Preparation of Antimicrobial Coatings from Cross-Linked Copolymers Containing Quaternary Dodecyl-Ammonium Compounds
Abstract
:1. Introduction
2. Results and Discussion
2.1. Synthesis and Characterization of P(VBCDDA-co-AA20) and P(SSAmC12-co-GMA20) Antimicrobial Copolymers
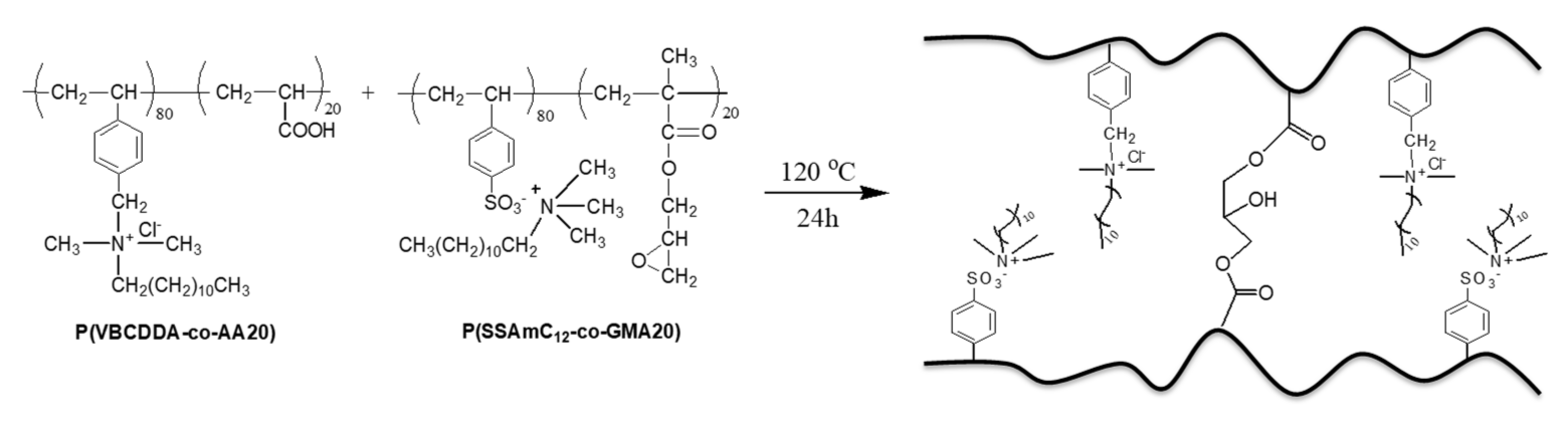
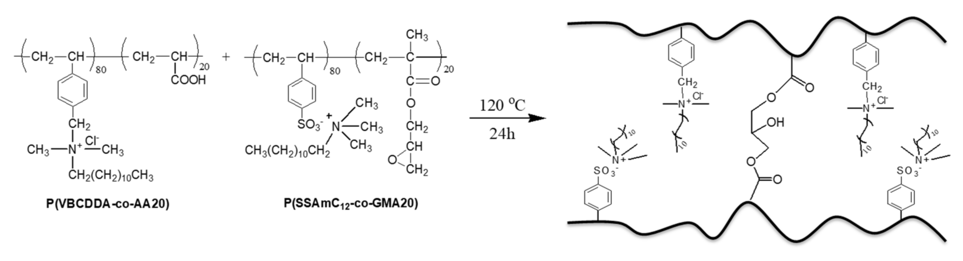
2.2. Cross-Linking Reaction
2.3. Release Studies in Aqueous Environment
2.4. TOC and TN Measurements
2.5. Antimicrobial Activity of the Polymeric Materials
3. Materials and Methods
3.1. Materials
3.2. Synthesis of Copolymers
3.3. Post Polymerization Quaternization
3.3.1. Synthesis of P(VBCDDA-co-AA20)
3.3.2. Synthesis of P(SSAmC12-co-GMA20)
3.4. Cross-Linking Reaction of P(VBCDDA-co-AA20)/P(SSAmC12-co-GMA20)
3.5. Preparation of Samples for Solubility and Release Studies
3.6. Chemical Characterization
3.6.1. Proton Nuclear Magnetic Resonance (1H-NMR)
3.6.2. Attenuated Total Reflection Fourier Transform Infrared Spectroscopy (ATR-FTIR)
3.6.3. Size Exclusion Chromatography (SEC)
3.6.4. Total Organic Carbon (TOC) and Total Nitrogen (TN) Measurements
3.6.5. Scanning Electron Microscopy (SEM)
3.6.6. Thermogravimetric Analysis (TGA)
3.7. Antimicrobial Activity Test
3.7.1. Bacterial Culture Preparation
3.7.2. Cell Viability on Polymeric Coatings
4. Conclusions
Supplementary Materials
Author Contributions
Funding
Institutional Review Board Statement
Informed Consent Statement
Data Availability Statement
Acknowledgments
Conflicts of Interest
References
- Kenawy, E.R.; Worley, S.D.; Broughton, R. The chemistry and applications of antimicrobial polymers: A state-of-the-art review. Biomacromolecules 2007, 8, 1359–1384. [Google Scholar] [CrossRef]
- Shaheen, M.; Anjali, J.; Wahid, K.; Abraham, J.D. Chapter 1: Antimicrobial Materials—An Overview. In Antimicrobial Materials for Biomedical Applications; Royal Society of Chemistry: London, UK, 2019; pp. 1–37. [Google Scholar]
- Ojogbo, E.; Ward, V.; Mekonnen, T. Functionalized Starch Microparticles for Contact—Active Antimicrobial Polymer Surfaces. Carbohydr. Polym. 2019, 229, 115422. [Google Scholar] [CrossRef]
- Yu, H.; Liu, L.; Yang, H.; Zhou, R.; Che, C.; Li, X. Water−Insoluble Polymeric Guanidine Derivative and Application in the Preparation of Antibacterial Coating of Catheter. ACS Appl. Mater. Interfaces 2018, 10, 39257–39267. [Google Scholar] [CrossRef] [PubMed]
- Archana, S.; Sundaramoorthy, B.; Faizullah, M. Review on Impact of Biofouling in Aquafarm Infrastructures. Int. J. Curr. Microbiol. App. Sci. 2019, 8, 2942–2953. [Google Scholar] [CrossRef]
