Evaluation of Allogeneic Bone-Marrow-Derived and Umbilical Cord Blood-Derived Mesenchymal Stem Cells to Prevent the Development of Osteoarthritis in An Equine Model
Abstract
1. Introduction
2. Results
2.1. Clinical Outcomes
2.2. Follow-Up with Imaging Techniques
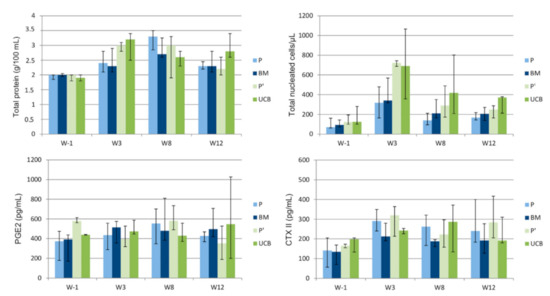
2.3. Evolution of Synovial Fluid Parameters
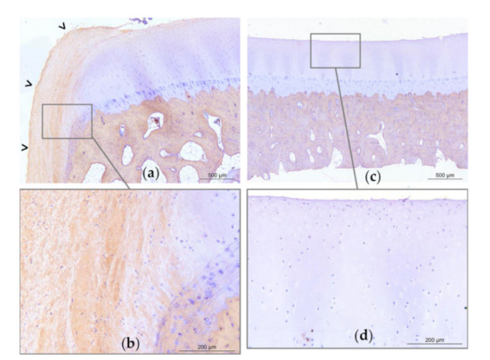
2.4. Post-Mortem Evaluation
3. Discussion
4. Materials and Methods
4.1. Horses and Study Design
4.2. Inclusion and Induction of Osteoarthritis
4.3. MSC Isolation, Culture, Characterization, and Preparation
4.4. Treatment
4.5. Clinical Assessment of the Joint, Investigation with Imaging Techniques, and Synovial Fluid Analysis
4.6. Postmortem Examination
4.7. Statistical Analysis
5. Conclusions
Supplementary Materials
Author Contributions
Funding
Institutional Review Board Statement
Informed Consent Statement
Data Availability Statement
Conflicts of Interest
Abbreviations
| BM | Bone-Marrow |
| BM-MSC | Bone-Marrow derived Mesenchymal Stem Cell |
| CB | Fetlocks injected with UCB-MSCs |
| CD | Cluster of Differentiation |
| CTX-II | C-terminal of type II collagen |
| FCS | Fetal Calf Serum |
| MHC | Major Histocompatibility Complex |
| MRI | Magnetic Resonance Imaging |
| MSC | Mesenchymal Stem Cell |
| NSAID | Non-steroidal anti-inflammatory drug |
| OA | Osteoarthritis |
| P4 | Passage 4 |
| PBS | Phosphate-Buffered Saline |
| PGE2 | Prostaglandin E2 |
| UCB-MSC | Umbilical Cord Blood derived Mesenchymal Stem Cell |
| UCB | Umbilical Cord Blood |
| W | Week |
References
- Le Pen, C.; Reygrobellet, C.; Gérentes, I. Les Conséquences Socioéconomiques de l’arthrose En France. Étude COART 1 France. Rev. Du Rhum. 2005, 72, 1326–1330. [Google Scholar] [CrossRef]
- Lawrence, R.C.; Helmick, C.G.; Arnett, F.C.; Deyo, R.A.; Felson, D.T.; Giannini, E.H.; Heyse, S.P.; Hirsch, R.; Hochberg, M.C.; Hunder, G.G. Estimates of the Prevalence of Arthritis and Selected Musculoskeletal Disorders in the United States. Arthritis Rheum. Off. J. Am. Coll. Rheumatol. 1998, 41, 778–799. [Google Scholar] [CrossRef]
- Oke, S.L.; McIlwraith, C.W. Review of the Economic Impact of Osteoarthritis and Oral Joint-Health Supplements in Horses. Proc. Am. Assoc. Equine Pract. 2010, 56, 12–16. [Google Scholar]
- Shah, K.; Zhao, A.G.; Sumer, H. New Approaches to Treat Osteoarthritis with Mesenchymal Stem Cells. Stem Cells Int. 2018, 2018, 5373294. [Google Scholar] [CrossRef]
- Neundorf, R.H.; Lowerison, M.B.; Cruz, A.M.; Thomason, J.J.; McEwen, B.J.; Hurtig, M.B. Determination of the Prevalence and Severity of Metacarpophalangeal Joint Osteoarthritis in Thoroughbred Racehorses via Quantitative Macroscopic Evaluation. Am. J. Vet. Res. 2010, 71, 1284–1293. [Google Scholar] [CrossRef]
