Citric Acid Cycle Metabolites Predict Infarct Size in Pigs Submitted to Transient Coronary Artery Occlusion and Treated with Succinate Dehydrogenase Inhibitors or Remote Ischemic Perconditioning
Abstract
1. Introduction
2. Results
2.1. Ischemia-Reperfusion Injury
2.1.1. Hemodynamic Variables, LAD Coronary Blood Flow and Regional Myocardial Contractility
2.1.2. Infarct Size
2.1.3. Reperfusion Arrhythmias
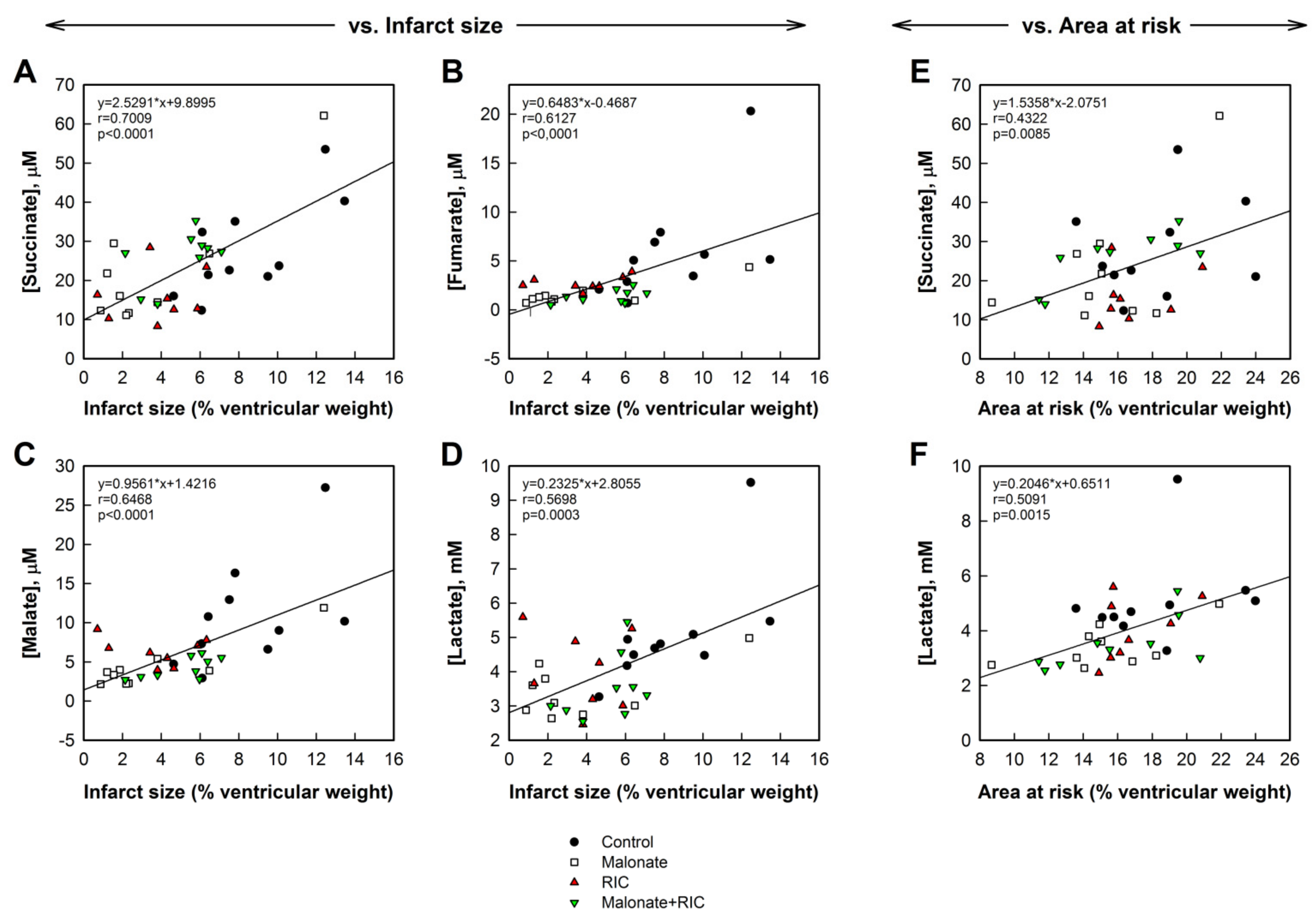
2.2. Targeted LC-MS/MS Analysis of Citric Acid Cycle Metabolites in Porcine Plasma Samples
3. Discussion
3.1. Cardioprotection by SDH Inhibition and RIC
3.2. Targeted Analysis of Citric Acid Cycle Metabolites by LC-MS/MS
4. Materials and Methods
4.1. Animals and Instrumentation
4.2. Regional Myocardial Function
4.3. Study Protocols
4.4. Area at Risk and Infarct Size
4.5. Reperfusion Arrhythmias
4.6. Targeted LC-MS/MS Analysis of Citric Acid Cycle Metabolites in Porcine Plasma Samples
4.7. Statistical Analysis
5. Conclusions
Author Contributions
Funding
Institutional Review Board Statement
Informed Consent Statement
Data Availability Statement
Conflicts of Interest
References
- Virani, S.S.; Alonso, A.; Benjamin, E.J.; Bittencourt, M.S.; Callaway, C.W.; Carson, A.P.; Chamberlain, A.M.; Chang, A.R.; Cheng, S.; Delling, F.N.; et al. Heart Disease and Stroke Statistics—2020 Update: A Report from the American Heart Association. Circulation 2020, 141, e139–e596. [Google Scholar] [CrossRef] [PubMed]
- Jernberg, T.; Hasvold, P.; Henriksson, M.; Hjelm, H.; Thuresson, M.; Janzon, M. Cardiovascular risk in post-myocardial infarction patients: Nationwide real world data demonstrate the importance of a long-term perspective. Eur. Heart J. 2015, 36, 1163–1170. [Google Scholar] [CrossRef]
- Garcia-Dorado, D.; Ruiz-Meana, M.; Piper, H.M. Lethal reperfusion injury in acute myocardial infarction: Facts and unresolved issues. Cardiovasc. Res. 2009, 83, 165–168. [Google Scholar] [CrossRef] [PubMed]
- Hausenloy, D.J.; Yellon, D.M. Myocardial ischemia-reperfusion injury: A neglected therapeutic target. J. Clin. Investig. 2013, 123, 92–100. [Google Scholar] [CrossRef] [PubMed]
- Dirksen, M.T.; Simoons, M.L.; Duncker, D.J.; Laarman, G.J. Reperfusion injury in humans: A review of clinical trials on reperfusion injury inhibitory strategies. Cardiovasc. Res. 2007, 74, 343–355. [Google Scholar] [CrossRef] [PubMed]
- Ferdinandy, P.; Hausenloy, D.J.; Heusch, G.; Baxter, G.F.; Schulz, R. Interaction of Risk Factors, Comorbidities, and Comedications with Ischemia/Reperfusion Injury and Cardioprotection by Preconditioning, Postconditioning, and Remote Conditioning. Pharmacol. Rev. 2014, 66, 1142–1174. [Google Scholar] [CrossRef] [PubMed]