- Fitridge, T.; Dempster, J.; de Nys Guenther, R. The impact and control of biofouling in marine aquaculture: A review. Biofouling 2012, 28, 649–669. [Google Scholar] [CrossRef] [PubMed]
- Muñoz-Bonilla, A.; Fernández-García, M. Polymeric materials with antimicrobial activity. Prog. Polym. Sci. 2012, 37, 281–339. [Google Scholar] [CrossRef]
- Yang, Y.; Cai, Z.; Huang, Z.; Tang, X.; Zhang, X. Antimicrobial cationic polymers: From structural design to functional control. Polym. J. 2018, 50, 33–44. [Google Scholar] [CrossRef]
- Rahman, A.; Jui, M.S.; Bam, M.; Cha, Y.; Luat, E.; Alabresm, A. Facial Amphiphilicity−Induced Polymer Nanostructures for Antimicrobial Applications. ACS Appl. Mater. Interfaces 2020, 12, 21221–21230. [Google Scholar] [CrossRef] [PubMed]
- Jung, J.; Bae, Y.; Kwan, C.Y.; Ren, X.; Sun, Y. Structural insights into conformation of amphiphilic quaternary ammonium chitosans to control fungicidal and anti−biofilm functions. Carbohydr. Polym. 2020, 228, 115391. [Google Scholar] [CrossRef] [PubMed]
- Druvari, D.; Koromilas, N.D.; Bekiari, V.; Bokias, G.; Kallitsis, J.K. Polymeric antimicrobial coatings based on quaternary ammonium compounds. Coatings 2018, 8, 8. [Google Scholar] [CrossRef] [Green Version]
- Jennings, M.C.; Minbiole, K.P.C.; Wuest, W.M. Quaternary Ammonium Compounds: An Antimicrobial Mainstay and Platform for Innovation to Address Bacterial Resistance. ACS Infect. Dis. 2016, 1, 288–303. [Google Scholar] [CrossRef] [PubMed]
- Timofeeva, L.; Kleshcheva, N. Antimicrobial polymers: Mechanism of action, factors of activity, and applications. Appl. Microbiol. Biotechnol. 2011, 89, 475–492. [Google Scholar] [CrossRef] [PubMed]
- Gao, J.; White, E.M.; Liu, Q.H.; Locklin, J. Evidence for the Phospholipid Sponge Effect as the Biocidal Mechanism in Surface–Bound Polyquaternary Ammonium Coatings with Variable Cross–Linking Density. ACS Appl. Mater. Interfaces 2017, 9, 7745–7751. [Google Scholar] [CrossRef] [PubMed]
- Buffet-Bataillon, S.; Tattevin, P.; Bonnaure-Mallet, M.; Jolivet-Gougeon, A. Emergence of resistance to antibacterial agents: The role of quaternary ammonium compounds a critical review. Int. J. Antimicrob. Agents 2012, 39, 381–389. [Google Scholar] [CrossRef] [PubMed]
- Li, F.; Weir, M.D.; Xu, H.H.K. Effects of Quaternary Ammonium Chain Length on Antibacterial Bonding Agents. J. Dent. Res. 2013, 92, 932–938. [Google Scholar] [CrossRef] [Green Version]
- Li, M.; Liu, X.H.; Liu, N.; Guo, Z.H.; Singh, P.K.; Fu, S.Y. Effect of surface wettability on the antibacterial activity of nanocellulose–based material with quaternary ammonium groups. Colloids Surf. A 2018, 554, 122–128. [Google Scholar] [CrossRef]
