar] [CrossRef][Green Version]
- Currie, C.R.; Wong, B.; Stuart, A.E.; Schultz, T.R.; Rehner, S.A.; Mueller, U.G.; Sung, G.-H.; Spatafora, J.W.; Straus, N.A. Ancient Tripartite Coevolution in the Attine Ant-Microbe Symbiosis. Science 2003, 299, 386–388. [Google Scholar] [CrossRef] [PubMed]
- Łakomy, P.; Kwaśna, H. Atlas Hub; Poradnik Leśnika; Multico Oficyna Wydawnicza: Warszawa, Poland, 2008; ISBN 978-83-7073-650-7. [Google Scholar]
- Luangharn, T.; Karunarathna, S.C.; Hyde, K.D.; Chukeatirote, E. Optimal Conditions of Mycelia Growth of Laetiporus Sulphureus Sensu Lato. Mycology 2014, 5, 221–227. [Google Scholar] [CrossRef]
- Rodrigues, A.; Bacci, M., Jr.; Mueller, U.G.; Ortiz, A.; Pagnocca, F.C. Microfungal “Weeds” in the Leafcutter Ant Symbiosis. Microb. Ecol. 2008, 56, 604–614. [Google Scholar] [CrossRef]
- Reynolds, H.T.; Currie, C.R. Pathogenicity of Escovopsis Weberi: The Parasite of the Attine Ant-Microbe Symbiosis Directly Consumes the Ant-Cultivated Fungus. Mycologia 2004, 96, 955–959. [Google Scholar] [CrossRef] [PubMed]
- Seipke, R.F.; Barke, J.; Ruiz-Gonzalez, M.X.; Orivel, J.; Yu, D.W.; Hutchings, M.I. Fungus-Growing Allomerus Ants Are Associated with Antibiotic-Producing Actinobacteria. Antonie Van Leeuwenhoek 2012, 101, 443–447. [Google Scholar] [CrossRef]
- Little, A.E.F.; Murakami, T.; Mueller, U.G.; Currie, C.R. Defending against Parasites: Fungus-Growing Ants Combine Specialized Behaviours and Microbial Symbionts to Protect Their Fungus Gardens. Biol. Lett. 2006, 2, 12–16. [Google Scholar] [CrossRef] [PubMed]
- Maschwitz, U.; Hölldobler, B. Der Kartonnestbau bei Lasius fuliginosus Latr. (Hym. Formicidae). Z. Vergl. Physiol. 1970, 66, 176–189. [Google Scholar] [CrossRef]
- Tyler, J. The Ant, the Aphid and the Fungus. Field Mycol. 2008, 1, 22–23. [Google Scholar] [CrossRef]
- Russell, J.A.; Sanders, J.G.; Moreau, C.S. Hotspots for Symbiosis: Function, Evolution, and Specificity of Ant-Microbe Associations from Trunk to Tips of the Ant Phylogeny (Hymenoptera: Formicidae). Myrmecol. News 2017, 24, 43–69. [Google Scholar]
- Dittmer, J.; van Opstal, E.J.; Shropshire, J.D.; Bordenstein, S.R.; Hurst, G.D.D.; Brucker, R.M. Disentangling a Holobiont—Recent Advances and Perspectives in Nasonia Wasps. Front. Microbiol. 2016, 7. [Google Scholar] [CrossRef]
- Staszczak, M. Proteasomal Degradation Pathways in Trametes Versicolor and Phlebia Radiata. Enzym. Microb. Technol. 2002, 30, 537–541. [Google Scholar] [CrossRef]
- Oskay, M. Effects of Some Environmental Conditions on Biomass and Antimicrobial Metabolite Production by Streptomyces Sp., KGG32. Int. J. Agric. Biol. 2011, 13, 317–324. [Google Scholar]
- Bajcar, S.; Grzegorczyk, L. Atlas Diagnostyki Zmian Barwnikowych Skóry; Wydaw. Uniwersytetu Jagiellońskiego: Kraków, Poland, 2000. [Google Scholar]
- Kramer, N.; Walzl, A.; Unger, C.; Rosner, M.; Krupitza, G.; Hengstschläger, M.; Dolznig, H. In Vitro Cell Migration and Invasion Assays. Mutat. Res. Rev. Mutat. Res. 2013, 752, 10–24. [Google Scholar] [CrossRef]
- Saxena, N.K.; Sharma, D.; Ding, X.; Lin, S.; Marra, F.; Merlin, D.; Anania, F.A. Concomitant Activation of the JAK/STAT, PI3K/AKT, and ERK Signaling Is Involved in Leptin-Mediated Promotion of Invasion and Migration of Hepatocellular Carcinoma Cells. Cancer Res. 2007, 67, 2497–2507. [Google Scholar] [CrossRef]