- Chouchani, E.T.; Pell, V.R.; Gaude, E.; Aksentijević, D.; Sundier, S.Y.; Robb, E.L.; Logan, A.; Nadtochiy, S.M.; Ord, E.N.; Smith, A.C.; et al. Ischaemic accumulation of succinate controls reperfusion injury through mitochondrial ROS. Nature 2014, 515, 431–435. [Google Scholar] [CrossRef] [PubMed]
- Valls-Lacalle, L.; Barba, I.; Miró-Casas, E.; Alburquerque-Béjar, J.J.; Ruiz-Meana, M.; Fuertes-Agudo, M.; Rodríguez-Sinovas, A.; García-Dorado, D. Succinate dehydrogenase inhibition with malonate during reperfusion reduces infarct size by preventing mitochondrial permeability transition. Cardiovasc. Res. 2015, 109, 374–384. [Google Scholar] [CrossRef]
- Pell, V.R.; Chouchani, E.T.; Frezza, C.; Murphy, M.P.; Krieg, T. Succinate metabolism: A new therapeutic target for myocardial reperfusion injury. Cardiovasc. Res. 2016, 111, 134–141. [Google Scholar] [CrossRef]
- Quinlan, C.L.; Orr, A.L.; Perevoshchikova, I.V.; Treberg, J.R.; Ackrell, B.A.; Brand, M.D. Mitochondrial Complex II Can Generate Reactive Oxygen Species at High Rates in Both the Forward and Reverse Reactions. J. Biol. Chem. 2012, 287, 27255–27264. [Google Scholar] [CrossRef]
- Robb, E.L.; Hall, A.R.; Prime, T.A.; Eaton, S.; Szibor, M.; Viscomi, C.; James, A.M.; Murphy, M.P. Control of mitochondrial superoxide production by reverse electron transport at complex I. J. Biol. Chem. 2018, 293, 9869–9879. [Google Scholar] [CrossRef]
- Valls-Lacalle, L.; Barba, I.; Miró-Casas, E.; Ruiz-Meana, M.; Rodríguez-Sinovas, A.; Garcia-Dorado, D. Selective Inhibition of Succinate Dehydrogenase in Reperfused Myocardium with Intracoronary Malonate Reduces Infarct Size. Sci. Rep. 2018, 8, 2442. [Google Scholar] [CrossRef]
- Davidson, S.M.; Ferdinandy, P.; Andreadou, I.; Bøtker, H.E.; Heusch, G.; Ibáñez, B.; Ovize, M.; Schulz, R.; Yellon, D.M.; Hausenloy, D.J.; et al. Multitarget Strategies to Reduce Myocardial Ischemia/Reperfusion Injury. J. Am. Coll. Cardiol. 2019, 73, 89–99. [Google Scholar] [CrossRef]
- Alburquerque-Béjar, J.J.; Barba, I.; Inserte, J.; Miró-Casas, E.; Ruiz-Meana, M.; Poncelas, M.; Vilardosa, Ú.; Valls-Lacalle, L.; Rodríguez-Sinovas, A.; Garcia-Dorado, D. Combination therapy with remote ischaemic conditioning and insulin or exenatide enhances infarct size limitation in pigs. Cardiovasc. Res. 2015, 107, 246–254. [Google Scholar] [CrossRef]
- Alburquerque-Béjar, J.J.; Barba, I.; Ruiz-Meana, M.; Valls-Lacalle, L.; Rodríguez-Sinovas, A.; García-Dorado, D. Additive Effects of Exenatide, Glucose-insulin-potassium, and Remote Ischemic Conditioning Against Reperfusion Ventricular Arrhythmias in Pigs. Rev. Esp. Cardiol. 2016, 69, 620–622. [Google Scholar] [CrossRef]
