Adverse Prognostic Impact of the KIT D816V Transcriptional Activity in Advanced Systemic Mastocytosis
Abstract
1. Introduction
2. Results
2.1. Patients’ Characteristics
2.2. Assessment of Analytical Sensitivity, Specificity and Reproducibility of the dPCR Assay
2.3. Inter-Laboratory Round-Robin Test
2.4. Comparison of VAF between PB and BM
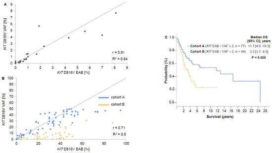
2.5. Comparison between EAB and VAF
2.6. Disease Characteristics in Cohorts A and B
2.7. Prognostic Value of EAB, VAF and EAB/VAF Ratio
3. Discussion
4. Material and Methods
4.1. Patients and Samples
4.2. RNA-Based Assessment of KIT D816V
4.3. DNA-Based Assessment of KIT D816V
4.3.1. Chip-Based Digital PCR.
4.3.2. Droplet Digital PCR.
4.3.3. Quantitative Real-Time PCR.
4.3.4. Round-Robin Test for Various DNA-Based PCR Platforms
4.3.5. Statistical Analysis
Author Contributions
Funding
Institutional Review Board Statement
Informed Consent Statement
Data Availability Statement
Acknowledgments
Conflicts of Interest
Appendix A

References
- Arber, D.A.; Orazi, A.; Hasserjian, R.; Thiele, J.; Borowitz, M.J.; Le Beau, M.M.; Bloomfield, C.D.; Cazzola, M.; Vardiman, J.W. The 2016 revision to the World Health Organization classification of myeloid neoplasms and acute leukemia. Blood 2016, 127, 2391–2405. [Google Scholar] [CrossRef]
- Pardanani, A. Systemic mastocytosis in adults: 2019 update on diagnosis, risk stratification and management. Am. J. Hematol. 2019, 94, 363–377. [Google Scholar] [CrossRef]
- Valent, P.; Akin, C.; Metcalfe, D.D. Mastocytosis: 2016 updated WHO classification and novel emerging treatment concepts. Blood 2017, 129, 1420–1427. [Google Scholar] [CrossRef]
- Jawhar, M.; Schwaab, J.; Álvarez-Twose, I.; Shoumariyeh, K.; Naumann, N.; Lübke, J.; Perkins, C.; Muñoz-González, J.I.; Meggendorfer, M.; Kennedy, V.; et al. MARS: Mutation-Adjusted Risk Score for Advanced Systemic Mastocytosis. J. Clin. Oncol. 2019, 37, 2846–2856. [Google Scholar] [CrossRef]
- Jawhar, M.; Schwaab, J.; Hausmann, D.; Clemens, J.; Naumann, N.; Henzler, T.; Horny, H.P.; Sotlar, K.; Schoenberg, S.O.; Cross, N.C.; et al. Splenomegaly, elevated alkaline phosphatase and mutations in the SRSF2/ASXL1/RUNX1 gene panel are strong adverse prognostic markers in patients with systemic mastocytosis. Leukemia 2016, 30, 2342–2350. [Google Scholar] [CrossRef] [PubMed]
- Jawhar, M.; Schwaab, J.; Schnittger, S.; Meggendorfer, M.; Pfirrmann, M.; Sotlar, K.; Horny, H.P.; Metzgeroth, G.; Kluger, S.; Naumann, N.; et al. Additional mutations in SRSF2, ASXL1 and/or RUNX1 identify a high-risk group of patients with KIT D816V(+) advanced systemic mastocytosis. Leukemia 2016, 30, 136–143. [Google Scholar] [CrossRef]
- Sperr, W.R.; Kundi, M.; Alvarez-Twose, I.; van Anrooij, B.; Oude Elberink, J.N.G.; Gorska, A.; Niedoszytko, M.; Gleixner, K.V.; Hadzijusufovic, E.; Zanotti, R.; et al. International prognostic scoring system for mastocytosis (IPSM): A retrospective cohort study. Lancet Haematol. 2019, 6, e638–e649. [Google Scholar] [CrossRef]
- Jawhar, M.; Schwaab, J.; Naumann, N.; Horny, H.P.; Sotlar, K.; Haferlach, T.; Metzgeroth, G.; Fabarius, A.; Valent, P.; Hofmann, W.K.; et al. Response and progression on midostaurin in advanced systemic mastocytosis: KIT D816V and other molecular markers. Blood 2017, 130, 137–145. [Google Scholar] [CrossRef] [PubMed]
