Tin Carboxylate Complexes of Natural Bacteriochlorin for Combined Photodynamic and Chemotherapy of Cancer è
Abstract
:1. Introduction
2. Results and Discussions
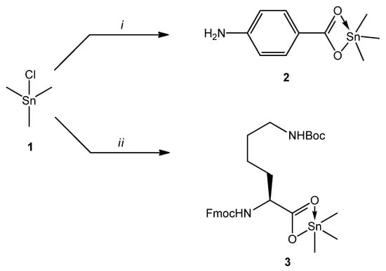
2.1. Chemistry
2.2. Docking
2.3. DNA Binding Test
2.4. Biology
3. Materials and Methods
3.1. Chemistry
3.1.1. Synthesis of Tin Complex Based on 4-Aminobenzoic Acid (2)
3.1.2. Synthesis of Tin Complex Based on Lysine (3)
3.1.3. Synthesis of the Conjugate of O-Propyloxime-N-Propoxybacteriopurpurinimide with the Tin Complex of 4-Aminobenzoic Acid (5)
3.1.4. Synthesis of the Conjugate of O-Propyloxime-N-Propoxybacteriopurpurinimide with the Tin Complex of Lysine (6)
3.2. Molecular Docking
3.3. DNA Binding Test
3.4. Biology
3.4.1. Photoinduced and Dark Cytotoxicity Studies
3.4.2. Study of Intracellular Distribution
4. Conclusions
Author Contributions
Funding
Institutional Review Board Statement
Informed Consent Statement
Data Availability Statement
Conflicts of Interest
References
- Mokhtari, R.B.; Homayouni, T.S.; Baluch, N.; Morgatskaya, E.; Kumar, S.; Das, B.; Yeger, H. Combination therapy in combating cancer. Oncotarget 2017, 8, 38022–38043. [Google Scholar] [CrossRef] [Green Version]
- De Vita, V.T., Jr.; Chu, E. A history of cancer chemotherapy. Cancer Res. 2008, 68, 8643–8653. [Google Scholar] [CrossRef] [PubMed] [Green Version]
- Craig, C.; Ng, J.; Tim, W. The side effects of chemotherapeutic agents. Curr. Anaesth. Crit. Care 2008, 19, 70–79. [Google Scholar]
- Baudino, T.A. Targeted Cancer Therapy: The Next Generation of Cancer Treatment. Curr. Drug Discov. Technol. 2015, 12, 3–20. [Google Scholar] [CrossRef]
- Lo, P.-C.; Rodríguez-Morgade, M.S.; Pandey, R.K.; Ng, D.K.P.; Torres, T.; Dumoulin, F. The unique features and promises of phthalocyanines as advanced photosensitisers for photodynamic therapy of cancer. Chem. Soc. Rev. 2020, 49, 1041–1056. [Google Scholar] [CrossRef]
- Da, J.M.; Pucelik, B.; Regiel-Futyra, A.; Brindell, M.; Mazuryk, O.; Kyzioł, A.; Macyk, W.; Arnaut, L.G. Engineering of relevant photodynamic processes through structural modifications of metallotetrapyrrolic photosensitizers. Coord. Chem. Rev. 2016, 325, 67–101. [Google Scholar]
- Muddineti, O.S.; Vishnu, S.; Rompicharla, K.; Kumari, P.; Bhatt, H.; Ghosh, B.; Biswas, S. Photodiagnosis and photodynamic therapy lipid and poly(ethylene glycol)-conjugated bi-functionalized chlorine e6 micelles for NIR-light induced photodynamic therapy. Photodiagn. Photodyn. Ther. 2020, 29, 101633. [Google Scholar] [CrossRef]
- Plotnikova, E.; Grin, M.; Ostroverkhov, P.; Pantushenko, I.; Yakubovskaya, R.; Kaprin, A. Primary screening of substances-photosensibilizers of the bacteriochlorin range for photodynamic therapy of malignant neoplasms. Biomeditsinskaya Khimiya Photo 2018, 64, 283–289. [Google Scholar] [CrossRef] [PubMed]
