A Genus-Wide Bioactivity Analysis of Daboia (Viperinae: Viperidae) Viper Venoms Reveals Widespread Variation in Haemotoxic Properties
Abstract
1. Introduction
2. Results and Discussion
2.1. Protease Activity
2.1.1. Venom Serine Protease and Metalloprotease Activity
2.1.2. Venom Phospholipase Activity
2.2. Coagulant Activity
2.2.1. Intensity of Coagulant Activity
2.2.2. Potency of Coagulant Activity
2.2.3. Clot Kinetics
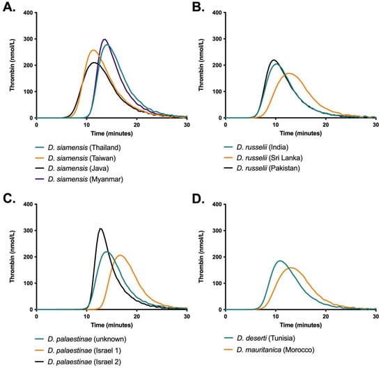
2.2.4. Thrombin Generation
2.2.5. Fibrinogenolytic Activity
2.2.6. Factor X and Prothrombin Cleavage
3. Materials and Methods
3.1. Venom Samples
3.2. Plasma
3.3. Enzyme Activity Assays
3.3.1. Snake Venom Phospholipase A2 Activity (PLA2)
3.3.2. Snake Venom Metalloprotease (SVMP) and Serine Protease (SVSP) Activity
3.4. Venom-Induced Coagulant Activity
3.4.1. Coagulometric Assays Using STA-R Max®
3.4.2. Thromboelastography on Plasma and Fibrinogen
3.4.3. Fibrinogen Gels
3.4.4. Thrombin Generation–Calibrated Automated Thrombography (CAT)
3.4.5. Factor X and Prothrombin Activation
3.5. Statistics
4. Conclusions
Supplementary Materials
Author Contributions
Funding
Institutional Review Board Statement
Informed Consent Statement
Data Availability Statement
Conflicts of Interest
References
- Schendel, V.; Rash, L.D.; Jenner, R.A.; Undheim, E.A. The diversity of venom: The importance of behavior and venom system morphology in understanding its ecology and evolution. Toxins 2019, 11, 666. [Google Scholar] [CrossRef] [PubMed]
- Khaing, E.M.; Hurtado, P.R.; Hurtado, E.; Zaw, A.; White, J.; Warrell, D.A.; Alfred, S.; Mahmood, M.A.; Peh, C.A. Development of an ELISA assay to determine neutralising capacity of horse serum following immunisation with Daboia siamensis venom in Myanmar. Toxicon 2018, 151, 163–168. [Google Scholar] [CrossRef]
- Khan, M.A.; Dashevsky, D.; Kerkkamp, H.; Kordiš, D.; de Bakker, M.A.G.; Wouters, R.; Van Thiel, J.; Vonk, F.; Manjunatha Kini, R.; Nazir, J.; et al. Widespread Evolution of Molecular Resistance to Snake Venom α-Neurotoxins in Vertebrates. Toxins 2020, 12, 638. [Google Scholar] [CrossRef]
- Slagboom, J.; Kool, J.; Harrison, R.A.; Casewell, N.R. Haemotoxic snake venoms: Their functional activity, impact on snakebite victims and pharmaceutical promise. Br. J. Haematol. 2017, 177, 947–959. [Google Scholar] [CrossRef]
- Kasturiratne, A.; Wickremasinghe, A.R.; de Silva, N.; Gunawardena, N.K.; Pathmeswaran, A.; Premaratna, R.; Savioli, L.; Lalloo, D.G.; de Silva, H.J. The global burden of snakebite: A literature analysis and modelling based on regional estimates of envenoming and deaths. PLoS Med. 2008, 5, e218. [Google Scholar] [CrossRef] [PubMed]
- Hung, D.-Z.; Wu, M.-L.; Deng, J.-F.; Lin-Shiau, S.-Y. Russell’s viper snakebite in Taiwan: Differences from other Asian countries. Toxicon 2002, 40, 1291–1298. [Google Scholar] [CrossRef]
- Pla, D.; Sanz, L.; Quesada-Bernat, S.; Villalta, M.; Baal, J.; Chowdhury, M.A.W.; León, G.; Gutiérrez, J.M.; Kuch, U.; Calvete, J.J. Phylovenomics of Daboia russelii across the Indian subcontinent. Bioactivities and Comparative in vivo neutralization and in vitro third-generation antivenomics of antivenoms against venoms from India, Bangladesh and Sri Lanka. J. Proteomics 2019, 207, 103443. [Google Scholar] [CrossRef] [PubMed]
- Thorpe, R.S.; Pook, C.E.; Malhotra, A. Phylogeography of the Russell’s viper (Daboia russelii) complex in relation to variation in the colour pattern and symptoms of envenoming. Herpetol. J. 2007, 17, 209–218. [Google Scholar]