- Lübke, J.; Naumann, N.; Kluger, S.; Schwaab, J.; Metzgeroth, G.; Evans, E.; Gardino, A.K.; Lengauer, C.; Hofmann, W.K.; Fabarius, A.; et al. Inhibitory effects of midostaurin and avapritinib on myeloid progenitors derived from patients with KIT D816V positive advanced systemic mastocytosis. Leukemia 2019, 33, 1195–1205. [Google Scholar] [CrossRef]
- Greiner, G.; Gurbisz, M.; Ratzinger, F.; Witzeneder, N.; Simonitsch-Klupp, I.; Mitterbauer-Hohendanner, G.; Mayerhofer, M.; Müllauer, L.; Sperr, W.R.; Valent, P.; et al. Digital PCR: A Sensitive and Precise Method for KIT D816V Quantification in Mastocytosis. Clin. Chem. 2018, 64, 547–555. [Google Scholar] [CrossRef]
- Tan, Y.; Liu, Z.; Wang, W.; Zhu, G.; Guo, J.; Chen, X.; Zheng, C.; Xu, Z.; Chang, J.; Ren, F.; et al. Monitoring of clonal evolution of double C-KIT exon 17 mutations by Droplet Digital PCR in patients with core-binding factor acute myeloid leukemia. Leuk. Res. 2018, 69, 89–93. [Google Scholar] [CrossRef] [PubMed]
- De Matteis, G.; Zanotti, R.; Colarossi, S.; De Benedittis, C.; Garcia-Montero, A.; Bonifacio, M.; Sartori, M.; Aprili, F.; Caruso, B.; Paviati, E.; et al. The impact of sensitive KIT D816V detection on recognition of indolent Systemic Mastocytosis. Leuk. Res. 2015, 39, 273–278. [Google Scholar] [CrossRef] [PubMed]
- Erben, P.; Schwaab, J.; Metzgeroth, G.; Horny, H.P.; Jawhar, M.; Sotlar, K.; Fabarius, A.; Teichmann, M.; Schneider, S.; Ernst, T.; et al. The KIT D816V expressed allele burden for diagnosis and disease monitoring of systemic mastocytosis. Ann. Hematol. 2014, 93, 81–88. [Google Scholar] [CrossRef] [PubMed]
- Hoermann, G.; Gleixner, K.V.; Dinu, G.E.; Kundi, M.; Greiner, G.; Wimazal, F.; Hadzijusufovic, E.; Mitterbauer, G.; Mannhalter, C.; Valent, P.; et al. The KIT D816V allele burden predicts survival in patients with mastocytosis and correlates with the WHO type of the disease. Allergy 2014, 69, 810–813. [Google Scholar] [CrossRef]
- Kristensen, T.; Vestergaard, H.; Bindslev-Jensen, C.; Møller, M.B.; Broesby-Olsen, S. Clinical validation of a new commercial highly sensitive KIT D816V mutation analysis in mastocytosis. Allergy 2020, 75, 1489–1491. [Google Scholar] [CrossRef] [PubMed]
- Kristensen, T.; Vestergaard, H.; Møller, M.B. Improved detection of the KIT D816V mutation in patients with systemic mastocytosis using a quantitative and highly sensitive real-time qPCR assay. J. Mol. Diagn. 2011, 13, 180–188. [Google Scholar] [CrossRef] [PubMed]
- Forootan, A.; Sjöback, R.; Björkman, J.; Sjögreen, B.; Linz, L.; Kubista, M. Methods to determine limit of detection and limit of quantification in quantitative real-time PCR (qPCR). Biomol. Detect. Quantif. 2017, 12, 1–6. [Google Scholar] [CrossRef]
- Grohmann, L.; Broll, H.; Dagand, E.; Hildebrandt, S.; Hübert, P.; Kiesecker, H.; Lieske, K.; Mäde, D.; Mankertz, D.; Reiting, D.; et al. Guidelines for the Single-Laboratory Validation of Qualitative Real-Time PCR Methods; Federal Office of Consumer Protection and Food Safety: Braunschweig, Germany, 2016.