- Ye, Y.; Wang, L.-X.; Zhang, D.-P.; Yan, Y.-J.; Chen, Z.-L. Studies on photodynamic mechanism of a novel chlorine derivative (TDPC) and its antitumor effect for photodynamic therapy in vitro and in vivo. J. Innov. Opt. Health Sci. 2015, 8, 1540001. [Google Scholar] [CrossRef] [Green Version]
- Grin, M.A.; Suvorov, N.V.; Mironov, A.F. Natural chlorins as a promising platform for creating targeted theranostics in oncology. Mendeleev Commun. 2020, 30, 406–418. [Google Scholar] [CrossRef]
- Mfouo-Tynga, I.S.; Dias, L.D.; Inada, N.M.; Kurachi, C. Photodiagnosis and photodynamic therapy features of third generation photosensitizers used in anticancer photodynamic therapy: Review. Photodiagn. Photodyn. Ther. 2021, 34, 102091. [Google Scholar] [CrossRef] [PubMed]
- Kessel, D. Correlation between subcellular localization and photo-dynamic efficacy. J. Porphyr. Phthalocyanines 2004, 8, 1009–1014. [Google Scholar] [CrossRef]
- Mashayekhi, V.; Oliveira, S. Vascular Targeted Photodynamic Therapy: A review of the efforts towards molecular targeting of tumor vasculature. J. Porphyr. Phthalocyanines 2019, 23, 1229–1240. [Google Scholar] [CrossRef] [Green Version]
- Zheng, Y.; Yin, G.; Le, V.; Zhang, A.; Chen, S.; Liang, X.; Liu, J. Photodynamic-therapy activates immune response by disrupting immunity homeostasis of tumor cells, which generates vaccine for cancer therapy. Int. J. BiolSci. 2016, 12, 120–132. [Google Scholar] [CrossRef] [PubMed] [Green Version]
- Chilakamarthi, U.; Giribabu, L. Photodynamic therapy: Past, present and future. Chem. Rec. 2017, 17, 775–802. [Google Scholar] [CrossRef] [PubMed]
- Panchenko, P.A.; Grin, M.A.; Fedorova, O.A.; Zakharko, M.A.; Pritmov, D.A.; Mironov, A.F.; Arkhipova, A.N.; Fedorov, Y.V.; Jonusauskas, G.; Yakubovskaya, R.I.; et al. A novel bacteriochlorin–styrylnaphthalimide conjugate for simultaneous photodynamic therapy and fluorescence imaging. Phys. Chem. Chem. Phys. 2017, 19, 30195–30206. [Google Scholar] [CrossRef] [Green Version]
- Mazzone, G.; Alberto, M.E.; De Simone, B.C.; Marino, T.; Russo, N. Can expanded bacteriochlorins act as photosensitizers in photodynamic therapy? good news from density functional theory computations. Molecules 2016, 21, 288. [Google Scholar] [CrossRef] [PubMed] [Green Version]
- Alberto, M.E.; De Simone, B.C.; Sicilia, E.; Toscano, M.; Russo, N. Rational design of modified oxobacteriochlorins as potential photodynamic therapy photosensitizers. Int. J. Mol. Sci. 2019, 20, 2002. [Google Scholar] [CrossRef] [PubMed] [Green Version]
- Filonenko, E.V.; Urlova, A.N.; Vakhabova, Y.V.; Medvedev, S.V.; Matorin, O.V.; Grigorievykh, N.I.; Kaprin, A.D. Multi-course photodynamic therapy of basal cell skin cancer of the central face area (clinical study). Biomed. Photonics 2019, 8, 47–52. [Google Scholar] [CrossRef] [Green Version]
