Using a Cellular System to Directly Assess the Effects of Cosmetic Microemulsion Encapsulated DeoxyArbutin
Abstract
1. Introduction
2. Results and Discussion
2.1. Formulation of the Microemulsion Encapsulating dA
2.2. Stability Analysis of the Microemulsions Encapsulating dA
2.3. Cytotoxicity Analysis of the Microemulsions Encapsulating dA
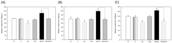
2.4. Efficacy of the Microemulsions Encapsulating dA
3. Materials and Methods
3.1. Materials
3.2. Microemulsion Preparation
3.3. Transparency Analysis and Pseudo-ternary Phase Diagram Drawing
3.4. Particle Size Analysis
3.5. Stability Analysis
3.6. Cell Lines and Cell Culture
3.7. MTT Analysis
3.8. Melanin Content Analysis
3.9. Statistical Analysis
4. Conclusions
Author Contributions
Funding
Informed Consent Statement
Data Availability Statement
Conflicts of Interest
References
- Miao, F.; Shi, Y.; Fan, Z.-F.; Jiang, S.; Xu, S.-Z.; Lei, T.-C. Deoxyarbutin Possesses a Potent Skin-Lightening Capacity with No Discernible Cytotoxicity against Melanosomes. PLoS ONE 2016, 11, e0165338. [Google Scholar] [CrossRef] [PubMed]
- Boissy, R.E.; Visscher, M.; DeLong, M.A. DeoxyArbutin: A novel reversible tyrosinase inhibitor with effective in vivo skin lightening potency. Exp. Dermatol. 2005, 14, 601–608. [Google Scholar] [CrossRef] [PubMed]
- Chang, N.-F.; Chen, Y.-S.; Lin, Y.-J.; Tai, T.-H.; Chen, A.-N.; Huang, C.-H.; Lin, C.-C. Study of Hydroquinone Mediated Cytotoxicity and Hypopigmentation Effects from UVB-Irradiated Arbutin and DeoxyArbutin. Int. J. Mol. Sci. 2017, 18, 969. [Google Scholar] [CrossRef] [PubMed]
- Yang, C.-H.; Chang, N.-F.; Chen, Y.-S.; Lee, S.-M.; Lin, P.-J.; Lin, C.-C. Comparative study on the photostability of arbutin and deoxy arbutin: Sensitivity to ultraviolet radiation and enhanced photostability by the water-soluble sunscreen, benzophenone-4. Biosci. Biotechnol. Biochem. 2013, 77, 1127–1130. [Google Scholar] [CrossRef] [PubMed]
- Yang, C.-H.; Chen, Y.-S.; Lai, J.-S.; Hong, W.-W.; Lin, C.-C. Determination of the thermodegradation of deoxyArbutin in aqueous solution by high performance liquid chromatography. Int. J. Mol. Sci. 2010, 11, 3977–3987. [Google Scholar] [CrossRef] [PubMed]
- Commission Regulation (EU) 2021/1099. Available online: https://eur-lex.europa.eu/eli/reg/2021/1099/oj (accessed on 5 July 2021).
- Anwar, A.I.; Asmarani, Y.; Madjid, A.; Patellongi, I.; Adriani, A.; As’ad, S.; Kurniadi, I. Comparison of 2% deoxyarbutin and 4% hydroquinone as a depigmenting agent in healthy individuals: A double-blind randomized controlled clinical trial. J. Cosmet. Dermatol. 2021, 20, 3953–3959. [Google Scholar] [CrossRef]
- Al-Adham, I.S.I.; Jaber, N.; Al-Remawi, M.; Al-Akayleh, F.; Al-Kaissi, E.; Agha, A.S.A.A.; Fitzsimmons, L.B.; Collier, P.J. A review of the antimicrobial activity of thermodynamically stable microemulsions. Lett. Appl. Microbiol. 2021. [Google Scholar] [CrossRef]
- Karasulu, H.Y. Microemulsions as novel drug carriers: The formation, stability, applications and toxicity. Expert Opin. Drug. Deliv. 2008, 5, 119–135. [Google Scholar] [CrossRef]
- Tartaro, G.; Mateos, H.; Schirone, D.; Angelico, R.; Palazzo, G. Microemulsion Microstructure(s): A Tutorial Review. Nanomaterials 2020, 10, 1657. [Google Scholar] [CrossRef]
- Scomoroscenco, C.; Teodorescu, M.; Raducan, A.; Stan, M.; Voicu, S.N.; Trica, B.; Ninciuleanu, C.M.; Nistor, C.L.; Mihaescu, C.I.; Petcu, C.; et al. Novel Gel Microemulsion as Topical Drug Delivery System for Curcumin in Dermatocosmetics. Pharmaceutics 2021, 13, 505. [Google Scholar] [CrossRef]
- Kitaoka, M.; Nguyen, T.C.; Goto, M. Water-in-oil microemulsions composed of monoolein enhanced the transdermal delivery of nicotinamide. Int. J. Cosmet. Sci. 2021, 43, 302–310. [Google Scholar] [CrossRef]
- Yoon, A.S.; Sakdiset, P. Development of Microemulsions Containing Glochidion wallichianum Leaf Extract and Potential for Transdermal and Topical Skin Delivery of Gallic Acid. Sci. Pharm. 2020, 88, 53. [Google Scholar] [CrossRef]