- Hausenloy, D.J.; Yellon, D.M. Ischaemic conditioning and reperfusion injury. Nat. Rev. Cardiol. 2016, 13, 193–209. [Google Scholar] [CrossRef]
- Schmidt, M.R.; Redington, A.; Bøtker, H.E. Remote conditioning the heart overview: Translatability and mechanism. Br. J. Pharmacol. 2015, 172, 1947–1960. [Google Scholar] [CrossRef]
- Heusch, G.; Bøtker, H.E.; Przyklenk, K.; Redington, A.; Yellon, D. Remote Ischemic Conditioning. J. Am. Coll. Cardiol. 2015, 65, 177–195. [Google Scholar] [CrossRef] [PubMed]
- Przyklenk, K.; Bauer, B.; Ovize, M.; Kloner, R.A.; Whittaker, P. Regional ischemic ’preconditioning’ protects remote virgin myocardium from subsequent sustained coronary occlusion. Circulation 1993, 87, 893–899. [Google Scholar] [CrossRef]
- Schmidt, M.R.; Smerup, M.; Konstantinov, I.E.; Shimizu, M.; Li, J.; Cheung, M.; White, P.A.; Kristiansen, S.B.; Sorensen, K.; Dzavik, V.; et al. Intermittent peripheral tissue ischemia during coronary ischemia reduces myocardial infarction through a KATP-dependent mechanism: First demonstration of remote ischemic perconditioning. Am. J. Physiol. Circ. Physiol. 2007, 292, H1883–H1890. [Google Scholar] [CrossRef]
- Bøtker, H.E.; Kharbanda, R.; Schmidt, M.R.; Bøttcher, M.; Kaltoft, A.K.; Terkelsen, C.J.; Munk, K.; Andersen, N.H.; Hansen, T.M.; Trautner, S.; et al. Remote ischaemic conditioning before hospital admission, as a complement to angioplasty, and effect on myocardial salvage in patients with acute myocardial infarction: A randomised trial. Lancet 2010, 375, 727–734. [Google Scholar] [CrossRef]
- Crimi, G.; Pica, S.; Raineri, C.; Bramucci, E.; De Ferrari, G.M.; Klersy, C.; Ferlini, M.; Marinoni, B.; Repetto, A.; Romeo, M.; et al. Remote Ischemic Post-Conditioning of the Lower Limb During Primary Percutaneous Coronary Intervention Safely Reduces Enzymatic Infarct Size in Anterior Myocardial Infarction. JACC Cardiovasc. Interv. 2013, 6, 1055–1063. [Google Scholar] [CrossRef] [PubMed]
- Kohlhauer, M.; Dawkins, S.; Costa, A.S.H.; Lee, R.; Young, T.; Pell, V.R.; Choudhury, R.P.; Banning, A.P.; Kharbanda, R.K.; Saeb-Parsy, K.; et al. Metabolomic Profiling in Acute ST-Segment–Elevation Myocardial Infarction Identifies Succinate as an Early Marker of Human Ischemia–Reperfusion Injury. J. Am. Heart Assoc. 2018, 7. [Google Scholar] [CrossRef] [PubMed]
- Zhang, J.; Wang, Y.T.; Miller, J.H.; Day, M.M.; Munger, J.C.; Brookes, P.S. Accumulation of Succinate in Cardiac Ischemia Primarily Occurs via Canonical Krebs Cycle Activity. Cell Rep. 2018, 23, 2617–2628. [Google Scholar] [CrossRef]