- Wu, N.-L.; Chiang, Y.-C.; Huang, C.-C.; Fang, J.-Y.; Chen, D.-F.; Hung, C.-F. Zeaxanthin Inhibits PDGF-BB-Induced Migration in Human Dermal Fibroblasts. Exp. Dermatol. 2010, 19, e173–e181. [Google Scholar] [CrossRef]
- Adamski, Z.; Kaszuba, A. Dermatologia dla Kosmetologów; Edra Urban & Partner: Wrocław, Poland, 2010; ISBN 978-83-7609-147-1. [Google Scholar]
- Statkiewicz, M.; Matuszewska, A.; Jaszek, M.; Janusz, G.; Osinska, M.; Sulej, J.; Stefaniuk, D.; Mikula, M.; Ostrowski, J. Antimelanomic Effects of High- and Low-Molecular Weight Bioactive Subfractions Isolated from the Mossy Maze Mushroom, Cerrena Unicolor (Agaricomycetes). IJM 2017, 19. [Google Scholar] [CrossRef]
- Schmid, B.; Tschirdewahn, B.; Kötter, I.; Günaydin, I.; Lüdtke, R.; Selbmann, H.K.; Schaffner, W.; Heide, L. Analgesic Effects of Willow Bark Extract in Osteoarthritis: Results of a Clinical Double-Blind Trial. Focus Altern. Complementary Ther. 1998, 3, 186. [Google Scholar] [CrossRef]
- Saller, R.; Melzer, J.; Felder, M.; Group, S.A.S. Pain Relief with a Proprietary Extract of Willow Bark in Rheumatology. An Open Trial. Schweiz. Z. Ganzheits Med. 2008, 20, 156. [Google Scholar] [CrossRef]
- Shara, M.; Stohs, S.J. Efficacy and Safety of White Willow Bark (Salix Alba) Extracts. Phytother. Res. 2015, 29, 1112–1116. [Google Scholar] [CrossRef]
- Zaiter, A.; Becker, L.; Petit, J.; Zimmer, D.; Karam, M.-C.; Baudelaire, É.; Scher, J.; Dicko, A. Antioxidant and Antiacetylcholinesterase Activities of Different Granulometric Classes of Salix Alba (L.) Bark Powders. Powder Technol. 2016, 301, 649–656. [Google Scholar] [CrossRef]
- Lindequist, U.; Niedermeyer, T.H.J.; Jülich, W.-D. The Pharmacological Potential of Mushrooms. Evid Based Complement. Altern. Med. 2005, 2, 285–299. [Google Scholar] [CrossRef] [PubMed]
- Zong, A.; Cao, H.; Wang, F. Anticancer Polysaccharides from Natural Resources: A Review of Recent Research. Carbohydr. Polym. 2012, 90, 1395–1410. [Google Scholar] [CrossRef] [PubMed]
- Jaszek, M.; Osińska-Jaroszuk, M.; Janusz, G.; Matuszewska, A.; Stefaniuk, D.; Sulej, J.; Polak, J.; Ruminowicz, M.; Grzywnowicz, K.; Jarosz-Wilkołazka, A. New Bioactive Fungal Molecules with High Antioxidant and Antimicrobial Capacity Isolated from Cerrena Unicolor Idiophasic Cultures. Biomed. Res. Int. 2013, 2013, 497492. [Google Scholar] [CrossRef]
- Jung, J.-Y.; Lee, I.-K.; Seok, S.-J.; Lee, H.-J.; Kim, Y.-H.; Yun, B.-S. Antioxidant Polyphenols from the Mycelial Culture of the Medicinal Fungi Inonotus Xeranticus and Phellinus Linteus. J. Appl. Microbiol. 2008, 104, 1824–1832. [Google Scholar] [CrossRef]
- Xu, Z.; Chen, X.; Zhong, Z.; Chen, L.; Wang, Y. Ganoderma Lucidum Polysaccharides: Immunomodulation and Potential Anti-Tumor Activities. Am. J. Chin. Med. 2011, 39, 15–27. [Google Scholar] [CrossRef]
- Mizerska-Dudka, M.; Jaszek, M.; Błachowicz, A.; Rejczak, T.P.; Matuszewska, A.; Osińska-Jaroszuk, M.; Stefaniuk, D.; Janusz, G.; Sulej, J.; Kandefer-Szerszeń, M. Fungus Cerrena Unicolor as an Effective Source of New Antiviral, Immunomodulatory, and Anticancer Compounds. Int. J. Biol. Macromol. 2015, 79, 459–468. [Google Scholar] [CrossRef]
- Matuszewska, A.; Jaszek, M.; Stefaniuk, D.; Ciszewski, T.; Matuszewski, Ł. Anticancer, Antioxidant, and Antibacterial Activities of Low Molecular Weight Bioactive Subfractions Isolated from Cultures of Wood Degrading Fungus Cerrena Unicolor. PLoS ONE 2018, 13, e0197044. [Google Scholar] [CrossRef]