- Kristensen, T.; Broesby-Olsen, S.; Vestergaard, H.; Bindslev-Jensen, C.; Møller, M.B. Comparison of gDNA-based versus mRNA-based KIT D816V mutation analysis reveals large differences between blood and bone marrow in systemic mastocytosis. Br. J. Haematol. 2017, 178, 330–332. [Google Scholar] [CrossRef]
- Fantasia, F.; Di Capua, E.N.; Cenfra, N.; Pessina, G.; Mecarocci, S.; Rago, A.; Cotroneo, E.; Busanello, A.; Equitani, F.; Lo-Coco, F.; et al. A highly specific q-RT-PCR assay to address the relevance of the JAK2WT and JAK2V617F expression levels and control genes in Ph-negative myeloproliferative neoplasms. Ann. Hematol. 2014, 93, 609–616. [Google Scholar] [CrossRef][Green Version]
- Kim, H.R.; Choi, H.J.; Kim, Y.K.; Kim, H.J.; Shin, J.H.; Suh, S.P.; Ryang, D.W.; Shin, M.G. Allelic expression imbalance of JAK2 V617F mutation in BCR-ABL negative myeloproliferative neoplasms. PLoS ONE 2013, 8, e52518. [Google Scholar] [CrossRef] [PubMed]
- Racchumi, J.; Tam, W.; Kluk, M.J. Clinical Laboratory Validation and Implementation of Quantitative, Real-Time PCR-based Monitoring of NPM1 Type A Mutation. medRxiv 2019. [Google Scholar] [CrossRef]
- Armbruster, D.A.; Pry, T. Limit of blank, limit of detection and limit of quantitation. Clin. Biochem. Rev. 2008, 29 (Suppl. S1), S49–S52. [Google Scholar]




| Variables | ISM | AdvSM | p-Value |
|---|---|---|---|
| Number of patients (n) | 40 | 121 | - |
| Age in years, median (range) | 54 (29–83) | 76 (30–90) | <0.0001 |
| Male, n (%) | 17 (43) | 81 (67) | 0.006 |
| Hemoglobin, g/dL; median (range) | 13.9 (11.7–16.8) | 10.8 (5.8–15.8) | <0.0001 |
| Platelets, ×109/L; median (range) | 283 (87–461) | 114 (12–958) | 0.0002 |
| MC-infiltration in BM histology, % | not applicable | 30 (0–100) | - |
| Serum tryptase, µg/L; median (range) | 46 (8–166) | 180 (11–1382) | <0.0001 |
| Alkaline phosphatase, U/L; median (range) | 76 (15–166) | 200 (33–1279) | <0.0001 |
| Diagnosis | |||
| ASM, n (%) | - | 18 (15) | - |
| MCL, n (%) | - | 2 (2) | - |
| SM/MCL-AHN, n (%) | - | 101 (83) | - |
| Progression to | |||
| Secondary AML, n (%) | - | 11 (61) | - |
| Secondary MCL, n (%) | - | 7 (39) | - |
| Outcome | |||
| Follow-up, years, median (range) | 5 (0–21) | 3 (0–25) | n.s. |
| Death, n (%) | 0 (100) | 60 (50) | <0.0001 |
| Overall survival, median, years | not reached | 4.8 | <0.0001 |
| Treatment | |||
| Midostaurin, n (%) | 1 (3) | 57 (47) | <0.0001 |
| Variables | KIT D816V EAB/VAF Ratio ≤ 2 (Cohort A) | KIT D816V EAB/VAF Ratio > 2 (Cohort B) | p-Value |
|---|---|---|---|
| Number of patients (n) | 77 | 44 | - |
| Age in years, median (range) | 71 (30–90) | 77 (52–88) | - |
| Male, n (%) | 49 (63) | 32 (73) | - |
| Diagnosis | |||
| ASM, n (%) | 14 (18) | 4 (11) | - |
| MCL, n (%) | 2 (3) | - | - |
| SM/MCL-AHN, n (%) | 61 (79) | 40 (90) | - |
| AHN-subtypes | |||
| MDS/MPN-u, n (%) | 18 (30) | 13 (33) | - |
| CMML, n (%) | 27 (44) | 17 (43) | - |
| MDS, n (%) | 5 (8) | 6 (15) | - |
| MPN-eo, n (%) | 1 (2) | - | |
| AML, n (%) | 1 (2) | 1 (2) | - |
| CEL, n (%) | 7 (11) | 1 (2) | - |
| PMF, n (%) | 2 (3) | 2 (5) | - |
| Progression to | |||
| AML, n (%) | 8 (10) | 3 (7) | - |
| MCL, n (%) | 6 (8) | 2 (5) | - |
| C-findings | |||
| Hemoglobin, g/dL; median (range) | 11.4 (5.8–15.8) | 9.8 (7.5–14.5) | 0.006 |
| <10 g/dL; n (%) | 20 (29) | 21 (53) | 0.01 |
| Platelets, ×109/L; median (range) | 133 (12–618) | 106 (28–958) | n.s. |
| <100 × 109/L, n (%) | 31 (44) | 19 (48) | n.s. |
| Alkaline phosphatase, U/L; median (range) | 188 (33–1206) | 303 (53–1279) | n.s. |
