Nitrofurazone Removal from Water Enhanced by Coupling Photocatalysis and Biodegradation
Abstract
1. Introduction
2. Results
2.1. Nitrofurazone Photodegradation
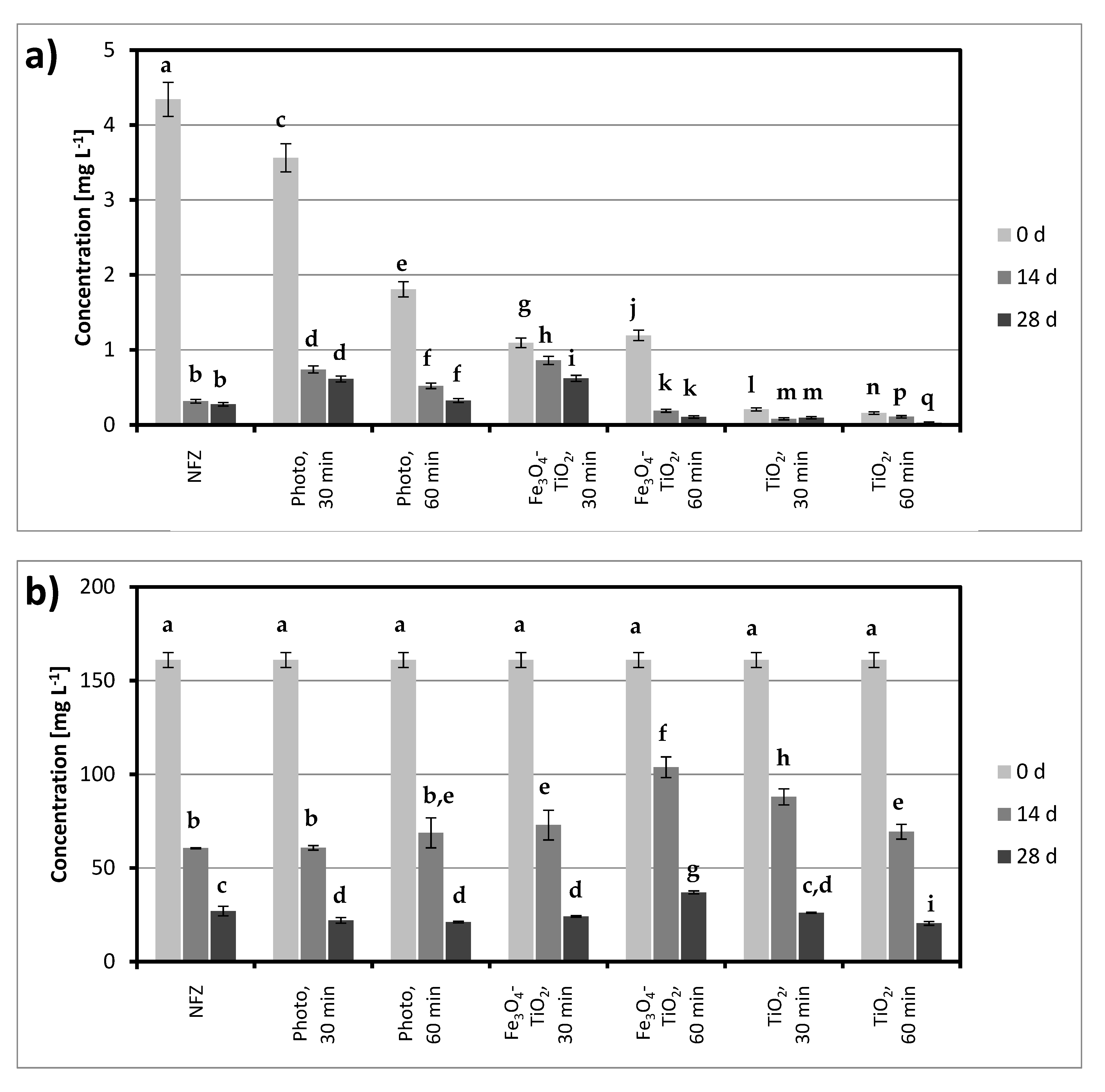
2.2. Nitrofurazone Biodegradation
2.3. Effect of Nitrofurazone and Its By-Products on Bacterial Cells
3. Discussion
4. Materials and Methods
4.1. Chemicals and Materials
4.2. Bacterial Strain
4.3. Photocatalytic Degradation
4.4. Biological Degradation
4.5. Chemical Analysis of Nitrofurazone Degradation
4.6. Bacterial Metabolic Activity Assessment
4.7. Cell Surface Properties’ Characterization
4.8. Statistical Analysis
5. Conclusions
Author Contributions
Funding
Institutional Review Board Statement
Informed Consent Statement
Data Availability Statement
Conflicts of Interest
References
- Cantwell, M.G.; Katz, D.R.; Sullivan, J.C.; Shapley, D.; Lipscomb, J.; Epstein, J.; Juhl, A.R.; Knudson, C.; O’Mullan, G.D. Spatial Patterns of Pharmaceuticals and Wastewater Tracers in the Hudson River Estuary. Water Res. 2018, 137, 335–343. [Google Scholar] [CrossRef]
- Vatovec, C.; Van Wagoner, E.; Evans, C. Investigating Sources of Pharmaceutical Pollution: Survey of over-the-Counter and Prescription Medication Purchasing, Use, and Disposal Practices among University Students. J. Environ. Manag. 2017, 198, 348–352. [Google Scholar] [CrossRef] [PubMed]
- Mandaric, L.; Mor, J.R.; Sabater, S.; Petrovic, M. Impact of Urban Chemical Pollution on Water Quality in Small, Rural and Effluent-Dominated Mediterranean Streams and Rivers. Sci. Total Environ. 2018, 613–614, 763–772. [Google Scholar] [CrossRef] [PubMed]
- Lu, M.C.; Chen, Y.Y.; Chiou, M.R.; Chen, M.Y.; Fan, H.J. Occurrence and Treatment Efficiency of Pharmaceuticals in Landfill Leachates. Waste Manag. 2016, 55, 257–264. [Google Scholar] [CrossRef]
- Masoner, J.R.; Kolpin, D.W.; Furlong, E.T.; Cozzarelli, I.M.; Gray, J.L. Landfill Leachate as a Mirror of Today’s Disposable Society: Pharmaceuticals and Other Contaminants of Emerging Concern in Final Leachate from Landfills in the Conterminous United States. Environ. Toxicol. Chem. 2016, 35, 906–918. [Google Scholar] [CrossRef] [PubMed]
- de Boer, M.A.; Hammerton, M.; Slootweg, J.C. Uptake of Pharmaceuticals by Sorbent-Amended Struvite Fertilisers Recovered from Human Urine and Their Bioaccumulation in Tomato Fruit. Water Res. 2018, 133, 19–26. [Google Scholar] [CrossRef]