- Cruz, A.M.; Hurtig, M.B. Multiple Pathways to Osteoarthritis and Articular Fractures: Is Subchondral Bone the Culprit? Vet. Clin. N. Am. Equine Pract. 2008, 24, 101–116. [Google Scholar] [CrossRef]
- Santschi, E.M. Articular Fetlock Injuries in Exercising Horses. Vet. Clin. N. Am. Equine Pract. 2008, 24, 117–132. [Google Scholar] [CrossRef]
- Dubey, N.K.; Mishra, V.K.; Dubey, R.; Syed-Abdul, S.; Wang, J.R.; Wang, P.D.; Deng, W.-P. Combating Osteoarthritis through Stem Cell Therapies by Rejuvenating Cartilage: A Review. Stem Cells Int. 2018, 2018. [Google Scholar] [CrossRef]
- Goldberg, A.; Mitchell, K.; Soans, J.; Kim, L.; Zaidi, R. The Use of Mesenchymal Stem Cells for Cartilage Repair and Regeneration: A Systematic Review. J. Orthop. Surg. Res. 2017, 12, 39. [Google Scholar] [CrossRef]
- Frisbie, D.D. Stem Cells. In Joint Disease in the Horse; Elsevier: Saint-Louis, MO, USA, 2016; pp. 236–242. [Google Scholar]
- Sharma, R.R.; Pollock, K.; Hubel, A.; McKenna, D. Mesenchymal Stem or Stromal Cells: A Review of Clinical Applications and Manufacturing Practices. Transfusion 2014, 54, 1418–1437. [Google Scholar] [CrossRef] [PubMed]
- Lee, W.Y.; Wang, B. Cartilage Repair by Mesenchymal Stem Cells: Clinical Trial Update and Perspectives. J. Orthop. Transl. 2017, 9, 76–88. [Google Scholar] [CrossRef]
- Branly, T.; Bertoni, L.; Contentin, R.; Rakic, R.; Gomez-Leduc, T.; Desancé, M.; Hervieu, M.; Legendre, F.; Jacquet, S.; Audigié, F. Characterization and Use of Equine Bone Marrow Mesenchymal Stem Cells in Equine Cartilage Engineering. Study of Their Hyaline Cartilage Forming Potential When Cultured under Hypoxia within a Biomaterial in the Presence of BMP-2 and TGF-\s S1. Stem Cell Rev. Rep. 2017, 13, 1–20. [Google Scholar] [CrossRef] [PubMed]
- Desancé, M.; Contentin, R.; Bertoni, L.; Gomez-Leduc, T.; Branly, T.; Jacquet, S.; Betsch, J.-M.; Batho, A.; Legendre, F.; Audigié, F.; et al. Chondrogenic Differentiation of Defined Equine Mesenchymal Stem Cells Derived from Umbilical Cord Blood for Use in Cartilage Repair Therapy. Int. J. Mol. Sci. 2018, 19, 537. [Google Scholar] [CrossRef]
- Koerner, J.; Nesic, D.; Romero, J.D.; Brehm, W.; Mainil-Varlet, P.; Grogan, S.P. Equine Peripheral Blood-Derived Progenitors in Comparison to Bone Marrow-Derived Mesenchymal Stem Cells. Stem Cells 2006, 24, 1613–1619. [Google Scholar] [CrossRef]
- Noël, D.; Caton, D.; Roche, S.; Bony, C.; Lehmann, S.; Casteilla, L.; Jorgensen, C.; Cousin, B. Cell Specific Differences between Human Adipose-Derived and Mesenchymal–Stromal Cells despite Similar Differentiation Potentials. Exp. Cell Res. 2008, 314, 1575–1584. [Google Scholar] [CrossRef]
- Freyria, A.-M.; Courtes, S.; Mallein-Gerin, F. Différenciation Des Cellules Souches Mésenchymateuses Adultes Humaines: Effet Chondrogénique de La BMP-2. Pathol. Biol. 2008, 56, 326–333. [Google Scholar] [CrossRef]