- Prag, H.A.; Gruszczyk, A.V.; Huang, M.M.; Beach, T.E.; Young, T.; Tronci, L.; Nikitopoulou, E.; Mulvey, J.F.; Ascione, R.; Hadjihambi, A.; et al. Mechanism of succinate efflux upon reperfusion of the ischaemic heart. Cardiovasc. Res. 2021, 117, 1188–1201. [Google Scholar] [CrossRef]
- Prag, H.A.; Pala, L.; Kula-Alwar, D.; Mulvey, J.F.; Luping, D.; Beach, T.E.; Booty, L.M.; Hall, A.R.; Logan, A.; Sauchanka, V.; et al. Ester Prodrugs of Malonate with Enhanced Intracellular Delivery Protect Against Cardiac Ischemia-Reperfusion Injury In Vivo. Cardiovasc. Drugs Ther. 2020, 1–13. [Google Scholar] [CrossRef]
- Jespersen, N.R.; Hjortbak, M.V.; Lassen, T.R.; Støttrup, N.B.; Johnsen, J.; Tonnesen, P.T.; Larsen, S.; Kimose, H.-H.; Bøtker, H.E. Cardioprotective effect of succinate dehydrogenase inhibition in rat hearts and human myocardium with and without diabetes mellitus. Sci. Rep. 2020, 10, 10344. [Google Scholar] [CrossRef]
- Chinopoulos, C. Succinate in ischemia: Where does it come from? Int. J. Biochem. Cell Biol. 2019, 115, 105580. [Google Scholar] [CrossRef]
- Breivik, L.; Helgeland, E.; Aarnes, E.K.; Mrdalj, J.; Jonassen, A.K. Remote postconditioning by humoral factors in effluent from ischemic preconditioned rat hearts is mediated via PI3K/Akt-dependent cell-survival signaling at reperfusion. Basic Res. Cardiol. 2010, 106, 135–145. [Google Scholar] [CrossRef]
- Turrell, H.E.; Thaitirarot, C.; Crumbie, H.; Rodrigo, G. Remote ischemic preconditioning of cardiomyocytes inhibits the mitochondrial permeability transition pore independently of reduced calcium-loading or sarcKATP channel activation. Physiol. Rep. 2014, 2. [Google Scholar] [CrossRef]
- Hausenloy, D.J.; Kharbanda, R.K.; Møller, U.K.; Ramlall, M.; Aarøe, J.; Butler, R.; Bulluck, H.; Clayton, T.; Dana, A.; Dodd, M.; et al. Effect of remote ischaemic conditioning on clinical outcomes in patients with acute myocardial infarction (CONDI-2/ERIC-PPCI): A single-blind randomised controlled trial. Lancet 2019, 394, 1415–1424. [Google Scholar] [CrossRef]
- Del Blanco, B.G.; Otaegui, I.; Rodríguez-Palomares, J.F.; Bayés-Genis, A.; Fernández-Nofrerías, E.; del Olmo, V.V.; Carrillo, X.; Ibáñez, B.; Worner, F.; Casanova, J.; et al. Effect of COMBinAtion therapy with remote ischemic conditioning and exenatide on the Myocardial Infarct size: A two-by-two factorial randomized trial (COMBAT-MI). Basic Res. Cardiol. 2021, 116, 1–12. [Google Scholar] [CrossRef]
- Kleinbongard, P.; Bøtker, H.E.; Ovize, M.; Hausenloy, D.J.; Heusch, G. Co-morbidities and co-medications as confounders of cardioprotection—Does it matter in the clinical setting? Br. J. Pharmacol. 2020, 177, 5252–5269. [Google Scholar] [CrossRef]