- Postiglione, I.; Chiaviello, A.; Palumbo, G. Enhancing Photodynamyc Therapy efficacy by combination therapy: Dated, current and oncoming strategies. Cancers 2011, 3, 2597–2629. [Google Scholar] [CrossRef] [PubMed]
- Wentrup, R.; Winkelmann, N.; Mitroshkin, A.; Prager, M.; Voderholzer, W.; Schachschal, G.; Jürgensen, C.; Büning, C. Photodynamic Therapy Plus Chemotherapy Compared with Photodynamic Therapy Alone in Hilar Nonresectable Cholangiocarcinoma. Gut Liver 2016, 10, 470. [Google Scholar] [CrossRef] [Green Version]
- Husain, E.; Naseem, I. Riboflavin-mediated cellular photoinhibition of cisplatin-induced oxidative DNA breakage in mice epidermal keratinocytes. Photodermatol. Photoimmunol. Photomed. 2008, 24, 301–307. [Google Scholar] [CrossRef] [PubMed]
- Persidis, A. Cancer Multidrug Resistance. Nat. Biotechnol. 1999, 17, 94–95. [Google Scholar] [CrossRef] [PubMed]
- Mansoori, B.; Mohammadi, A.; Davudian, S.; Shirjang, S.; Baradaran, B. The different mechanisms of cancer drug resistance: A brief review. Tabriz Univ. Med. Sci. 2017, 7, 339–348. [Google Scholar] [CrossRef] [PubMed]
- Yano, T.; Minamide, T.; Takashima, K.; Nakajo, K.; Kadota, T.; Yoda, Y. Clinical Practice of Photodynamic Therapy Using Talaporfin Sodium for Esophageal Cancer. J. Clin. Med. 2021, 10, 2785. [Google Scholar] [CrossRef]
- Singh, H.L. Molecular and biomolecular spectroscopy synthesis and characterization of tin (II) complexes of fluorinated schiff bases derived from amino acids. Spectrochim. Acta Part A Mol. Biomol. Spectrosc. 2010, 76, 253–258. [Google Scholar] [CrossRef]
- Khan, A.; Parveen, S.; Khalid, A.; Shafi, S. Inorganicachimicaacta recent advancements in the anticancer potentials of phenylorganotin(IV) complexes. Inorg. Chim. Acta 2020, 505, 119464. [Google Scholar] [CrossRef]
- Shaheen, F.; Sirajuddin, M.; Ali, S.; Rehman, Z.-U.; Dyson, P.J.; Shah, N.A.; Tahir, M.N. Organotin(IV) 4-(benzo[d][1,3]dioxol-5-ylmethyl)piperazine-1-carbodithioates: Synthesis, characterization and biological activities. J. Organomet. Chem. 2018, 856, 13–22. [Google Scholar] [CrossRef]
- Hadi, A.G.; Jawad, K.; Ahmed, D.S.; Yousif, E. Synthesis and Biological Activities of Organotin (IV) Carboxylates: A Review. Syst. Rev. Pharm. 2018, 10, 26–31. [Google Scholar] [CrossRef]
- Shimazaki, Y.; Takani, M.; Yamauchi, O. Metal complexes of amino acids and amino acid side chain groups. Structures and properties. Dalton Trans. 2009, 38, 7854–7869. [Google Scholar] [CrossRef] [PubMed]
- Mironov, A.F.; Ostroverkhov, P.V.; Tikhonov, S.I.; Pogorilyy, V.A.; Kirin, N.S.; Chudakova, O.O.; Tsygankov, A.A.; Grin, M.A. Amino acid derivatives of natural chlorins as a platform for the creation of targeted photosensitizers in oncology. Fine Chem. Technol. 2021, 15, 16–33. [Google Scholar] [CrossRef]