- Phillips, R.E.; Theakston, R.D.G.; Warrell, D.A.; Galigedara, Y.; Abeysekera, D.; Dissanayaka, P.; Hutton, R.A.; Aloysius, D.J. Paralysis, rhabdomyolysis and haemolysis caused by bites of Russell’s viper (Vipera russelli pulchella) in Sri Lanka: Failure of Indian (Haffkine) antivenom. QJM Int. J. Med. 1988, 68, 691–715. [Google Scholar]
- Prasad, N.B.; Uma, B.; Bhatt, S.K.; Gowda, V.T. Comparative characterisation of Russell’s viper (Daboia/Vipera russelli) venoms from different regions of the Indian peninsula. Biochim. Biophys. Acta (BBA) Gen. Subj. 1999, 1428, 121–136. [Google Scholar] [CrossRef]
- Kumar, A.M.; Gowda, T.V. Novel non-enzymatic toxic peptide of Daboia russelii (Eastern region) venom renders commercial polyvalent antivenom ineffective. Toxicon 2006, 47, 398–408. [Google Scholar] [CrossRef] [PubMed]
- Kalita, B.; Patra, A.; Das, A.; Mukherjee, A.K. Proteomic analysis and immuno-profiling of eastern India Russell’s Viper (Daboia russelii) venom: Correlation between RVV composition and clinical manifestations post RV bite. J. Proteome Res. 2018, 17, 2819–2833. [Google Scholar] [CrossRef] [PubMed]
- Sharma, M.; Das, D.; Iyer, J.K.; Kini, R.M.; Doley, R. Unveiling the complexities of Daboia russelii venom, a medically important snake of India, by tandem mass spectrometry. Toxicon 2015, 107, 266–281. [Google Scholar] [CrossRef]
- Senji Laxme, R.; Khochare, S.; Attarde, S.; Suranse, V.; Iyer, A.; Casewell, N.R.; Whitaker, R.; Martin, G.; Sunagar, K. Biogeographic venom variation in Russell’s viper (Daboia russelii) and the preclinical inefficacy of antivenom therapy in snakebite hotspots. PLoS Negl. Trop. Dis. 2021, 15, e0009247. [Google Scholar] [CrossRef] [PubMed]
- Mukherjee, A.K.; Kalita, B.; Mackessy, S.P. A proteomic analysis of Pakistan Daboia russelii russelii venom and assessment of potency of Indian polyvalent and monovalent antivenom. J. Proteomics 2016, 144, 73–86. [Google Scholar] [CrossRef] [PubMed]
- Hashmi, S.U.; Alvi, A.; Munir, I.; Perveen, M.; Fazal, A.; Jackson, T.N.W.; Ali, S.A. Functional venomics of the Big-4 snakes of Pakistan. Toxicon 2020, 179, 60–71. [Google Scholar] [CrossRef]
- Suzuki, M.; Itoh, T.; BM, A.; Athauda, S.B.; Moriyama, A. Molecular diversity in venom proteins of the Russell’s viper (Daboia russellii russellii) and the Indian cobra (Naja naja) in Sri Lanka. Biomed. Res. 2010, 31, 71–81. [Google Scholar] [CrossRef] [PubMed][Green Version]
- Rucavado, A.; Escalante, T.; Camacho, E.; Gutiérrez, J.M.; Fox, J.W. Systemic vascular leakage induced in mice by Russell’s viper venom from Pakistan. Sci. Rep. 2018, 8, 16088. [Google Scholar] [CrossRef]
- Faisal, T.; Tan, K.Y.; Sim, S.M.; Quraishi, N.; Tan, N.H.; Tan, C.H. Proteomics, functional characterization and antivenom neutralization of the venom of Pakistani Russell’s viper (Daboia russelii) from the wild. J. Proteomics 2018, 183, 1–13. [Google Scholar] [CrossRef] [PubMed]
- Tan, N.H.; Fung, S.Y.; Tan, K.Y.; Yap, M.K.K.; Gnanathasan, C.A.; Tan, C.H. Functional venomics of the Sri Lankan Russell’s viper (Daboia russelii) and its toxinological correlations. J. Proteomics 2015, 128, 403–423. [Google Scholar] [CrossRef] [PubMed]