- Kisiday, J.D.; Kopesky, P.W.; Evans, C.H.; Grodzinsky, A.J.; McIlwraith, C.W.; Frisbie, D.D. Evaluation of Adult Equine Bone Marrow-and Adipose-Derived Progenitor Cell Chondrogenesis in Hydrogel Cultures. J. Orthop. Res. 2008, 26, 322–331. [Google Scholar] [CrossRef]
- Vidal, M.A.; Robinson, S.O.; Lopez, M.J.; Paulsen, D.B.; Borkhsenious, O.; Johnson, J.R.; Moore, R.M.; Gimble, J.M. Comparison of Chondrogenic Potential in Equine Mesenchymal Stromal Cells Derived from Adipose Tissue and Bone Marrow. Vet. Surg. 2008, 37, 713–724. [Google Scholar] [CrossRef]
- Frisbie, D.D.; Kisiday, J.D.; Kawcak, C.E.; Werpy, N.M.; McIlwraith, C.W. Evaluation of Adipose-Derived Stromal Vascular Fraction or Bone Marrow-Derived Mesenchymal Stem Cells for Treatment of Osteoarthritis. J. Orthop. Res. 2009, 27, 1675–1680. [Google Scholar] [CrossRef]
- Wilke, M.M.; Nydam, D.V.; Nixon, A.J. Enhanced Early Chondrogenesis in Articular Defects Following Arthroscopic Mesenchymal Stem Cell Implantation in an Equine Model. J. Orthop. Res. 2007, 25, 913–925. [Google Scholar] [CrossRef]
- Broeckx, S.Y.; Martens, A.M.; Bertone, A.L.; Van Brantegem, L.; Duchateau, L.; Van Hecke, L.; Dumoulin, M.; Oosterlinck, M.; Chiers, K.; Hussein, H.; et al. The Use of Equine Chondrogenic-Induced Mesenchymal Stem Cells as a Treatment for Osteoarthritis: A Randomised, Double-Blinded, Placebo-Controlled Proof-of-Concept Study. Equine Vet. J. 2019, 51, 787–794. [Google Scholar] [CrossRef]
- McIlwraith, C.W.; Frisbie, D.D.; Rodkey, W.G.; Kisiday, J.D.; Werpy, N.M.; Kawcak, C.E.; Steadman, J.R. Evaluation of Intra-Articular Mesenchymal Stem Cells to Augment Healing of Microfractured Chondral Defects. Arthrosc. J. Arthrosc. Relat. Surg. 2011, 27, 1552–1561. [Google Scholar] [CrossRef]
- Contentin, R.; Demoor, M.; Concari, M.; Desancé, M.; Audigié, F.; Branly, T.; Galéra, P. Comparison of the Chondrogenic Potential of Mesenchymal Stem Cells Derived from Bone Marrow and Umbilical Cord Blood Intended for Cartilage Tissue Engineering. Stem Cell Rev. Rep. 2020, 16, 126–143. [Google Scholar] [CrossRef]
- Bertoni, L.; Jacquet-Guibon, S.; Branly, T.; Legendre, F.; Desancé, M.; Mespoulhes, C.; Melin, M.; Hartmann, D.-J.; Schmutz, A.; Denoix, J.-M.; et al. An Experimentally Induced Osteoarthritis Model in Horses Performed on Both Metacarpophalangeal and Metatarsophalangeal Joints: Technical, Clinical, Imaging, Biochemical, Macroscopic and Microscopic Characterization. PLoS ONE 2020, 15, e0235251. [Google Scholar] [CrossRef]
- Maumus, M.; Jorgensen, C.; Noël, D. Mesenchymal Stem Cells in Regenerative Medicine Applied to Rheumatic Diseases: Role of Secretome and Exosomes. Biochimie 2013, 95, 2229–2234. [Google Scholar] [CrossRef]