- Antonenko, T.; Shpakovsky, D.; Berseneva, D.; Gracheva, Y.; Dubova, L.; Shevtsov, P.; Redkozubova, O.; Shevtsova, E.; Tafeenko, V.; Aslanov, L.; et al. Cytotoxic activity of organotin carboxylates based on synthetic phenolic antioxidants and polycyclic bile acids. J. Organomet. Chem. 2020, 909, 121089. [Google Scholar] [CrossRef]
- Hern, F.; Carlos, J.; García, M.; Montes, P.; Godoy, C.; Ariza-castolo, A.; Antonio, J.; Alvarez, G. Diorganotin (iv) benzoates: Structure, stability and equilibrium analysis by 1h and 119sn nmr spectroscopy in acid solution. J. Mol. Struct. 2020, 1209, 127915. [Google Scholar]
- Yakubovskaya, R.I.; Chissov, V.I.; Mironov, A.F.; Grin, M.A.; Morozova, N.B.; Tsygankov, A.A.; Plotnikova, E.A. A Drug for Photodynamic Therapy and a Method of Photodynamic Therapy of Cancer with Its Use. Patent RU 2521327C1, 12 December 2012. [Google Scholar]
- Zhao, Y.M.; Lu, Q.Q.; Yao, S.; Su, H.F.; Liu, H.J.; Wang, Z.J.; Wu, F.S.; Wang, K. N-Methylpyridylporphyrin tailed with folate conjugate as a potential lysosomal-targeted photosensitizer: Synthesis, dna interaction, singlet oxygen and subcellular localization. J. Porphyr. Phthalocyanines 2019, 23, 679–684. [Google Scholar] [CrossRef]
- Tabassum, S.; Yadav, S. Investigation of diorganotin(IV) complexes: Synthesis, characterization, in vitro DNA binding studies and cytotoxicity assessment of di-n-butyltin(IV) complex. Inorg. Chim. Acta 2014, 423, 204–214. [Google Scholar] [CrossRef]
- Zhang, P.; Sadler, P.J. Advances in the design of organometallic anticancer complexes. J. Organomet. Chem. 2017, 839, 5–14. [Google Scholar] [CrossRef]





| Compounds | Docking | Binding Test | |
|---|---|---|---|
| Total Interaction Energy, kJ·mol−1 | Binding Constant, K × 106 M−1 | Gibbs Energy, kJ·mol−1 | |
| 2 | −212.20 | 1 | −41.3 |
| 3 | −305.20 | 1.85 | −35.8 |
| 4 | −295.2 | 28.2 | −42.5 |
| 5 | −303.90 | 1.58 | 1.4 |
| 6 | −313.80 | 125.5 | −46.2 |
| No. | Cell Cultures | |||||||||
|---|---|---|---|---|---|---|---|---|---|---|
| S-37 | PC-3 | MCF-7 | A-549 | HeLa | ||||||
| Incubation Time after Drug Administration, Hours | ||||||||||
| 24 | 48 | 24 | 48 | 24 | 48 | 24 | 48 | 24 | 48 | |
| IC50, mmol/ml | ||||||||||
| 2 | 33.8 ± 1.4 | 5.9 ± 0.07 | 32.2 ± 1.3 | 10.3 ± 0.4 | 46.5 ± 0.7 | 26.9 ± 0.3 | 34.1 ± 1.1 | 9.5 ± 0.5 | 22.26 ± 0.3 | 8.0 ± 0.3 |
| 3 | 15.8 ± 3.1 | 12.8 ± 1.2 | 15.5 ± 0.9 | 5.5 ± 0.6 | 20.6 ± 0.3 | 16.5 ± 0.5 | 18.2 ± 1.1 | 8.5 ± 1.0 | 14.87 ± 0.4 | 16.8 ± 0.3 |
| 4 | 3.3 ± 0.3 | 3.3 ± 0.6 | 2.3 ± 0.7 | 1.0 ± 0.1 | 10.8 ± 0.2 | 3.9 ± 0.5 | 6.2 ± 0.9 | 2.8 ± 0.8 | 8.02 ± 0.8 | 10.0 ± 0.8 |