| >150 U/L, n (%) | 39 (57) | 31 (79) | 0.01 |
| Albumin, g/L; median (range) | 38 (16–48) | 36 (22–48) | n.s. |
| <34 g/L, n (%) | 23 (34) | 14 (40) | n.s. |
| Ascites, n (%) | 39 (53) | 25 (61) | n.s. |
| B-findings | |||
| MC-infiltration in BM histology, %; median (range) | 35 (3–95) | 30 (0–100) | n.s. |
| Serum tryptase, µg/L; median (range) | 170 (11–1382) | 211 (18–875) | n.s. |
| >100 µg/L, n (%) | 51 (73) | 28 (74) | n.s. |
| Splenomegaly, n (%) | 60 (87) | 37 (90) | n.s. |
| Hepatomegaly, n (%) | 33 (52) | 28 (72) | 0.05 |
| Additional SM and/or AHN relevant findings | |||
| Leukocytes, ×109/L; median (range) | 10.6 (5.8–79.3) | 7.6 (1.0–89.4) | n.s. |
| Monocytes, %; median (range) | 7 (1–46) | 11 (1–31) | 0.01 |
| Eosinophils, %, median (range) | 3 (0–81) | 6 (0–66) | n.s. |
| Vitamin B12, ng/L; median (range) | 1188 (114–6000) | 2842 (489–6000) | 0.02 |
| >180 ng/L, n (%) | 50 (96) | 32 (100) | n.s. |
| KIT D816V EAB in PB, %, median (range) | 30 (0–95) | 28 (2–88) | n.s. |
| KIT D816V VAF in PB, %, median (range) | 27.0 (0.0–49.8) | 4.0 (0.1–30.8) | <0.001 |
| GI-infiltration, n (%) | 30 (41) | 19 (43) | n.s. |
| S/A/R mutation(s) a, n (%) | 38 (51) | 31 (74) | 0.02 |
| Treatment | |||
| Midostaurin b, n (%) | 26 (48) | 14 (39) | n.s. |
| Cladribine b, n (%) | 6 (11) | 7 (19) | n.s. |
| Midostaurin + cladribine b, n (%) | 22 (41) | 15 (36) | n.s. |
| Response to any treatment c, n (%) | 10 (30) | 9 (45) | n.s. |
| Outcome | |||
| Follow-up, years, median (range) | 3.5 (0.0–24.6) | 2.2 (0.0–11.9) | - |
| Death, n (%) | 33 (43) | 27 (61) | - |
Publisher’s Note: MDPI stays neutral with regard to jurisdictional claims in published maps and institutional affiliations. |
© 2021 by the authors. Licensee MDPI, Basel, Switzerland. This article is an open access article distributed under the terms and conditions of the Creative Commons Attribution (CC BY) license (http://creativecommons.org/licenses/by/4.0/).
Share and Cite
Naumann, N.; Lübke, J.; Baumann, S.; Schwaab, J.; Hoffmann, O.; Kreil, S.; Dangelo, V.; Reiter, L.; Bugert, P.; Kristensen, T.; et al. Adverse Prognostic Impact of the KIT D816V Transcriptional Activity in Advanced Systemic Mastocytosis. Int. J. Mol. Sci. 2021, 22, 2562. https://doi.org/10.3390/ijms22052562
Naumann N, Lübke J, Baumann S, Schwaab J, Hoffmann O, Kreil S, Dangelo V, Reiter L, Bugert P, Kristensen T, et al. Adverse Prognostic Impact of the KIT D816V Transcriptional Activity in Advanced Systemic Mastocytosis. International Journal of Molecular Sciences. 2021; 22(5):2562. https://doi.org/10.3390/ijms22052562
Chicago/Turabian StyleNaumann, Nicole, Johannes Lübke, Sofie Baumann, Juliana Schwaab, Oliver Hoffmann, Sebastian Kreil, Vito Dangelo, Lukas Reiter, Peter Bugert, Thomas Kristensen, and et al. 2021. "Adverse Prognostic Impact of the KIT D816V Transcriptional Activity in Advanced Systemic Mastocytosis" International Journal of Molecular Sciences 22, no. 5: 2562. https://doi.org/10.3390/ijms22052562
APA StyleNaumann, N., Lübke, J., Baumann, S., Schwaab, J., Hoffmann, O., Kreil, S., Dangelo, V., Reiter, L., Bugert, P., Kristensen, T., Sotlar, K., Haselmann, V., Schneider, S., Metzgeroth, G., Weiss, C., Popp, H. D., Fabarius, A., Hofmann, W.-K., Cross, N. C. P., ... Jawhar, M. (2021). Adverse Prognostic Impact of the KIT D816V Transcriptional Activity in Advanced Systemic Mastocytosis. International Journal of Molecular Sciences, 22(5), 2562. https://doi.org/10.3390/ijms22052562