- Inácio, Â.S.; Domingues, N.S.; Nunes, A.; Martins, P.T.; Moreno, M.J.; Estronca, L.M. Quaternary ammonium surfactant structure determines selective toxicity towards bacteria: Mechanisms of action and clinical implications in antibacterial prophylaxis. J. Antimicrob. Chemother. 2016, 71, 641–654. [Google Scholar] [CrossRef] [Green Version]
- Yan, J.; Zheng, L.; Hu, K.; Li, L.; Li, C.; Zhu, L. Cationic polyesters with antibacterial properties: Facile and controllable synthesis and antibacterial study. Eur. Polym. J. 2019, 110, 41–48. [Google Scholar] [CrossRef]
- Song, J.; Chen, P.; Liu, W. A Superhydrophobic and Antibacterial Surface Coated on Cotton Fabrics by Polydopamine. Fibers Polym. 2019, 20, 1380–1386. [Google Scholar] [CrossRef]
- Liu, Y.; Li, M.; Qiao, M.; Ren, X.; Huang, T.S.; Buschle-Diller, G. Antibacterial membranes based on chitosan and quaternary ammonium salts modified nanocrystalline cellulose. Polym. Adv. Technol. 2017, 28, 1629–1635. [Google Scholar] [CrossRef]
- Ryšánek, P.; Čapková, P.; Štojdl, J.; Trögl, J.; Benada, O.; Kormunda, M. Stability of antibacterial modification of nanofibrous PA6/DTAB membrane during air filtration. Mater. Sci. Eng. C 2019, 96, 807–813. [Google Scholar] [CrossRef]
- Sharma, V.K.; Srinivasan, H.; Mitra, S.; Garcia-Sakai, V.; Mukhopadhyay, R. Effects of Hydrotropic Salt on the Nanoscopic Dynamics of DTAB Micelles. J. Phys. Chem. B 2017, 121, 5562–5572. [Google Scholar] [CrossRef] [PubMed]
- Smith, A.R.W.; Lambert, P.A. Antimicrobial action of N-(n-dodecyl)diethanolamine 2 on Escherichia coli: Effects on enzymes and growing cultures. J. Appl. Microbiol. 2008, 105, 2161–2168. [Google Scholar] [CrossRef]
- Zhu, P.; Liu, D.; Dai, S.; Wang, B.; Lu, H.; Huang, Z. Redox and pH Dual-Responsive Emulsion Using Ferrocenecarboxylic Acid and N,N-Dimethyldodecylamine. Langmuir 2020, 36, 2368–2374. [Google Scholar] [CrossRef] [PubMed]
- Konai, M.M.; Bhattacharjee, B.; Ghosh, S.; Haldar, J. Recent Progress in Polymer Research to Tackle Infections and Antimicrobial Resistance. Biomacromolecules 2018, 19, 1888–1917. [Google Scholar] [CrossRef] [PubMed]
- Kougia, E.; Tselepi, M.; Vasilopoulos, G.; Lainioti, G.C.; Koromilas, N.D.; Druvari, D.; Bokias, G.; Vantarakis, A.; Kallitsis, J.K. Evaluation of Antimicrobial Efficiency of New Polymers Comprised by Covalently Attached and/or Electrostatically Bound Bacteriostatic Species, Based on Quaternary Ammonium Compounds. Molecules 2015, 20, 21313–21327. [Google Scholar] [CrossRef] [PubMed]