- Yang, X.M.; Liu, Y.; Cui, L.; Yang, X.; Liu, Y.; Tandon, N.; Kambayashi, J.; Downey, J.M.; Cohen, M.V. Platelet P2Y(1)(2) blockers confer direct postconditioning-like protection in reperfused rabbit hearts. J. Cardiovasc. Pharmacol. Ther. 2013, 18, 251–262. [Google Scholar] [CrossRef]
- Hausenloy, D.J.; Chilian, W.; Crea, F.; Davidson, S.M.; Ferdinandy, P.; Garcia-Dorado, D.; Van Royen, N.; Schulz, R.; Heusch, G. The coronary circulation in acute myocardial ischaemia/reperfusion injury: A target for cardioprotection. Cardiovasc. Res. 2019, 115, 1143–1155. [Google Scholar] [CrossRef]
- Yang, X.-M.; Cui, L.; Alhammouri, A.; Downey, J.M.; Cohen, M.V. Triple therapy greatly increases myocardial salvage during ischemia/reperfusion in the in situ rat heart. Cardiovasc. Drugs Ther. 2013, 27, 403–412. [Google Scholar] [CrossRef]
- Xin, P.; Zhu, W.; Li, J.; Ma, S.; Wang, L.; Liu, M.; Li, J.; Wei, M.; Redington, A.N. Combined local ischemic postconditioning and remote perconditioning recapitulate cardioprotective effects of local ischemic preconditioning. Am. J. Physiol. Circ. Physiol. 2010, 298, H1819–H1831. [Google Scholar] [CrossRef]
- Eitel, I.; Stiermaier, T.; Rommel, K.P.; Fuernau, G.; Sandri, M.; Mangner, N.; Linke, A.; Erbs, S.; Lurz, P.; Boudriot, E.; et al. Cardioprotection by combined intrahospital remote ischaemic perconditioning and postconditioning in ST-elevation myocardial infarction: The randomized LIPSIA CONDITIONING trial. Eur. Heart J. 2015, 36, 3049–3057. [Google Scholar] [CrossRef]
- Kohlhauer, M.; Pell, V.R.; Burger, N.; Spiroski, A.-M.; Gruszczyk, A.; Mulvey, J.F.; Mottahedin, A.; Costa, A.S.H.; Frezza, C.; Ghaleh, B.; et al. Protection against cardiac ischemia-reperfusion injury by hypothermia and by inhibition of succinate accumulation and oxidation is additive. Basic Res. Cardiol. 2019, 114, 1–9. [Google Scholar] [CrossRef]
- Hauerslev, M.; Mørk, S.R.; Pryds, K.; Contractor, H.; Hansen, J.; Jespersen, N.R.; Johnsen, J.; Heusch, G.; Kleinbongard, P.; Kharbanda, R.; et al. Influence of long-term treatment with glyceryl trinitrate on remote ischemic conditioning. Am. J. Physiol. Circ. Physiol. 2018, 315, H150–H158. [Google Scholar] [CrossRef]
- Støttrup, N.B.; Løfgren, B.; Birkler, R.D.; Nielsen, J.M.; Wang, L.; Caldarone, C.A.; Kristiansen, S.B.; Contractor, H.; Johannsen, M.; Bøtker, H.E.; et al. Inhibition of the malate–aspartate shuttle by pre-ischaemic aminooxyacetate loading of the heart induces cardioprotection. Cardiovasc. Res. 2010, 88, 257–266. [Google Scholar] [CrossRef]