- Risch, M.; Georgieva, D.; Von Bergen, M.; Jehmlich, N.; Genov, N.; Arni, R.K.; Betzel, C. Snake venomics of the Siamese Russell’s viper (Daboia russelli siamensis)—Relation to pharmacological activities. J. Proteomics 2009, 72, 256–269. [Google Scholar] [CrossRef] [PubMed]
- Sanz, L.; Quesada-Bernat, S.; Chen, P.; Lee, C.; Chiang, J.; Calvete, J. Translational Venomics: Third-Generation Antivenomics of Anti-Siamese Russell’s Viper, Daboia siamensis, Antivenom Manufactured in Taiwan CDC’s Vaccine Center. Trop. Med. Infect. Dis. 2018, 3, 66. [Google Scholar] [CrossRef] [PubMed]
- Suwansrinon, K.; Khow, O.; Mitmoonpitak, C.; Daviratanasilpa, S.; Chaiyabutr, N.; Sitprija, V. Effects of Russell’s viper venom fractions on systemic and renal hemodynamics. Toxicon 2007, 49, 82–88. [Google Scholar] [CrossRef]
- Sai-Ngam, A.; Phongtananant, S.; Nuchprayoon, I. Phospholipase A2 genes and their expressions in Thai Russell’s viper venom glands. Toxicon 2008, 52, 395–399. [Google Scholar] [CrossRef]
- Chen, H.-S.; Tsai, H.-Y.; Wang, Y.-M.; Tsai, I.-H. P-III hemorrhagic metalloproteinases from Russell’s viper venom: Cloning, characterization, phylogenetic and functional site analyses. Biochimie 2008, 90, 1486–1498. [Google Scholar] [CrossRef] [PubMed]
- Tsai, I.-H.; Tsai, H.-Y.; Wang, Y.-M.; Warrell, D.A. Venom phospholipases of Russell’s vipers from Myanmar and eastern India—Cloning, characterization and phylogeographic analysis. Biochim. Biophys. Acta (BBA) Proteins Proteomics 2007, 1774, 1020–1028. [Google Scholar] [CrossRef] [PubMed]
- Yee, K.T.; Rojnuckarin, P. Complementary DNA library of Myanmar Russell’s viper (Daboia russelii siamensis) venom gland. Comp. Biochem. Phys. Part C Toxicol. Pharmacol. 2020, 227, 108634. [Google Scholar] [CrossRef] [PubMed]
- Lingam, T.M.C.; Tan, K.Y.; Tan, C.H. Thai Russell’s viper monospecific antivenom is immunoreactive and effective in neutralizing the venom of Daboia siamensis from Java, Indonesia. Toxicon 2019, 168, 95–97. [Google Scholar] [CrossRef]
- Lingam, T.M.C.; Tan, K.Y.; Tan, C.H. Proteomics and antivenom immunoprofiling of Russell’s viper (Daboia siamensis) venoms from Thailand and Indonesia. J. Venom. Anim. Toxins Incl. Trop. Dis. 2020, 26, e20190048. [Google Scholar] [CrossRef]
- Chafiq, F.; El Hattimy, F.; Rhalem, N.; Chippaux, J.-P.; Soulaymani, A.; Mokhtari, A.; Soulaymani-Bencheikh, R. Snakebites notified to the poison control center of Morocco between 2009 and 2013. J. Venom. Anim. Toxins Incl. Trop. Dis. 2016, 22, 8. [Google Scholar] [CrossRef] [PubMed][Green Version]
- Makran, B.; Fahmi, L.; Pla, D.; Sanz, L.; Oukkache, N.; Lkhider, M.; Ghalim, N.; Calvete, J.J. Snake venomics of Macrovipera mauritanica from Morocco, and assessment of the para-specific immunoreactivity of an experimental monospecific and a commercial antivenoms. J. Proteomics 2012, 75, 2431–2441. [Google Scholar] [CrossRef] [PubMed]
- Pivko-Levy, D.; Munchnak, I.; Rimon, A.; Balla, U.; Scolnik, D.; Hoyte, C.; Voliovitch, Y.; Glatstein, M. Evaluation of antivenom therapy for Vipera palaestinae bites in children: Experience of two large, tertiary care pediatric hospitals. Clin. Toxicol. 2017, 55, 235–240. [Google Scholar] [CrossRef]
- Bentur, Y.; Zveibel, F.; Adler, M.; Raikhlin, B. Delayed administration of Vipera xanthina palaestinae antivenin. J. Toxicol. Clin. Toxicol. 1997, 35, 257–261. [Google Scholar] [CrossRef] [PubMed]
- Blum, A.; Tatur, I.; Simsolo, C. Vipera palaestinae envenomation-induced bradycardia. Eur. J. Intern. Med. 2004, 15, 134. [Google Scholar] [CrossRef]