- Wagner, W.; Wein, F.; Seckinger, A.; Frankhauser, M.; Wirkner, U.; Krause, U.; Blake, J.; Schwager, C.; Eckstein, V.; Ansorge, W. Comparative Characteristics of Mesenchymal Stem Cells from Human Bone Marrow, Adipose Tissue, and Umbilical Cord Blood. Exp. Hematol. 2005, 33, 1402–1416. [Google Scholar] [CrossRef]
- Huang, L.; Niu, C.; Willard, B.; Zhao, W.; Liu, L.; He, W.; Wu, T.; Yang, S.; Feng, S.; Mu, Y. Proteomic Analysis of Porcine Mesenchymal Stem Cells Derived from Bone Marrow and Umbilical Cord: Implication of the Proteins Involved in the Higher Migration Capability of Bone Marrow Mesenchymal Stem Cells. Stem Cell Res. Ther. 2015, 6, 1–18. [Google Scholar] [CrossRef]
- Foland, J.W.; McIlwraith, C.W.; Trotter, G.W.; Powers, B.E.; Lamar, C.H. Effect of Betamethasone and Exercise on Equine Carpal Joints with Osteochondral Fragments. Vet. Surg. 1994, 23, 369–376. [Google Scholar] [CrossRef]
- Frisbie, D.D.; Kawcak, C.E.; Werpy, N.M.; Park, R.D.; McIlwraith, C.W. Clinical, Biochemical, and Histologic Effects of Intra-Articular Administration of Autologous Conditioned Serum in Horses with Experimentally Induced Osteoarthritis. Am. J. Vet. Res. 2007, 68, 290–296. [Google Scholar] [CrossRef] [PubMed]
- Bertone, A.L.; Ishihara, A.; Zekas, L.J.; Wellman, M.L.; Lewis, K.B.; Schwarze, R.A.; Barnaba, A.R.; Schmall, M.L.; Kanter, P.M.; Genovese, R.L. Evaluation of a Single Intra-Articular Injection of Autologous Protein Solution for Treatment of Osteoarthritis in Horses. Am. J. Vet. Res. 2014, 75, 141–151. [Google Scholar] [CrossRef]
- Nauta, A.J.; Fibbe, W.E. Immunomodulatory Properties of Mesenchymal Stromal Cells. Blood 2007, 110, 3499–3506. [Google Scholar] [CrossRef]
- Karp, J.M.; Teo, G.S.L. Mesenchymal Stem Cell Homing: The Devil Is in the Details. Cell Stem Cell 2009, 4, 206–216. [Google Scholar] [CrossRef] [PubMed]
- Broeckx, S.Y.; Seys, B.; Suls, M.; Vandenberghe, A.; Mariën, T.; Adriaensen, E.; Declercq, J.; Van Hecke, L.; Braun, G.; Hellmann, K.; et al. Equine Allogeneic Chondrogenic Induced Mesenchymal Stem Cells Are an Effective Treatment for Degenerative Joint Disease in Horses. Stem Cells Dev. 2019. [Google Scholar] [CrossRef]
- Pers, Y.-M.; Rackwitz, L.; Ferreira, R.; Pullig, O.; Delfour, C.; Barry, F.; Sensebe, L.; Casteilla, L.; Fleury, S.; Bourin, P. Adipose Mesenchymal Stromal Cell-Based Therapy for Severe Osteoarthritis of the Knee: A Phase I Dose-Escalation Trial. Stem Cells Transl. Med. 2016, 5, 847–856. [Google Scholar] [CrossRef]
- Vangsness, C.T., Jr.; Jack Farr, I.I.; Boyd, J.; Dellaero, D.T.; Mills, C.R.; LeRoux-Williams, M. Adult Human Mesenchymal Stem Cells Delivered via Intra-Articular Injection to the Knee Following Partial Medial Meniscectomy: A Randomized, Double-Blind, Controlled Study. JBJS 2014, 96, 90–98. [Google Scholar] [CrossRef] [PubMed]