- Skyschally, A.; Amanakis, G.; Neuhäuser, M.; Kleinbongard, P.; Heusch, G. Impact of electrical defibrillation on infarct size and no-reflow in pigs subjected to myocardial ischemia-reperfusion without and with ischemic conditioning. Am. J. Physiol. Circ. Physiol. 2017, 313, H871–H878. [Google Scholar] [CrossRef][Green Version]
- Andrienko, T.N.; Pasdois, P.; Pereira, G.C.; Ovens, M.J.; Halestrap, A.P. The role of succinate and ROS in reperfusion injury—A critical appraisal. J. Mol. Cell. Cardiol. 2017, 110, 1–14. [Google Scholar] [CrossRef]
- Hyldebrandt, J.A.; Støttrup, N.B.; Frederiksen, C.A.; Heiberg, J.; Birkler, R.I.D.; Johannsen, M.; Schmidt, M.R.; Ravn, H.B. Citric Acid Cycle Metabolites Predict the Severity of Myocardial Stunning and Mortality in Newborn Pigs. Pediatr. Crit. Care Med. 2016, 17, e567–e574. [Google Scholar] [CrossRef]
- Surendran, A.; Aliani, M.; Ravandi, A. Metabolomic characterization of myocardial ischemia-reperfusion injury in ST-segment elevation myocardial infarction patients undergoing percutaneous coronary intervention. Sci. Rep. 2019, 9, 1–13. [Google Scholar] [CrossRef]
- Gundogdu, G.; Senol, O.; Miloglu, F.D.; Koza, Y.; Gundogdu, F.; Hacımüftüoğlu, A.; El-Aty, A.A. Serum metabolite profiling of ST-segment elevation myocardial infarction using liquid chromatography quadrupole time-of-flight mass spectrometry. Biomed. Chromatogr. 2019, 34, e4738. [Google Scholar] [CrossRef]
- Croisille, P.; Kim, H.W.; Kim, R.J. Controversies in Cardiovascular MR Imaging: T2-weighted Imaging Should Not Be Used to Delineate the Area at Risk in Ischemic Myocardial Injury. Radiology 2012, 265, 12–22. [Google Scholar] [CrossRef] [PubMed]
- Fernández-Jiménez, R.; Barreiro-Pérez, M.; Martin-García, A.; Sánchez-González, J.; Agüero, J.; Galán-Arriola, C.; García-Prieto, J.; Díaz-Pelaez, E.; Vara, P.; Martinez, I.; et al. Dynamic Edematous Response of the Human Heart to Myocardial Infarction. Circulation 2017, 136, 1288–1300. [Google Scholar] [CrossRef] [PubMed]
- Fernández-Jiménez, R.; Galán-Arriola, C.; Sánchez-González, J.; Agüero, J.; López-Martín, G.J.; Gomez-Talavera, S.; Garcia-Prieto, J.; Benn, A.; Molina-Iracheta, A.; Barreiro-Pérez, M.; et al. Effect of Ischemia Duration and Protective Interventions on the Temporal Dynamics of Tissue Composition After Myocardial Infarction. Circ. Res. 2017, 121, 439–450. [Google Scholar] [CrossRef] [PubMed]