- Oukkache, N.; Lalaoui, M.; Ghalim, N. General characterization of venom from the Moroccan snakes Macrovipera mauritanica and Cerastes cerastes. J. Venom. Anim. Toxins Incl. Trop. Dis. 2012, 18, 411–420. [Google Scholar] [CrossRef]
- Lee, E.H.; Park, J.E.; Park, J.W.; Lee, J.S. Purification and biochemical characterization of a fibrin (ogen) olytic metalloprotease from Macrovipera mauritanica snake venom which induces vascular permeability. Int. J. Mol. Med. 2014, 34, 1180–1190. [Google Scholar] [CrossRef] [PubMed]
- Fahmi, L.; Makran, B.; Boussadda, L.; Lkhider, M.; Ghalim, N. Haemostasis disorders caused by envenomation by Cerastes cerastes and Macrovipera mauritanica vipers. Toxicon 2016, 116, 43–48. [Google Scholar] [CrossRef] [PubMed]
- Bentur, Y.; Cahana, A. Unusual local complications of Vipera palaestinae bite. Toxicon 2003, 41, 633–635. [Google Scholar] [CrossRef]
- Križaj, I.; Bdolah, A.; Gubenšek, F.; Benčina, P.; Pungerčar, J. Protein and cDNA Structures of an Acidic Phospholipase A2, the Enzymatic Part of an Unusual, Two-Component Toxin from Vipera palaestinae. Biochem. Biophys. Res. Commun. 1996, 227, 374–379. [Google Scholar] [CrossRef]
- Ovadia, M. Isolation and characterization of three hemorrhagic factors from the venom of Vipera palaestinae. Toxicon 1978, 16, 479–487. [Google Scholar] [CrossRef]
- Venkatesh, M.; Gowda, V. Synergistically acting PLA2: Peptide hemorrhagic complex from Daboia russelii venom. Toxicon 2013, 73, 111–120. [Google Scholar] [CrossRef]
- Sharma, M.; Iyer, J.K.; Shih, N.; Majumder, M.; Mattaparthi, V.S.K.; Mukhopadhyay, R.; Doley, R. Daboxin p, a major phospholipase A2 enzyme from the indian Daboia russelii russelii venom targets factor x and factor xa for its anticoagulant activity. PLoS ONE 2016, 11, e0153770. [Google Scholar] [CrossRef] [PubMed]
- Kumar, J.; Basavarajappa, B.S.; Vishwanath, B.; Gowda, T.V. Biochemical and pharmacological characterization of three toxic phospholipase A2s from Daboia russelii snake venom. Comp. Biochem. Physiol. Part C Toxicol. Pharmacol. 2015, 168, 28–38. [Google Scholar] [CrossRef] [PubMed]
- Saikia, D.; Thakur, R.; Mukherjee, A.K. An acidic phospholipase A2 (RVVA-PLA2-I) purified from Daboia russelli venom exerts its anticoagulant activity by enzymatic hydrolysis of plasma phospholipids and by non-enzymatic inhibition of factor Xa in a phospholipids/Ca2+ independent manner. Toxicon 2011, 57, 841–850. [Google Scholar] [CrossRef]
- Daltry, J.C.; Wüster, W.; Thorpe, R.S. Diet and snake venom evolution. Nature 1996, 379, 537–540. [Google Scholar] [CrossRef] [PubMed]
- Jackson, T.N.; Koludarov, I.; Ali, S.A.; Dobson, J.; Zdenek, C.N.; Dashevsky, D.; Op den Brouw, B.; Masci, P.P.; Nouwens, A.; Josh, P. Rapid radiations and the race to redundancy: An investigation of the evolution of Australian elapid snake venoms. Toxins 2016, 8, 309. [Google Scholar] [CrossRef] [PubMed]
- Andrade, D.V.; Abe, A.S. Relationship of venom ontogeny and diet in Bothrops. Herpetologica 1999, 55, 200–204. [Google Scholar]
- Phelps, T. Old World Vipers, a Natural History of the Azemiopinae and Viperinae; Edition Chimaira: Frankfurt, Germany, 2010. [Google Scholar]
- Martínez-Freiría, F.; Crochet, P.-A.; Fahd, S.; Geniez, P.; Brito, J.C.; Velo-Antón, G. Integrative phylogeographical and ecological analysis reveals multiple Pleistocene refugia for Mediterranean Daboia vipers in north-west Africa. Biol. J. Linn. Soc. 2017, 122, 366–384. [Google Scholar] [CrossRef]