- Wu, H.-T.; Lu, F.-H.; Su, Y.-C.; Ou, H.-Y.; Hung, H.-C.; Wu, J.-S.; Yang, Y.-C.; Chang, C.-J. In Vivo and in Vitro Anti-Tumor Effects of Fungal Extracts. Molecules 2014, 19, 2546–2556. [Google Scholar] [CrossRef]
- Keller, A.C.; Maillard, M.P.; Hostettmann, K. Antimicrobial Steroids from the Fungus Fomitopsis Pinicola. Phytochem. 1996, 41, 1041–1046. [Google Scholar] [CrossRef]
- Chang, K.-L.; Kung, M.-L.; Chow, N.-H.; Su, S.-J. Genistein Arrests Hepatoma Cells at G2/M Phase: Involvement of ATM Activation and Upregulation of P21waf1/Cip1 and Wee1. Biochem. Pharmacol. 2004, 67, 717–726. [Google Scholar] [CrossRef]
- Kharwar, R.N.; Mishra, A.; Gond, S.K.; Stierle, A.; Stierle, D. Anticancer Compounds Derived from Fungal Endophytes: Their Importance and Future Challenges. Nat. Prod. Rep. 2011, 28, 1208–1228. [Google Scholar] [CrossRef]
- Chien, R.-C.; Lin, L.-M.; Chang, Y.-H.; Lin, Y.-C.; Wu, P.-H.; Asatiani, M.D.; Wasser, S.-G.; Krakhmalnyi, M.; Agbarya, A.; Wasser, S.P.; et al. Anti-Inflammation Properties of Fruiting Bodies and Submerged Cultured Mycelia of Culinary-Medicinal Higher Basidiomycetes Mushrooms. IJM 2016, 18. [Google Scholar] [CrossRef]
- Kuriyama, I.; Nakajima, Y.; Nishida, H.; Konishi, T.; Takeuchi, T.; Sugawara, F.; Yoshida, H.; Mizushina, Y. Inhibitory Effects of Low Molecular Weight Polyphenolics from Inonotus Obliquus on Human DNA Topoisomerase Activity and Cancer Cell Proliferation. Mol. Med. Rep. 2013, 8, 535–542. [Google Scholar] [CrossRef]
- Ünyayar, A.; Demirbilek, M.; Turkoglu, M.; Celik, A.; Mazmanci, M.A.; Erkurt, E.A.; Ünyayar, S.; Cekic, Ö.; Atacag, H. Evaluation of Cytotoxic and Mutagenic Effects of Coriolus Versicolor and Funalia Trogii Extracts on Mammalian Cells. Drug Chem. Toxicol. 2006, 29, 69–83. [Google Scholar] [CrossRef]
- Liu, Q.; Wang, H.; Ng, T.B. First Report of a Xylose-Specific Lectin with Potent Hemagglutinating, Antiproliferative and Anti-Mitogenic Activities from a Wild Ascomycete Mushroom. Biochim. Et Biophys. Acta Gen. Subj. 2006, 1760, 1914–1919. [Google Scholar] [CrossRef]
- Bulet, P.; Hetru, C.; Dimarcq, J.-L.; Hoffmann, D. Antimicrobial Peptides in Insects; Structure and Function. Dev. Comp. Immunol. 1999, 23, 329–344. [Google Scholar] [CrossRef]
- Otvos, L. Antibacterial Peptides Isolated from Insects. J. Pept. Sci. 2000, 6, 497–511. [Google Scholar] [CrossRef]
- Bulet, P.; Charlet, M.; Hetru, C. Antimicrobial Peptides in Insect Immunity. In Innate Immunity; Ezekowitz, R.A.B., Hoffmann, J.A., Eds.; Infectious Disease; Humana Press: Totowa, NJ, USA, 2003; pp. 89–107. ISBN 978-1-59259-320-0. [Google Scholar]
- Kristiansen, S.M.; Amelung, W. Abandoned Anthills of Formica Polyctena and Soil Heterogeneity in a Temperate Deciduous Forest: Morphology and Organic Matter Composition. Eur. J. Soil Sci. 2001, 52, 355–363. [Google Scholar] [CrossRef]
- Kipsanai, J.J.; Namango, S.S.; Muumbo, A.M. A Study of Selected Kenyan Anthill Clays for Production of Refractorymaterials. Int. J. Sci. Res. Publ. 2017, 7, 169–179. [Google Scholar]
- Haslam, E. Natural Polyphenols (Vegetable Tannins) as Drugs: Possible Modes of Action. J. Nat. Prod. 1996, 59, 205–215. [Google Scholar] [CrossRef] [PubMed]