- Druvari, D.; Koromilas, N.D.; Lainioti, G.C.; Bokias, G.; Vasilopoulos, G.; Vantarakis, A.; Baras, I.; Dourala, N.; Kallitsis, J.K. Polymeric Quaternary Ammonium−Containing Coatings with Potential Dual Contact−Based and Release−Based Antimicrobial Activity. ACS Appl. Mater. Inter. 2016, 8, 35593–35605. [Google Scholar] [CrossRef] [PubMed]
- Lainioti, G.C.; Savva, P.; Druvari, D.; Avramidis, P.; Panagiotaras, D.; Karellou, E.I.E.; Kallitsis, J.K. Cross-linking of antimicrobial polymers with hexamethylene diamine to prevent biofouling in marine applications. Prog. Org. Coat. 2021, 157, 106336. [Google Scholar] [CrossRef]
- Lainioti, G.C.; Tsapikouni, A.; Druvari, D.; Avramidis, P.; Prevedouros, I.; Glaropoulos, A.; Kallitsis, J.K. Environmentally Friendly Cross-Linked Antifouling Coatings Based on Dual Antimicrobial Action. Int. J. Mol. Sci. 2021, 22, 4658. [Google Scholar] [CrossRef] [PubMed]
- Tzoumani, I.; Lainioti, G.C.; Aletras, A.J.; Zainescu, G.; Stefan, S.; Meghea, A.; Kallitsis, J.K. Modification of Collagen Derivatives with Water−Soluble Polymers for the Development of Cross−Linked Hydrogels for Controlled Release. Materials 2019, 12, 4067. [Google Scholar] [CrossRef] [PubMed] [Green Version]
- Ozaki, T.; Koto, T.; Nguyen, T.V.; Nakanishi, H.; Norisuye, T.; Tran-Cong-Miyata, Q. The roles of the Trommsdorff–Norrish effect in phase separation of binary polymer mixtures induced by photopolymerization. Polymers 2014, 55, 1809–1816. [Google Scholar] [CrossRef]
- Viana, R.B.; Da Silva, A.B.F.; Pimentel, A.S. Infrared Spectroscopy of Anionic, Cationic, and Zwitterionic Surfactants. Adv. Phys. Chem. 2012, 2012, 1–14. [Google Scholar] [CrossRef] [Green Version]
- Ikeda, T.; Tazuke, S. Synthesis and antimicrobial activity of poly(trialkylvinylbenzylammonium ch1oride)s. Makromol. Chem. 1984, 185, 869–876. [Google Scholar] [CrossRef]
- Tan, J.; Zhao, Y.; Hedrick, J.L.; Yang, Y.Y. Effects of Hydrophobicity on Antimicrobial Activity, Selectivity, and Functional Mechanism of Guanidinium−Functionalized Polymers. Adv. Healthc. Mater. 2021, 2100482. [Google Scholar] [CrossRef] [PubMed]
- Lainioti, G.C.; Bounos, G.; Voyiatzis, G.A.; Kallitsis, J.K. Enhanced Water Vapor Transmission through Porous Membranes Based on Melt Blending of Polystyrene Sulfonate with Polyethylene Copolymers and Their CNT Nanocomposites. Polymers 2016, 8, 190. [Google Scholar] [CrossRef] [PubMed]
- Bekiari, V.; Avramidis, P. Erratum to Data quality in water analysis: Validation of combustion−infrared and combustion−chemiluminescence methods for the simultaneous determination of Total Organic Carbon (TOC) Total Nitrogen (TN). Int. J. Environ. Anal. Chem. 2014, 94, 65–76. [Google Scholar] [CrossRef]