- Bartelt-Hunt, S.L. Fate of Veterinary Pharmaceuticals in Agroecosystems. In Women in Water Quality; Springer: Cham, Switzerland, 2020; pp. 173–184. [Google Scholar]
- Wang, Y.; Liu, J.; Kang, D.; Wu, C.; Wu, Y. Removal of Pharmaceuticals and Personal Care Products from Wastewater Using Algae-Based Technologies: A Review. Rev. Environ. Sci. Biotechnol. 2017, 16, 717–735. [Google Scholar] [CrossRef]
- Vass, M.; Hruska, K.; Franek, M. Nitrofuran Antibiotics: A Review on the Application, Prohibition and Residual Analysis. Vet. Med. 2008, 53, 469–500. [Google Scholar] [CrossRef]
- Pogoda, D.; Janczak, J.; Videnova-Adrabinska, V. New Polymorphs of an Old Drug: Conformational and Synthon Polymorphism of 5-Nitrofurazone. Acta Crystallogr. Sect. B Struct. Sci. Cryst. Eng. Mater. 2016, 72, 263–273. [Google Scholar] [CrossRef] [PubMed]
- Antunes, P.; Machado, J.; Peixe, L. Illegal Use of Nitrofurans in Food Animals: Contribution to Human Salmonellosis? Clin. Microbiol. Infect. 2006, 12, 1047–1049. [Google Scholar] [CrossRef] [PubMed]
- Hou, S.L.; Dong, J.; Jiang, X.L.; Jiao, Z.H.; Wang, C.M.; Zhao, B. Interpenetration-Dependent Luminescent Probe in Indium-Organic Frameworks for Selectively Detecting Nitrofurazone in Water. Anal. Chem. 2018, 90, 1516–1519. [Google Scholar] [CrossRef] [PubMed]
- Hou, Y.; Yuan, G.; Qin, S.; Tu, L.; Yan, Y.; Yu, Z.; Lin, H.; Chen, Y.; Zhu, H.; Song, H.; et al. Photocathode Optimization and Microbial Community in the Solar-Illuminated Bio-Photoelectrochemical System for Nitrofurazone Degradation. Bioresour. Technol. 2020, 302, 122761. [Google Scholar] [CrossRef] [PubMed]
- Hou, Y.; Yuan, G.; Wang, S.; Yu, Z.; Qin, S.; Tu, L.; Yan, Y.; Chen, X.; Zhu, H.; Tang, Y. Nitrofurazone Degradation in the Self-Biased Bio-Photoelectrochemical System: G-C3N4/CdS Photocathode Characterization, Degradation Performance, Mechanism and Pathways. J. Hazard. Mater. 2020, 384, 121438. [Google Scholar] [CrossRef]
- Kong, D.; Liang, B.; Yun, H.; Cheng, H.; Ma, J.; Cui, M.; Wang, A.; Ren, N. Cathodic Degradation of Antibiotics: Characterization and Pathway Analysis. Water Res. 2015, 72, 281–292. [Google Scholar] [CrossRef]
- Kong, D.; Yun, H.; Cui, D.; Qi, M.; Shao, C.; Cui, D.; Ren, N.; Liang, B.; Wang, A. Response of Antimicrobial Nitrofurazone-Degrading Biocathode Communities to Different Cathode Potentials. Bioresour. Technol. 2017, 241, 951–958. [Google Scholar] [CrossRef] [PubMed]