- Garcia-Dorado, D.; Théroux, P.; Duran, J.M.; Solares, J.; Alonso, J.; Sanz, E.; Munoz, R.; Elizaga, J.; Botas, J.; Fernandez-Avilés, F. Selective inhibition of the contractile apparatus. A new approach to modification of infarct size, infarct composition, and infarct geometry during coronary artery occlusion and reperfusion. Circulation 1992, 85, 1160–1174. [Google Scholar] [CrossRef] [PubMed]
- Garcia-Dorado, D.; Inserte, J.; Ruiz-Meana, M.; González, M.A.; Solares, J.; Juliá, M.; Barrabés, J.A.; Soler-Soler, J. Gap Junction Uncoupler Heptanol Prevents Cell-to-Cell Progression of Hypercontracture and Limits Necrosis During Myocardial Reperfusion. Circulation 1997, 96, 3579–3586. [Google Scholar] [CrossRef]







| Heart Rate (Beats/min) | Aortic Pressure (mm Hg) | LV Systolic Pressure (mm Hg) | LV End-Diastolic Pressure (mm Hg) | LV (+)dP/dt (mm Hg/s) | LV (–)dP/dt (mm Hg/s) | LAD Coronary Blood Flow (mL/min) | SS (Control) | SS (Ischemic) | ||
|---|---|---|---|---|---|---|---|---|---|---|
| Control | Baseline | 74.17 ± 12.29 | 114.97 ± 14.73 | 139.14 ± 12.59 | 6.09 ± 3.242 | 1743 ± 337 | −2803 ± 491 | 7.63 ± 1.72 | 0.17 ± 0.04 | 0.19 ± 0.08 |
| (n = 10) | 40′ isch | 82.24 ± 13.06 * | 101.97 ±1 3.67 * | 121.39 ± 21.01 * | 5.51 ± 4.07 | 1834 ± 506 | −2312 ± 507 * | 0.00 ± 0.00 * | 0.15 ± 0.05 | −0.07 ± 0.02 * |
| 2 h reperf | 106.86 ± 19.70 * | 81.39 ± 20.35 * | 93.72 ± 24.52 * | 4.21 ± 3.57 | 1407 ± 397 * | −1778 ± 644 * | 8.18 ± 5.83 | 0.11 ± 0.03 * | −0.05 ± 0.08 * | |
| Malonate | Baseline | 69.35 ± 12.21 | 104.76 ± 10.60 | 122.17 ± 16.18 | 4.28 ± 3.33 τ | 1543 ± 310 | –2263 ± 431 | 6.12 ± 2.57 | 0.16 ± 0.06 | 0.20 ± 0.05 |
| (n = 10) | 40′ isch | 76.46 ± 13.54 * | 90.38 ± 14.69 * | 105.36 ± 19.52 * | 3.81 ± 4.06 | 1432 ± 282 * | −1852 ± 387 * | 0.00 ± 0.00 * | 0.13 ± 0.05 | −0.05 ± 0.05 * |
| 2 h reperf | 82.98 ± 14.95 * | 76.64 ± 23.35 * | 85.90 ± 25.49 * | 3.06 ± 3.50 | 1164 ± 346 * | −1347 ± 563 * | 9.79 ± 6.76 | 0.12 ± 0.07 | −0.06 ± 0.06 * | |
| RIC | Baseline | 74.85 ± 12.72 | 102.56 ± 8.74 | 124.06 ± 13.61 | 8.20 ± 1.29 τ | 1522 ± 232 | −2283 ± 374 | 6.45 ± 1.67 | 0.17 ± 0.08 | 0.20 ± 0.07 |
| (n = 10) | 40′ isch | 81.35 ± 9.84 | 93.19 ± 7.42 * | 109.55 ± 11.73 * | 7.11 ± 1.72 | 1428 ± 175 | −1878 ± 286 * | 0.00 ± 0.00 * | 0.16 ± 0.05 | −0.09 ± 0.08 * |
| 2 h reperf | 85.66 ± 16.47 | 63.95 ± 23.00 * | 77.17 ± 29.59 * | 4.85 ± 2.11 * | 1152 ± 401 * | −1137 ± 664 * | 9.19 ± 5.69 | 0.13 ± 0.09 | −0.06 ± 0.08 * | |
| Malonate | Baseline | 80.59 ± 13.34 | 112.80 ± 23.53 | 138.18 ± 25.03 | 5.13 ± 2.52 | 1879 ± 492 | −2730 ± 646 | 8.82 ± 3.93 | 0.17 ± 0.08 | 0.16 ± 0.06 |
| + RIC | 40′ isch | 85.40 ± 11.96 | 98.16 ± 18.86 * | 117.95 ± 23.52 * | 5.09 ± 4.93 | 1636 ± 415 * | −2102 ± 611 * | 0.00 ± 0.00 * | 0.16 ± 0.10 | −0.06 ± 0.09 * |