| Membranes’ Code | Equivalents’ Ratio (eq AA/eq GMA) | Solvent | Composition (w/w %) | Quality a |
|---|---|---|---|---|
| M1 | 1/1 | EtOH | 60/40 | + |
| M2 | 1/1 | H2O 3D | 60/40 | + |
| M3 | 1/1 | DMF | 60/40 | + |
| M4 | 1/1 | CHCl3 | 60/40 | +++ |
| M5 | 4/1 | CHCl3 | 80/20 | ++ |
| M6 | 1/4 | CHCl3 | 20/80 | +++ |
| Code | Dried at RT | Cured at 120 °C | ||||
|---|---|---|---|---|---|---|
| CHCl3 | NaCl 1 M | H2O 3D | CHCl3 | NaCl 1 M | H2O 3D | |
| M4 | Partially soluble | Partially soluble | Partially soluble | Insoluble | Insoluble | Insoluble |
| M5 | Soluble | Partially soluble | Soluble | Partially soluble | Partially soluble | Partially soluble |
| M6 | Partially soluble | Partially Soluble | Partially soluble | Partially soluble | Partially soluble | Insoluble |
Publisher’s Note: MDPI stays neutral with regard to jurisdictional claims in published maps and institutional affiliations. |
© 2021 by the authors. Licensee MDPI, Basel, Switzerland. This article is an open access article distributed under the terms and conditions of the Creative Commons Attribution (CC BY) license (https://creativecommons.org/licenses/by/4.0/).
Share and Cite
Druvari, D.; Antonopoulou, A.; Lainioti, G.C.; Vlamis-Gardikas, A.; Bokias, G.; Kallitsis, J.K. Preparation of Antimicrobial Coatings from Cross-Linked Copolymers Containing Quaternary Dodecyl-Ammonium Compounds. Int. J. Mol. Sci. 2021, 22, 13236. https://doi.org/10.3390/ijms222413236
Druvari D, Antonopoulou A, Lainioti GC, Vlamis-Gardikas A, Bokias G, Kallitsis JK. Preparation of Antimicrobial Coatings from Cross-Linked Copolymers Containing Quaternary Dodecyl-Ammonium Compounds. International Journal of Molecular Sciences. 2021; 22(24):13236. https://doi.org/10.3390/ijms222413236
Chicago/Turabian StyleDruvari, Denisa, Aggeliki Antonopoulou, Georgia C. Lainioti, Alexios Vlamis-Gardikas, Georgios Bokias, and Joannis K. Kallitsis. 2021. "Preparation of Antimicrobial Coatings from Cross-Linked Copolymers Containing Quaternary Dodecyl-Ammonium Compounds" International Journal of Molecular Sciences 22, no. 24: 13236. https://doi.org/10.3390/ijms222413236
APA StyleDruvari, D., Antonopoulou, A., Lainioti, G. C., Vlamis-Gardikas, A., Bokias, G., & Kallitsis, J. K. (2021). Preparation of Antimicrobial Coatings from Cross-Linked Copolymers Containing Quaternary Dodecyl-Ammonium Compounds. International Journal of Molecular Sciences, 22(24), 13236. https://doi.org/10.3390/ijms222413236