- Ozeki, N.; Muneta, T.; Koga, H.; Nakagawa, Y.; Mizuno, M.; Tsuji, K.; Mabuchi, Y.; Akazawa, C.; Kobayashi, E.; Matsumoto, K. Not Single but Periodic Injections of Synovial Mesenchymal Stem Cells Maintain Viable Cells in Knees and Inhibit Osteoarthritis Progression in Rats. Osteoarthr. Cartil. 2016, 24, 1061–1070. [Google Scholar] [CrossRef] [PubMed]
- Matas, J.; Orrego, M.; Amenabar, D.; Infante, C.; Tapia-Limonchi, R.; Cadiz, M.I.; Alcayaga-Miranda, F.; González, P.L.; Muse, E.; Khoury, M. Umbilical Cord-Derived Mesenchymal Stromal Cells (MSCs) for Knee Osteoarthritis: Repeated MSC Dosing Is Superior to a Single MSC Dose and to Hyaluronic Acid in a Controlled Randomized Phase I/II Trial. Stem Cells Transl. Med. 2019, 8, 215–224. [Google Scholar] [CrossRef]
- Smith, M.M.; Ravi, V.; Dart, A.J.; Young, A.A.; Sonnabend, D.H.; Little, C.B. The Timing of Bone-Marrow-Derived Mesenchymal Stem Cell Injection Is Critical for Long-Term Benefit to Infraspinatus Tendon in a Sheep Model. Orthop. Res. Soc. 2012, 37, 161. [Google Scholar]
- Audette, R.V.; Lavoie-Lamoureux, A.; Lavoie, J.-P.; Laverty, S. Inflammatory Stimuli Differentially Modulate the Transcription of Paracrine Signaling Molecules of Equine Bone Marrow Multipotent Mesenchymal Stromal Cells. Osteoarthr. Cartil. 2013, 21, 1116–1124. [Google Scholar] [CrossRef] [PubMed]
- Barrachina, L.; Remacha, A.R.; Romero, A.; Vázquez, F.J.; Albareda, J.; Prades, M.; Ranera, B.; Zaragoza, P.; Martín-Burriel, I.; Rodellar, C. Inflammation Affects the Viability and Plasticity of Equine Mesenchymal Stem Cells: Possible Implications in Intra-Articular Treatments. J. Vet. Sci. 2017, 18, 39. [Google Scholar] [CrossRef]
- Broeckx, S.; Zimmerman, M.; Crocetti, S.; Suls, M.; Mariën, T.; Ferguson, S.J.; Chiers, K.; Duchateau, L.; Franco-Obregón, A.; Wuertz, K.; et al. Regenerative Therapies for Equine Degenerative Joint Disease: A Preliminary Study. PLoS ONE 2014, 9, e85917. [Google Scholar] [CrossRef]
- Bembo, F.; Eraud, J.; Philandrianos, C.; Bertrand, B.; Silvestre, A.; Veran, J.; Sabatier, F.; Magalon, G.; Magalon, J. Combined Use of Platelet Rich Plasma & Micro-Fat in Sport and Race Horses with Degenerative Joint Disease: Preliminary Clinical Study in Eight Horses. Muscles Ligaments Tendons J. 2016, 6, 198. [Google Scholar]
- Giudice, A.; Esposito, M.; Bennardo, F.; Brancaccio, Y.; Buti, J.; Fortunato, L. Dental Extractions for Patients on Oral Antiplatelet: A within-Person Randomised Controlled Trial Comparing Haemostatic Plugs, Advanced-Platelet-Rich Fibrin (A-PRF+) Plugs, Leukocyte- and Platelet-Rich Fibrin (L-PRF) Plugs and Suturing Alone. Int. J. Oral Implantol. 2019, 12, 77–87. [Google Scholar]
- Mifune, Y.; Matsumoto, T.; Takayama, K.; Ota, S.; Li, H.; Meszaros, L.B.; Usas, A.; Nagamune, K.; Gharaibeh, B.; Fu, F.H. The Effect of Platelet-Rich Plasma on the Regenerative Therapy of Muscle Derived Stem Cells for Articular Cartilage Repair. Osteoarthr. Cartil. 2013, 21, 175–185. [Google Scholar] [CrossRef] [PubMed]