- Guohua, H.; Hongyang, L.; Zhiming, J.; Danhua, Z.; Haifang, W. Study of Small-Cell Lung Cancer Cell-Based Sensor and Its Applications in Chemotherapy Effects Rapid Evaluation for Anticancer Drugs. Biosens. Bioelectron. 2017, 97, 184–195. [Google Scholar] [CrossRef] [PubMed]
- Ramasamy, S.; Bennet, D.; Kim, S. Drug and Bioactive Molecule Screening Based on a Bioelectrical Impedance Cell Culture Platform. Int. J. Nanomed. 2014, 9, 5789–5809. [Google Scholar] [CrossRef]
- Wegener, J.; Keese, C.R.; Giaever, I. Electric Cell–Substrate Impedance Sensing (ECIS) as a Noninvasive Means to Monitor the Kinetics of Cell Spreading to Artificial Surfaces. Exp. Cell Res. 2000, 259, 158–166. [Google Scholar] [CrossRef] [PubMed]
- Hofmann, U.; Michaelis, S.; Winckler, T.; Wegener, J.; Feller, K.-H. A Whole-Cell Biosensor as in Vitro Alternative to Skin Irritation Tests. Biosens. Bioelectron. 2013, 39, 156–162. [Google Scholar] [CrossRef] [PubMed]
- Coffman, F.D.; Cohen, S. Impedance Measurements in the Biomedical Sciences. Anal. Cell. Pathol. 2012, 35, 363–374. [Google Scholar] [CrossRef]
- Dubois, M.; Gilles, K.A.; Hamilton, J.K.; Rebers, P.T.; Smith, F. Colorimetric Method for Determination of Sugars and Related Substances. Anal. Chem. 1956, 28, 350–356. [Google Scholar] [CrossRef]
- Bradford, M.M. A Rapid and Sensitive Method for the Quantitation of Microgram Quantities of Protein Utilizing the Principle of Protein-Dye Binding. Anal. Biochem. 1976, 72, 248–254. [Google Scholar] [CrossRef]
- Malarczyk, E. Transformation of Phenolic Acids by Nocardia. Acta Microbiol. Pol. 1989, 38, 45–53. [Google Scholar]
- Paździoch-Czochra, M.; Malarczyk, E.; Sielewiesiuk, J. Relationship of Demethylation Processes to Veratric Acid Concentration and Cell Density in Cultures of Rhodococcus Erythropolis. Cell Biol. Int. 2003, 27, 325–336. [Google Scholar] [CrossRef]
- Paduch, R.; Matysik, G.; Wójciak-Kosior, M.; Kandefer-Szerszen, M.; Skalska-Kaminska, A.; Nowak-Kryska, M.; Niedziela, P. Lamium Album Extracts Express Free Radical Scavenging and Cytotoxic Activities. Pol. J. Envinon. Stud. 2008, 17, 569–580. [Google Scholar]
- Van den Berg, R.; Haenen, G.R.M.M.; van den Berg, H.; Bast, A. Applicability of an Improved Trolox Equivalent Antioxidant Capacity (TEAC) Assay for Evaluation of Antioxidant Capacity Measurements of Mixtures. Food Chem. 1999, 66, 511–517. [Google Scholar] [CrossRef]
- Duo-Chuan, L. Review of Fungal Chitinases. Mycopathologia 2006, 161, 345–360. [Google Scholar] [CrossRef]
- Re, R.; Pellegrini, N.; Proteggente, A.; Pannala, A.; Yang, M.; Rice-Evans, C. Antioxidant Activity Applying an Improved ABTS Radical Cation Decolorization Assay. Free Radic. Biol. Med. 1999, 26, 1231–1237. [Google Scholar] [CrossRef]
- Schnürer, J.; Rosswall, T. Fluorescein Diacetate Hydrolysis as a Measure of Total Microbial Activity in Soil and Litter. Appl. Environ. Microbiol. 1982, 43, 1256–1261. [Google Scholar] [CrossRef]
- Mosmann, T. Rapid Colorimetric Assay for Cellular Growth and Survival: Application to Proliferation and Cytotoxicity Assays. J. Immunol. Methods 1983, 65, 55–63. [Google Scholar] [CrossRef]
- Van de Loosdrecht, A.A.; Beelen, R.H.J.; Ossenkoppele, G.J.; Broekhoven, M.G.; Langenhuijsen, M.M.A.C. A Tetrazolium-Based Colorimetric MTT Assay to Quantitate Human Monocyte Mediated Cytotoxicity against Leukemic Cells from Cell Lines and Patients with Acute Myeloid Leukemia. J. Immunol. Methods 1994, 174, 311–320. [Google Scholar] [CrossRef]