| 5 | 5.7 ± 0.9 | 2.7 ± 0.2 | 1.9 ± 0.5 | 1.1 ± 0.7 | 9.7 ± 0.4 | 6.9 ± 0.4 | 9.8 ± 0.5 | 3.0 ± 0.3 | 7.76 ± 0.2 | 8.6 ± 0.3 |
| 6 | 5.2 ± 1.5 | 3.1 ± 1.1 | 0.9 ± 0.4 | 0.6 ± 0.2 | 6.8 ± 0.1 | 3.1 ± 0.2 | 7.7 ± 1.1 | 2.2 ± 0.2 | 3.31 ± 0.1 | 3.0 ± 0.2 |
| No. | Cell Lines | |||||||||
|---|---|---|---|---|---|---|---|---|---|---|
| S-37 | PC-3 | MCF-7 | A-549 | HeLa | ||||||
| Incubation Time after Light Exposure, Hours | ||||||||||
| 24 | 48 | 24 | 48 | 24 | 48 | 24 | 48 | 24 | 48 | |
| IC50, mmol/ml | ||||||||||
| 4 | 0.21 ± 0.04 | 0.17 ± 0.01 | 0.14 ± 0.01 | 0.09 ± 0.04 | 0.19 ± 0.04 | 0.14 ± 0.04 | 0.23 ± 0.04 | 0.16 ± 0.01 | 0.66 ± 0.04 | 0.62 ± 0.05 |
| 5 | 0.23 ± 0.05 | 0.13 ± 0.04 | 0.08 ± 0.03 | 0.07 ± 0.05 | 0.22 ± 0.08 | 0.12 ± 0.05 | 0.18 ± 0.06 | 0.11 ± 0.02 | 0.47 ± 0.03 | 0.41 ± 0.01 |
| 6 | 0.2 ± 0.01 | 0.06 ± 0.02 | 0.08 ± 0 | 0.06 ± 0.04 | 0.1 ± 0.06 | 0.05 ± 0.01 | 0.13 ± 0.04 | 0.09 ± 0.03 | 0.32 ± 0.02 | 0.26 ± 0.02 |
Publisher’s Note: MDPI stays neutral with regard to jurisdictional claims in published maps and institutional affiliations. |
© 2021 by the authors. Licensee MDPI, Basel, Switzerland. This article is an open access article distributed under the terms and conditions of the Creative Commons Attribution (CC BY) license (https://creativecommons.org/licenses/by/4.0/).
Share and Cite
Tikhonov, S.; Ostroverkhov, P.; Suvorov, N.; Mironov, A.; Efimova, Y.; Plutinskaya, A.; Pankratov, A.; Ignatova, A.; Feofanov, A.; Diachkova, E.; et al. Tin Carboxylate Complexes of Natural Bacteriochlorin for Combined Photodynamic and Chemotherapy of Cancer è. Int. J. Mol. Sci. 2021, 22, 13563. https://doi.org/10.3390/ijms222413563
Tikhonov S, Ostroverkhov P, Suvorov N, Mironov A, Efimova Y, Plutinskaya A, Pankratov A, Ignatova A, Feofanov A, Diachkova E, et al. Tin Carboxylate Complexes of Natural Bacteriochlorin for Combined Photodynamic and Chemotherapy of Cancer è. International Journal of Molecular Sciences. 2021; 22(24):13563. https://doi.org/10.3390/ijms222413563
Chicago/Turabian StyleTikhonov, Sergey, Petr Ostroverkhov, Nikita Suvorov, Andrey Mironov, Yulia Efimova, Anna Plutinskaya, Andrei Pankratov, Anastasia Ignatova, Alexey Feofanov, Ekaterina Diachkova, and et al. 2021. "Tin Carboxylate Complexes of Natural Bacteriochlorin for Combined Photodynamic and Chemotherapy of Cancer è" International Journal of Molecular Sciences 22, no. 24: 13563. https://doi.org/10.3390/ijms222413563
APA StyleTikhonov, S., Ostroverkhov, P., Suvorov, N., Mironov, A., Efimova, Y., Plutinskaya, A., Pankratov, A., Ignatova, A., Feofanov, A., Diachkova, E., Vasil’ev, Y., & Grin, M. (2021). Tin Carboxylate Complexes of Natural Bacteriochlorin for Combined Photodynamic and Chemotherapy of Cancer è. International Journal of Molecular Sciences, 22(24), 13563. https://doi.org/10.3390/ijms222413563