- Yun, S.; Ku, S.-K.; Kwon, Y.-S. Adipose-Derived Mesenchymal Stem Cells and Platelet-Rich Plasma Synergistically Ameliorate the Surgical-Induced Osteoarthritis in Beagle Dogs. J. Orthop. Surg. Res. 2016, 11, 9. [Google Scholar] [CrossRef]
- Roffi, A.; Nakamura, N.; Sanchez, M.; Cucchiarini, M.; Filardo, G. Injectable Systems for Intra-Articular Delivery of Mesenchymal Stromal Cells for Cartilage Treatment: A Systematic Review of Preclinical and Clinical Evidence. Int. J. Mol. Sci. 2018, 19, 3322. [Google Scholar] [CrossRef] [PubMed]
- Desando, G.; Bartolotti, I.; Cavallo, C.; Schiavinato, A.; Secchieri, C.; Kon, E.; Filardo, G.; Paro, M.; Grigolo, B. Short-Term Homing of Hyaluronan-Primed Cells: Therapeutic Implications for Osteoarthritis Treatment. Tissue Eng. Part C Methods 2018, 24, 121–133. [Google Scholar] [CrossRef]
- Kim, S.S.; Kang, M.S.; Lee, K.Y.; Lee, M.J.; Wang, L.; Kim, H.J. Therapeutic Effects of Mesenchymal Stem Cells and Hyaluronic Acid Injection on Osteochondral Defects in Rabbits’ Knees. Knee Surg. Relat. Res. 2012, 24, 164. [Google Scholar] [CrossRef]
- Sato, M.; Uchida, K.; Nakajima, H.; Miyazaki, T.; Guerrero, A.R.; Watanabe, S.; Roberts, S.; Baba, H. Direct Transplantation of Mesenchymal Stem Cells into the Knee Joints of Hartley Strain Guinea Pigs with Spontaneous Osteoarthritis. Arthritis Res. Ther. 2012, 14, R31. [Google Scholar] [CrossRef]
- Tripathi, J.K.; Pal, S.; Awasthi, B.; Kumar, A.; Tandon, A.; Mitra, K.; Chattopadhyay, N.; Ghosh, J.K. Variants of Self-Assembling Peptide, KLD-12 That Show Both Rapid Fracture Healing and Antimicrobial Properties. Biomaterials 2015, 56, 92–103. [Google Scholar] [CrossRef]
- Kim, J.E.; Lee, S.M.; Kim, S.H.; Tatman, P.; Gee, A.O.; Kim, D.-H.; Lee, K.E.; Jung, Y.; Kim, S.J. Effect of Self-Assembled Peptide–Mesenchymal Stem Cell Complex on the Progression of Osteoarthritis in a Rat Model. Int. J. Nanomed. 2014, 9, 141. [Google Scholar] [CrossRef]
- Oliveira, E.; Assunção-Silva, R.C.; Ziv-Polat, O.; Gomes, E.D.; Teixeira, F.G.; Silva, N.A.; Shahar, A.; Salgado, A.J. Influence of Different ECM-Like Hydrogels on Neurite Outgrowth Induced by Adipose Tissue-Derived Stem Cells. Stem Cells Int. 2017, 2017. [Google Scholar] [CrossRef] [PubMed]
- Bertoni, L.; Thomas, B.; Jacquet, S.; Desancé, M.; Desquilbet, L.; Rivory, P.; Hartmann, D.-J.; Denoix, J.-M.; Audigié, F.; Galéra, P.; et al. Intra-Articular Injection of 2 Different Dosages of Autologous and Allogeneic Bone Marrow and Umbilical Cord-Derived Mesenchymal Stem Cells Triggers a Variable Inflammatory Response of the Fetlock Joint on 12 Sound Experimental Horses. Stem Cell Int. 2019, 2019. [Google Scholar] [CrossRef]