| E1 | E2 | E3 | E4 | E5 | E6 | |
|---|---|---|---|---|---|---|
| Protein (μg/mL) | 92.20 (12.4) a | 78.90 (13.18) a | 79.89 (12.34) a | 27.13 (2.13) b | 83.30 (3.85) a | 97.65 (6.72) a |
| Total phenolic compounds (mM) | 0.13 (0.00) a | 0.20 (0.04) b | 0.14 (0.03) c | 0.05 (0.00) d | 0.14 (0.02) c | 0.11 (0.01) e |
| Total carbohydrates (μg/mL) | 145.07 (38.5) a | 241.87 (60.63) a | 162.46 (27.14) a | 144.60 (30.51) a | 144.01 (27.6) a | 172.2 (26.44) a |
| Relative level of free radicals (absorbance 560 nm) | 0.54 (0.04) a | 0.44 (0.06) a | 0.24 (0.05) b | 0.10 (0.02) c | 0.54 (0.03) a | 0.27 (0.4) b |
| Total microbial activity (mg/kg/h) | 0.42 (0.00) a | 0.38 (0.00) b | 0.57 (0.01) c | 0.56 (0.01) c | 0.47 (0.01) d | 0.62 (0.03) e |
| ABTS radical-scavenging (μg/mL ascorbic acid equivalent) | 188.96 (3.01) a | 313.67 (3.35) b | 164.69 (17.63) a | 96.12 (7.27) c | 70.97 (3.58) d | 132.15 (9.31) e |
| DPPH radical-scavenging (μg/mL ascorbic acid equivalent) | 176.42 (1.42) a | 202.66 (6.01) b | 128.80 (2.36) c | 98.75 (9.2) d | 146.24 (1.36) e | 150.05 6.92) e |
| Sample | E1 | E2 | E3 | E4 | E5 | E6 |
|---|---|---|---|---|---|---|
| IC50 [µg/mL] | ||||||
| VERO | - | - | 2034 | - | - | - |
| A-375 | 77.17 | 123.5 | 90.75 | 0.01 | 63.92 | 607.5 |
| Extract | Description of Habitat Conditions |
|---|---|
| E1 | The samples were obtained from a pedunculate oak (Quercus robur) situated in dry mixed forest; the ant nest was in a hollow. This solitary tree was growing in a quite fertile, fairly moist, dense tree nursery–scrub with birch, aspen, and oak undergrowth. The oak tree in question was alive, but with rotting heartwood. The hollow was a longitudinal section of rotting wood at the base of the trunk, closed off from above by live tissue, tapering upwards from the base, where it was at its widest ca. 60 cm; the crevice was more than 1 m in overall height. |
| E2 | The source of the biological material was a white willow (Salix alba) in a riparian poplar-willow forest in the valley of the River Wieprz; the ant nest was in a tree hollow. The willow was growing in very dense scrub passing into riparian forest; immediately adjacent were hazel (Corylus avellana) and elder (Sambucus nigra). The tree was alive, partially pollarded; the trunk had a large open hollow with rotting wood extending from the trunk base to a height of ca. 1.5 m above the ground; inside, the hollow was partially empty, but the upper rear part was filled with decaying wood and a large jet black ant nest. |
| E3 | The nest was located in a hollow in a crack willow (Salix fragilis), in the valley of the River Wieprz. The willow was growing by a dirt road leading to the river; the adjacent scrub on the moist substrate of the valley was overgrown with hop (Humulus lupulus), with numerous white and crack willows nearby. The tree was bent, parts of it were dead, the trunk was covered with fruiting bodies of Phellinus polypores, and mistletoe (Viscum album) was growing on the branches. The hollow containing the nest extended more or less from the base of the trunk to a height of ca. 1 m, tapering upwards. |