- De Luca, M.; Mas, S.; Ioele, G.; Oliverio, F.; Ragno, G.; Tauler, R. Kinetic Studies of Nitrofurazone Photodegradation by Multivariate Curve Resolution Applied to UV-Spectral Data. Int. J. Pharm. 2010, 386, 99–107. [Google Scholar] [CrossRef]
- Tarpani, R.R.Z.; Azapagic, A. A Methodology for Estimating Concentrations of Pharmaceuticals and Personal Care Products (PPCPs) in Wastewater Treatment Plants and in Freshwaters. Sci. Total Environ. 2018, 622–623, 1417–1430. [Google Scholar] [CrossRef]
- Angeles, L.F.; Mullen, R.A.; Huang, I.J.; Wilson, C.; Khunjar, W.; Sirotkin, H.I.; McElroy, A.E.; Aga, D.S. Assessing Pharmaceutical Removal and Reduction in Toxicity Provided by Advanced Wastewater Treatment Systems. Environ. Sci. Water Res. Technol. 2020, 6, 62–77. [Google Scholar] [CrossRef]
- Awfa, D.; Ateia, M.; Fujii, M.; Johnson, M.S.; Yoshimura, C. Photodegradation of Pharmaceuticals and Personal Care Products in Water Treatment Using Carbonaceous-TiO2 Composites: A Critical Review of Recent Literature. Water Res. 2018, 142, 26–45. [Google Scholar] [CrossRef]
- Mrotek, E.; Dudziak, S.; Malinowska, I.; Pelczarski, D.; Ryżyńska, Z.; Zielińska-Jurek, A. Improved Degradation of Etodolac in the Presence of Core-Shell ZnFe2O4/SiO2/TiO2 Magnetic Photocatalyst. Sci. Total Environ. 2020, 724, 138167. [Google Scholar] [CrossRef]
- Ullah, S.; Ferreira-Neto, E.P.; Pasa, A.A.; Alcântara, C.C.J.; Acuña, J.J.S.; Bilmes, S.A.; Martínez Ricci, M.L.; Landers, R.; Fermino, T.Z.; Rodrigues-Filho, U.P. Enhanced Photocatalytic Properties of Core@shell SiO2@TiO2 Nanoparticles. Appl. Catal. B Environ. 2015, 179, 333–343. [Google Scholar] [CrossRef]
- Sinar Mashuri, S.I.; Ibrahim, M.L.; Kasim, M.F.; Mastuli, M.S.; Rashid, U.; Abdullah, A.H.; Islam, A.; Asikin Mijan, N.; Tan, Y.H.; Mansir, N.; et al. Photocatalysis for Organic Wastewater Treatment: From the Basis to Current Challenges for Society. Catalysts 2020, 10, 1260. [Google Scholar] [CrossRef]
- Fischer, K.; Kühnert, M.; Gläser, R.; Schulze, A. Photocatalytic Degradation and Toxicity Evaluation of Diclofenac by Nanotubular Titanium Dioxide-PES Membrane in a Static and Continuous Setup. RSC Adv. 2015, 5, 16340–16348. [Google Scholar] [CrossRef]