| (n = 10) | 2 h reperf | 98.10 ± 20.61 | 69.41 ± 14.26 * | 80.62 ± 14.91 * | 3.77 ± 3.06 | 1204 ± 229 * | −1254 ± 539 * | 7.27 ± 2.91 | 0.13 ± 0.07 | −0.03 ± 0.07 * |
| Compound | Precursor Ion m/z | Product Ion | Cone Voltage | Collision Energy |
|---|---|---|---|---|
| Succinate | 117.10 | 73.00 | 16 | 11 |
| Succinic acid-2,2,3,3-d4 (IS) | 121.10 | 76.50 | 15 | 9 |
| Fumarate | 115.09 | 71.01 | 13 | 6 |
| Malate | 133.04 | 115.02 | 20 | 10 |
| Citrate | 191.13 | 111.00 | 18 | 10 |
| Malonate | 103.09 | 59.00 | 12 | 8 |
| Lactate | 89.11 | 43.00 | 18 | 10 |
Publisher’s Note: MDPI stays neutral with regard to jurisdictional claims in published maps and institutional affiliations. |
© 2021 by the authors. Licensee MDPI, Basel, Switzerland. This article is an open access article distributed under the terms and conditions of the Creative Commons Attribution (CC BY) license (https://creativecommons.org/licenses/by/4.0/).
Share and Cite
Consegal, M.; Núñez, N.; Barba, I.; Benito, B.; Ruiz-Meana, M.; Inserte, J.; Ferreira-González, I.; Rodríguez-Sinovas, A. Citric Acid Cycle Metabolites Predict Infarct Size in Pigs Submitted to Transient Coronary Artery Occlusion and Treated with Succinate Dehydrogenase Inhibitors or Remote Ischemic Perconditioning. Int. J. Mol. Sci. 2021, 22, 4151. https://doi.org/10.3390/ijms22084151
Consegal M, Núñez N, Barba I, Benito B, Ruiz-Meana M, Inserte J, Ferreira-González I, Rodríguez-Sinovas A. Citric Acid Cycle Metabolites Predict Infarct Size in Pigs Submitted to Transient Coronary Artery Occlusion and Treated with Succinate Dehydrogenase Inhibitors or Remote Ischemic Perconditioning. International Journal of Molecular Sciences. 2021; 22(8):4151. https://doi.org/10.3390/ijms22084151
Chicago/Turabian StyleConsegal, Marta, Norberto Núñez, Ignasi Barba, Begoña Benito, Marisol Ruiz-Meana, Javier Inserte, Ignacio Ferreira-González, and Antonio Rodríguez-Sinovas. 2021. "Citric Acid Cycle Metabolites Predict Infarct Size in Pigs Submitted to Transient Coronary Artery Occlusion and Treated with Succinate Dehydrogenase Inhibitors or Remote Ischemic Perconditioning" International Journal of Molecular Sciences 22, no. 8: 4151. https://doi.org/10.3390/ijms22084151
APA StyleConsegal, M., Núñez, N., Barba, I., Benito, B., Ruiz-Meana, M., Inserte, J., Ferreira-González, I., & Rodríguez-Sinovas, A. (2021). Citric Acid Cycle Metabolites Predict Infarct Size in Pigs Submitted to Transient Coronary Artery Occlusion and Treated with Succinate Dehydrogenase Inhibitors or Remote Ischemic Perconditioning. International Journal of Molecular Sciences, 22(8), 4151. https://doi.org/10.3390/ijms22084151