| E4 | The samples were obtained from a silver birch (Betula pendula) in mixed woodland; the nest was a subterranean one. The tree was growing in a low-density stand of mixed woodland with pedunculate oak, Scots pine (Pinus sylvestris) and birch, with hazel and alder buckthorn (Frangula alnus) in the underbrush, and a young pedunculate oak in the immediate vicinity. The subterranean nest was situated in a crevice between the tree’s roots some 30 cm from the trunk base; the opening of the crevice was ca. 20 cm in diameter, and overlain with twigs and leaf litter; this was removed while the sampling material was being collected, then replaced. |
| E5 | The ant nest that was the source of the biological material was located in a hollow of a silver birch (Betula pendula) in an oak-hornbeam forest near Lake Długie. The tree, now dead, had stood at the edge of an oak-hornbeam forest, near a woodland bog. The hollow leading to the ants’ nest was at a height of ca. 80 cm above the ground. The birch had been blown down during an autumn storm, so a large amount of material could be collected. On the day the material was sampled, there were no ants in the nest. |
| E6 | The samples were obtained from a crack willow (Salix fragilis) in a riparian poplar-willow forest in the valley of the River Wieprz; the nest was situated in a tree hollow. This solitary tree was growing in alluvial scrub in the close vicinity of a riparian forest community. The hollow was at a height of ca 1.5 m above the ground, with an opening ca 10 × 15 cm; the extensive nest was visible from the exterior *. |
Publisher’s Note: MDPI stays neutral with regard to jurisdictional claims in published maps and institutional affiliations. |
© 2021 by the authors. Licensee MDPI, Basel, Switzerland. This article is an open access article distributed under the terms and conditions of the Creative Commons Attribution (CC BY) license (https://creativecommons.org/licenses/by/4.0/).
Share and Cite
Wagner, G.K.; Jaszek, M.; Staniec, B.; Prendecka, M.; Pigoń, D.; Belcarz, A.; Stefaniuk, D.; Matuszewska, A.; Pietrykowska-Tudruj, E.; Zagaja, M. Lasius fuliginosus Nest Carton as a Source of New Promising Bioactive Extracts with Chemopreventive Potential. Int. J. Mol. Sci. 2021, 22, 4392. https://doi.org/10.3390/ijms22094392
Wagner GK, Jaszek M, Staniec B, Prendecka M, Pigoń D, Belcarz A, Stefaniuk D, Matuszewska A, Pietrykowska-Tudruj E, Zagaja M. Lasius fuliginosus Nest Carton as a Source of New Promising Bioactive Extracts with Chemopreventive Potential. International Journal of Molecular Sciences. 2021; 22(9):4392. https://doi.org/10.3390/ijms22094392
Chicago/Turabian StyleWagner, Grzegorz Karol, Magdalena Jaszek, Bernard Staniec, Monika Prendecka, Dominika Pigoń, Anna Belcarz, Dawid Stefaniuk, Anna Matuszewska, Ewa Pietrykowska-Tudruj, and Mirosław Zagaja. 2021. "Lasius fuliginosus Nest Carton as a Source of New Promising Bioactive Extracts with Chemopreventive Potential" International Journal of Molecular Sciences 22, no. 9: 4392. https://doi.org/10.3390/ijms22094392
APA StyleWagner, G. K., Jaszek, M., Staniec, B., Prendecka, M., Pigoń, D., Belcarz, A., Stefaniuk, D., Matuszewska, A., Pietrykowska-Tudruj, E., & Zagaja, M. (2021). Lasius fuliginosus Nest Carton as a Source of New Promising Bioactive Extracts with Chemopreventive Potential. International Journal of Molecular Sciences, 22(9), 4392. https://doi.org/10.3390/ijms22094392