- Wolberg, A.S. Thrombin generation and fibrin clot structure. Blood Rev. 2007, 21, 131–142. [Google Scholar] [CrossRef]
- Wolberg, A.S.; Campbell, R.A. Thrombin generation, fibrin clot formation and hemostasis. Transfus. Apher. Sci. 2008, 38, 15–23. [Google Scholar] [CrossRef]
- Swenson, S.; Markland, F., Jr. Snake venom fibrin (ogen) olytic enzymes. Toxicon 2005, 45, 1021–1039. [Google Scholar] [CrossRef] [PubMed]
- Kattula, S.; Byrnes, J.R.; Wolberg, A.S. Fibrinogen and Fibrin in Hemostasis and Thrombosis. Arterioscler. Thromb. Vasc. Biol. 2017, 37, e13–e21. [Google Scholar] [CrossRef]
- Teixeira, C.; Fernandes, C.M.; Leiguez, E.; Chudzinski-Tavassi, A.M. Inflammation Induced by Platelet-Activating Viperid Snake Venoms: Perspectives on Thromboinflammation. Front. Immunol. 2019, 10, 2082. [Google Scholar] [CrossRef] [PubMed]
- Dehghani, R.; Fathi, B.; Panjeh Shahi, M.; Jazayeri, M. Ten years of snakebite in Iran. Toxicon 2014, 90, 291–298. [Google Scholar] [CrossRef]
- Mukherjee, A.K. The pro-coagulant fibrinogenolytic serine protease isoenzymes purified from Daboia russelii russelii venom coagulate the blood through factor V activation: Role of glycosylation on enzymatic activity. PLoS ONE 2014, 9, e86823. [Google Scholar] [CrossRef] [PubMed]
- Segers, K.; Rosing, J.; Nicolaes, G.A.F. Structural models of the snake venom factor V activators from Daboia russelli and Daboia lebetina. Proteins Struct. Funct. Bioinform. 2006, 64, 968–984. [Google Scholar] [CrossRef] [PubMed]
- Chowdhury, A.; Zdenek, C.N.; Dobson, J.S.; Bourke, L.A.; Soria, R.; Fry, B.G. Clinical implications of differential procoagulant toxicity of the palearctic viperid genus Macrovipera, and the relative neutralization efficacy of antivenoms and enzyme inhibitors. Toxicol. Lett. 2021, 340, 77–88. [Google Scholar] [CrossRef] [PubMed]
- Kini, R.M.; Koh, C.Y. Metalloproteases affecting blood coagulation, fibrinolysis and platelet aggregation from snake venoms: Definition and nomenclature of interaction sites. Toxins 2016, 8, 284. [Google Scholar] [CrossRef] [PubMed]
- Yamada, D.; Sekiya, F.; Morita, T. Prothrombin and factor X activator activities in the venoms of Viperidae snakes. Toxicon 1997, 35, 1581–1589. [Google Scholar] [CrossRef]
- Thakur, R.; Chattopadhyay, P.; Ghosh, S.S.; Mukherjee, A.K. Elucidation of procoagulant mechanism and pathophysiological significance of a new prothrombin activating metalloprotease purified from Daboia russelii russelii venom. Toxicon 2015, 100, 1–12. [Google Scholar] [CrossRef]
- Krishnaswamy, S. The transition of prothrombin to thrombin. J. Thromb. Haemost. 2013, 11, 265–276. [Google Scholar] [CrossRef] [PubMed]
- Rabiet, M.; Blashill, A.; Furie, B.; Furie, B. Prothrombin fragment 1 X 2 X 3, a major product of prothrombin activation in human plasma. J. Biol. Chem. 1986, 261, 13210–13215. [Google Scholar] [CrossRef]
- op den Brouw, B. Characterising Venom Variation and Antivenom Effectiveness within the “True” Vipers (Viperinae: Viperidae). Ph.D. Thesis, The University of Queensland, UQ eSpace, Brisbane, Australia, 2020. [Google Scholar]
- Pucca, M.B.; Ahmadi, S.; Cerni, F.A.; Ledsgaard, L.; Sørensen, C.V.; McGeoghan, F.T.; Stewart, T.; Schoof, E.; Lomonte, B.; Arantes, E.C. Unity Makes Strength: Exploring Intraspecies and Interspecies Toxin Synergism between Phospholipases A2 and Cytotoxins. Front. Pharmacol. 2020, 11, 611. [Google Scholar] [CrossRef] [PubMed]