- Szabó-Bárdos, E.; Cafuta, A.; Hegedűs, P.; Fónagy, O.; Kiss, G.; Babić, S.; Škorić, I.; Horváth, O. Photolytic and Photocatalytic Degradation of Nitrofurantoin and Its Photohydrolytic Products. J. Photochem. Photobiol. A Chem. 2020, 386, 112093. [Google Scholar] [CrossRef]
- Bergheim, M.; Gminski, R.; Spangenberg, B.; Debiak, M.; Bürkle, A.; Mersch-Sundermann, V.; Kümmerer, K.; Gieré, R. Antibiotics and Sweeteners in the Aquatic Environment: Biodegradability, Formation of Phototransformation Products, and in Vitro Toxicity. Environ. Sci. Pollut. Res. 2015, 22, 18017–18030. [Google Scholar] [CrossRef]
- Pacholak, A.; Smułek, W.; Zgoła-Grześkowiak, A.; Kaczorek, E.; Pacholak, A.; Smułek, W.; Zgoła-Grześkowiak, A.; Kaczorek, E. Nitrofurantoin—Microbial Degradation and Interactions with Environmental Bacterial Strains. Int. J. Environ. Res. Public Health 2019, 16, 1526. [Google Scholar] [CrossRef]
- Zielińska-Jurek, A.; Bielan, Z.; Wysocka, I.; Strychalska, J.; Janczarek, M.; Klimczuk, T. Magnetic Semiconductor Photocatalysts for the Degradation of Recalcitrant Chemicals from Flow Back Water. J. Environ. Manage. 2017, 195, 157–165. [Google Scholar] [CrossRef]
- Zielińska-Jurek, A.; Bielan, Z.; Dudziak, S.; Wolak, I.; Sobczak, Z.; Klimczuk, T.; Nowaczyk, G.; Hupka, J. Design and Application of Magnetic Photocatalysts for Water Treatment. The Effect of Particle Charge on Surface Functionality. Catalysts 2017, 7, 360. [Google Scholar] [CrossRef]
- Wysocka, I.; Kowalska, E.; Trzciński, K.; Łapiński, M.; Nowaczyk, G.; Zielińska-Jurek, A. UV-Vis-Induced Degradation of Phenol over Magnetic Photocatalysts Modified with Pt, Pd, Cu and Au Nanoparticles. Nanomaterials 2018, 8, 28. [Google Scholar] [CrossRef]
- Wang, H.; Cheng, H.; Wang, F.; Wei, D.; Wang, X. An Improved 3-(4,5-Dimethylthiazol-2-Yl)-2,5-Diphenyl Tetrazolium Bromide (MTT) Reduction Assay for Evaluating the Viability of Escherichia Coli Cells. J. Microbiol. Methods 2010, 82, 330–333. [Google Scholar] [CrossRef]
- Devi, K.P.; Sakthivel, R.; Nisha, S.A.; Suganthy, N.; Pandian, S.K. Eugenol Alters the Integrity of Cell Membrane and Acts against the Nosocomial Pathogen Proteus Mirabilis. Arch. Pharm. Res. 2013, 36, 282–292. [Google Scholar] [CrossRef]
- Ambalam, P.; Kondepudi, K.K.; Nilsson, I.; Wadström, T.; Ljungh, Å. Bile Stimulates Cell Surface Hydrophobicity, Congo Red Binding and Biofilm Formation of Lactobacillus Strains. FEMS Microbiol. Lett. 2012, 333, 10–19. [Google Scholar] [CrossRef]