- Ursini, T.L.; Amelse, L.L.; Elkhenany, H.A.; Odoi, A.; Carter-Arnold, J.L.; Adair, H.S.; Dhar, M.S. Retrospective Analysis of Local Injection Site Adverse Reactions Associated with 230 Allogenic Administrations of Bone Marrow-Derived Mesenchymal Stem Cells in 164 Horses. Equine Vet. J. 2019, 51, 198–205. [Google Scholar] [CrossRef]
- Joswig, A.-J.; Mitchell, A.; Cummings, K.J.; Levine, G.J.; Gregory, C.A.; Smith, R.; Watts, A.E. Repeated Intra-Articular Injection of Allogeneic Mesenchymal Stem Cells Causes an Adverse Response Compared to Autologous Cells in the Equine Model. Stem Cell Res. Ther. 2017, 8. [Google Scholar] [CrossRef]
- Ferris, D.J.; Frisbie, D.D.; Kisiday, J.D.; McIlwraith, C.W.; Hague, B.A.; Major, M.D.; Schneider, R.K.; Zubrod, C.J.; Kawcak, C.E.; Goodrich, L.R. Clinical Outcome after Intra-Articular Administration of Bone Marrow Derived Mesenchymal Stem Cells in 33 Horses with Stifle Injury. Vet. Surg. 2014, 43, 255–265. [Google Scholar] [CrossRef]
- Fortier, L.A. Making Progress in the What, When and Where of Regenerative Medicine for Our Equine Patients: Regenerative Medicine. Equine Vet. J. 2012, 44, 511–512. [Google Scholar] [CrossRef] [PubMed]
- Boyce, M.K.; Trumble, T.N.; Carlson, C.S.; Groschen, D.M.; Merritt, K.A.; Brown, M.P. Non-Terminal Animal Model of Post-Traumatic Osteoarthritis Induced by Acute Joint Injury. Osteoarthr. Cartil. 2013, 21, 746–755. [Google Scholar] [CrossRef] [PubMed]
- Lang, H.M.; Schnabel, L.V.; Cassano, J.M.; Fortier, L.A. Effect of Needle Diameter on the Viability of Equine Bone Marrow Derived Mesenchymal Stem Cells: LANG et Al. Vet. Surg. 2017, 46, 731–737. [Google Scholar] [CrossRef]
- American Association of Equine Practitioners, A.A. of E.P. Guide for Veterinary Service and Judging of Equestrian Events, 1st ed.; AAEP: Lexington, KY, USA, 1991; p. 19. [Google Scholar]
- Olive, J.; D’Anjou, M.-A.; Alexander, K.; Laverty, S.; Theoret, C. Comparison of Magnetic Resonance Imaging, Computed Tomography and Radiography for Assessment of Noncartilagnious Changes in Equine Metacarpophalangeal Osteoarthritis. Vet. Radiol. Ultrasound 2010, 51, 267–279. [Google Scholar] [CrossRef]
- Trumble, T.N.; Brown, M.P.; Merritt, K.A.; Billinghurst, R.C. Joint Dependent Concentrations of Bone Alkaline Phosphatase in Serum and Synovial Fluids of Horses with Osteochondral Injury: An Analytical and Clinical Validation. Osteoarthr. Cartil. 2008, 16, 779–786. [Google Scholar] [CrossRef][Green Version]
- Smith, A.D.; Morton, A.; Colahan, P.; Winter, M.; Ghivizzani, S.; Brown, M.; Hernandez, J. Magnetic Resonance Imaging Scoring of an Experimental Model of Osteoarthritis in the Equine Carpus. Osteoarthr. Cartil. 2014, 22, S285. [Google Scholar] [CrossRef][Green Version]
- Christgau, S.; Garnero, P.; Fledelius, C.; Moniz, C.; Ensig, M.; Gineyts, E.; Rosenquist, C.; Qvist, P. Collagen Type II C-Telopeptide Fragments as an Index of Cartilage Degradation. Bone 2001, 29, 209–215. [Google Scholar] [CrossRef]