- Mikaelsson, M. The role of calcium in coagulation and anticoagulation. In Coagulation and Blood Transfusion; Springer: New York, NY, USA, 1991; pp. 29–37. [Google Scholar]








| Venom | Locality | Known Details |
|---|---|---|
| D. deserti | Tunisia | Commercially sourced from Latoxan, France. Pooled from captive individuals. |
| D. mauritanica | Morocco | Commercially sourced from Latoxan, France. Pooled from captive individuals. |
| D. palaestinae | Israel | Obtained from a captive individual in Europe by authors BGF and FJV. |
| D. palaestinae | Israel | Obtained from a captive individual in Europe by authors BGF and FJV. |
| D. palaestinae | Unknown | Obtained from a captive individual in Europe by authors BGF and FJV. |
| D. russelii | India | Historical venom sample collected from a single individual that arrived in the United Kingdom (UK) on a boat shipment from Mumbai, India in 1998, and maintained in the Liverpool School of Tropical Medicine (LSTM) herpetarium until 2002 |
| D. russelii | Sri Lanka | Commercially sourced from Latoxan, France. Pooled from captive individuals. |
| D. russelii | Pakistan | Thatta District (24°44′46″ N 67°55′28″ E) Sindh province, Pakistan by SAA. |
| D. siamensis | Myanmar | Commercially sourced from Latoxan, France. Pooled from captive individuals. |
| D. siamensis | Thailand | Commercially sourced from Latoxan, France. Pooled from captive individuals. |
| D. siamensis | Taiwan | Commercially sourced from Latoxan, France. Pooled from captive individuals. |
| D. siamensis | Java | Obtained from a captive individual in Europe by authors BGF and FJV. |
Publisher’s Note: MDPI stays neutral with regard to jurisdictional claims in published maps and institutional affiliations. |
© 2021 by the authors. Licensee MDPI, Basel, Switzerland. This article is an open access article distributed under the terms and conditions of the Creative Commons Attribution (CC BY) license (https://creativecommons.org/licenses/by/4.0/).
Share and Cite
op den Brouw, B.; Coimbra, F.C.P.; Casewell, N.R.; Ali, S.A.; Vonk, F.J.; Fry, B.G. A Genus-Wide Bioactivity Analysis of Daboia (Viperinae: Viperidae) Viper Venoms Reveals Widespread Variation in Haemotoxic Properties. Int. J. Mol. Sci. 2021, 22, 13486. https://doi.org/10.3390/ijms222413486
op den Brouw B, Coimbra FCP, Casewell NR, Ali SA, Vonk FJ, Fry BG. A Genus-Wide Bioactivity Analysis of Daboia (Viperinae: Viperidae) Viper Venoms Reveals Widespread Variation in Haemotoxic Properties. International Journal of Molecular Sciences. 2021; 22(24):13486. https://doi.org/10.3390/ijms222413486
Chicago/Turabian Styleop den Brouw, Bianca, Francisco C. P. Coimbra, Nicholas R. Casewell, Syed Abid Ali, Freek J. Vonk, and Bryan G. Fry. 2021. "A Genus-Wide Bioactivity Analysis of Daboia (Viperinae: Viperidae) Viper Venoms Reveals Widespread Variation in Haemotoxic Properties" International Journal of Molecular Sciences 22, no. 24: 13486. https://doi.org/10.3390/ijms222413486
APA Styleop den Brouw, B., Coimbra, F. C. P., Casewell, N. R., Ali, S. A., Vonk, F. J., & Fry, B. G. (2021). A Genus-Wide Bioactivity Analysis of Daboia (Viperinae: Viperidae) Viper Venoms Reveals Widespread Variation in Haemotoxic Properties. International Journal of Molecular Sciences, 22(24), 13486. https://doi.org/10.3390/ijms222413486