| Treatment | Total Membrane Permeability (%) | Congo Red Adsorption (%) |
|---|---|---|
| Sodium succinate | 21 ± 1 (a) | 19 ± 6 (a) |
| Nitrofurazone | 19 ± 1 (ac) | 17 ± 2 (a) |
| Photo, 30 min | 15 ± 5 (ab) | 9 ± 1 (b) |
| Photo, 60 min | 10 ± 1 (b) | 12 ± 1 (c) |
| Fe3O4-TiO2, 30 min | 18 ± 1 (c) | 11 ± 1 (c) |
| Fe3O4-TiO2, 60 min | 4 ± 1 (d) | 12 ± 1 (c) |
| TiO2-P25, 30 min | 5 ± 4 (de) | 10 ± 2 (c) |
| TiO2-P25, 60 min | 2 ± 1 (e) | 14 ± 1 (d) |
| Value | BET Surface Area (mg dm−3) | Anatase (%) (Size (nm)) | Rutile (%) (Size (nm)) | Magnetite (%) (Size (nm)) |
|---|---|---|---|---|
| TiO2-P25 | 55 | 86.8 ± 0.3 (18.88 ± 0.09) | 13.20 ± 0.19 (27.3 ± 0.7) | - - |
| Fe3O4@SiO2/TiO2 | 117 | 69.2 ± 0.8 (5.48 ± 0.05) | 8.4 ± 0.5 (7.9 ± 0.4) | 22.4 ± 0.8 (42.6 ± 3.3) |
Publisher’s Note: MDPI stays neutral with regard to jurisdictional claims in published maps and institutional affiliations. |
© 2021 by the authors. Licensee MDPI, Basel, Switzerland. This article is an open access article distributed under the terms and conditions of the Creative Commons Attribution (CC BY) license (http://creativecommons.org/licenses/by/4.0/).
Share and Cite
Smułek, W.; Bielan, Z.; Pacholak, A.; Zdarta, A.; Zgoła-Grześkowiak, A.; Zielińska-Jurek, A.; Kaczorek, E. Nitrofurazone Removal from Water Enhanced by Coupling Photocatalysis and Biodegradation. Int. J. Mol. Sci. 2021, 22, 2186. https://doi.org/10.3390/ijms22042186
Smułek W, Bielan Z, Pacholak A, Zdarta A, Zgoła-Grześkowiak A, Zielińska-Jurek A, Kaczorek E. Nitrofurazone Removal from Water Enhanced by Coupling Photocatalysis and Biodegradation. International Journal of Molecular Sciences. 2021; 22(4):2186. https://doi.org/10.3390/ijms22042186
Chicago/Turabian StyleSmułek, Wojciech, Zuzanna Bielan, Amanda Pacholak, Agata Zdarta, Agnieszka Zgoła-Grześkowiak, Anna Zielińska-Jurek, and Ewa Kaczorek. 2021. "Nitrofurazone Removal from Water Enhanced by Coupling Photocatalysis and Biodegradation" International Journal of Molecular Sciences 22, no. 4: 2186. https://doi.org/10.3390/ijms22042186
APA StyleSmułek, W., Bielan, Z., Pacholak, A., Zdarta, A., Zgoła-Grześkowiak, A., Zielińska-Jurek, A., & Kaczorek, E. (2021). Nitrofurazone Removal from Water Enhanced by Coupling Photocatalysis and Biodegradation. International Journal of Molecular Sciences, 22(4), 2186. https://doi.org/10.3390/ijms22042186