- Bertone, A.L.; Palmer, J.L.; Jones, J. Synovial Fluid Cytokines and Eicosanoids as Markers of Joint Disease in Horses. Vet. Surg. 2001, 30, 528–538. [Google Scholar] [CrossRef] [PubMed]
- McIlwraith, C.W.; Frisbie, D.D.; Kawcak, C.E.; Fuller, C.J.; Hurtig, M.; Cruz, A. The OARSI Histopathology Initiative—Recommendations for Histological Assessments of Osteoarthritis in the Horse. Osteoarthr. Cartil. 2010, 18, S93–S105. [Google Scholar] [CrossRef] [PubMed]
- Pritzker, K.P.H.; Gay, S.; Jimenez, S.A.; Ostergaard, K.; Pelletier, J.-P.; Revell, P.A.; Salter, D.; van den Berg, W.B. Osteoarthritis Cartilage Histopathology: Grading and Staging. Osteoarthr. Cartil. 2006, 14, 13–29. [Google Scholar] [CrossRef] [PubMed]









Publisher’s Note: MDPI stays neutral with regard to jurisdictional claims in published maps and institutional affiliations. |
© 2021 by the authors. Licensee MDPI, Basel, Switzerland. This article is an open access article distributed under the terms and conditions of the Creative Commons Attribution (CC BY) license (http://creativecommons.org/licenses/by/4.0/).
Share and Cite
Bertoni, L.; Jacquet-Guibon, S.; Branly, T.; Desancé, M.; Legendre, F.; Melin, M.; Rivory, P.; Hartmann, D.-J.; Schmutz, A.; Denoix, J.-M.; et al. Evaluation of Allogeneic Bone-Marrow-Derived and Umbilical Cord Blood-Derived Mesenchymal Stem Cells to Prevent the Development of Osteoarthritis in An Equine Model. Int. J. Mol. Sci. 2021, 22, 2499. https://doi.org/10.3390/ijms22052499
Bertoni L, Jacquet-Guibon S, Branly T, Desancé M, Legendre F, Melin M, Rivory P, Hartmann D-J, Schmutz A, Denoix J-M, et al. Evaluation of Allogeneic Bone-Marrow-Derived and Umbilical Cord Blood-Derived Mesenchymal Stem Cells to Prevent the Development of Osteoarthritis in An Equine Model. International Journal of Molecular Sciences. 2021; 22(5):2499. https://doi.org/10.3390/ijms22052499
Chicago/Turabian StyleBertoni, Lélia, Sandrine Jacquet-Guibon, Thomas Branly, Mélanie Desancé, Florence Legendre, Martine Melin, Pascaline Rivory, Daniel-Jean Hartmann, Amandine Schmutz, Jean-Marie Denoix, and et al. 2021. "Evaluation of Allogeneic Bone-Marrow-Derived and Umbilical Cord Blood-Derived Mesenchymal Stem Cells to Prevent the Development of Osteoarthritis in An Equine Model" International Journal of Molecular Sciences 22, no. 5: 2499. https://doi.org/10.3390/ijms22052499
APA StyleBertoni, L., Jacquet-Guibon, S., Branly, T., Desancé, M., Legendre, F., Melin, M., Rivory, P., Hartmann, D.-J., Schmutz, A., Denoix, J.-M., Demoor, M., Audigié, F., & Galéra, P. (2021). Evaluation of Allogeneic Bone-Marrow-Derived and Umbilical Cord Blood-Derived Mesenchymal Stem Cells to Prevent the Development of Osteoarthritis in An Equine Model. International Journal of Molecular Sciences, 22(5), 2499. https://doi.org/10.3390/ijms22052499