- Azeem, A.; Rizwan, M.; Ahmad, F.J.; Khan, Z.I.; Khar, R.K.; Aqil, M.; Talegaonkar, S. Emerging role of microemulsions in cosmetics. Recent Patents Drug Deliv. Formul. 2008, 2, 275–289. [Google Scholar] [CrossRef]
- Callender, S.P.; Mathews, J.A.; Kobernyk, K.; Wettig, S.D. Microemulsion utility in pharmaceuticals: Implications for multi-drug delivery. Int. J. Pharm. 2017, 526, 425–442. [Google Scholar] [CrossRef]
- Kaur, G.; Mehta, S.K. Developments of Polysorbate (Tween) based microemulsions: Preclinical drug delivery, toxicity and antimicrobial applications. Int. J. Pharm. 2017, 529, 134–160. [Google Scholar] [CrossRef]
- Xavier-Junior, F.H.; Vauthier, C.; Morais, A.R.V.; Alencar, E.N.; Egito, E.S.T. Microemulsion systems containing bioactive natural oils: An overview on the state of the art. Drug Dev. Ind. Pharm. 2017, 43, 700–714. [Google Scholar] [CrossRef]
- Wuttikul, K.; Boonme, P. Formation of microemulsions for using as cosmeceutical delivery systems: Effects of various components and characteristics of some formulations. Drug Deliv. Transl. Res. 2016, 6, 254–262. [Google Scholar] [CrossRef]
- Dimitrijevic, D.; Shaw, A.J.; Florence, A.T. Effects of some non-ionic surfactants on transepithelial permeability in Caco-2 cells. J. Pharm. Pharmacol. 2000, 52, 157–162. [Google Scholar] [CrossRef]
- Kogan, A.; Garti, N. Microemulsions as transdermal drug delivery vehicles. Adv. Colloid Interface Sci. 2006, 123–126, 369–385. [Google Scholar] [CrossRef]
- Jadhav, C.; Kate, V.; Payghan, S.A. Investigation of effect of non-ionic surfactant on preparation of griseofulvin non-aqueous nanoemulsion. J. Nanostruct. Chem. 2015, 5, 107–113. [Google Scholar] [CrossRef]
- Ren, S.; Mu, H.; Alchaer, F.; Chtatou, A.; Müllertz, A. Optimization of self nanoemulsifying drug delivery system for poorly water-soluble drug using response surface methodology. Drug Dev. Ind. Pharm. 2013, 39, 799–806. [Google Scholar] [CrossRef]
- Silva, A.E.; Barratt, G.; Chéron, M.; Egito, E.S. Development of oil-in-water microemulsions for the oral delivery of amphotericin B. Int. J. Pharm. 2013, 454, 641–648. [Google Scholar] [CrossRef]
- Buyukozturk, F.; Benneyan, J.C.; Carrier, R.L. Impact of emulsion-based drug delivery systems on intestinal permeability and drug release kinetics. J. Control. Release 2010, 142, 22–30. [Google Scholar] [CrossRef]
- Chakravorty, A.; Awad, M.M.; Hiscox, T.J.; Cheung, J.K.; Carter, G.P.; Choo, J.M.; Lyras, D.; Rood, J.I. The cysteine protease α-Clostripain is not essential for the pathogenesis of Clostridium perfringens-mediated myonecrosis. PLoS ONE 2011, 6, e22762. [Google Scholar] [CrossRef]
- Noudeh, G.D.; Khazaeli, P.; Rahmani, P. Study of the Effects of Polyethylene Glycol Sorbitan Esters Surfactants Group on Biological Membranes. Int. J. Pharmacol. 2008, 4, 27–33. [Google Scholar] [CrossRef]
- Venkataramani, D.; Tsulaia, A.; Amin, S. Fundamentals and applications of particle stabilized emulsions in cosmetic formulations. Adv. Colloid Interface Sci. 2020, 283, 102234. [Google Scholar] [CrossRef]
- Grant, R.L.; Yao, C.; Gabaldon, D.; Acosta, D. Evaluation of surfactant cytotoxicity potential by primary cultures of ocular tissues: I. Characterization of rabbit corneal epithelial cells and initial injury and delayed toxicity studies. Toxicology 1992, 76, 153–176. [Google Scholar] [CrossRef]
- Sigward, E.; Mignet, N.; Rat, P.; Dutot, M.; Muhamed, S.; Guigner, J.-M.; Scherman, D.; Brossard, D.; Crauste-Manciet, S. Formulation and cytotoxicity evaluation of new self-emulsifying multiple W/O/W nanoemulsions. Int. J. Nanomed. 2013, 8, 611–625. [Google Scholar] [CrossRef][Green Version]
- Desai, H.H.; Bu, P.; Shah, A.V.; Cheng, X.; Serajuddin, A.T.M. Evaluation of Cytotoxicity of Self-Emulsifying Formulations Containing Long-Chain Lipids Using Caco-2 Cell Model: Superior Safety Profile Compared to Medium-Chain Lipids. J. Pharm. Sci. 2020, 109, 1752–1764. [Google Scholar] [CrossRef]
- Lin, K.-I.; Lin, C.-C.; Kuo, S.-M.; Lai, J.-C.; Wang, Y.-Q.; You, H.-L.; Hsu, M.-L.; Chen, C.-H.; Shiu, L.-Y. Carnosic acid impedes cell growth and enhances anticancer effects of carmustine and lomustine in melanoma. Biosci. Rep. 2018, 38, BSR20180005. [Google Scholar] [CrossRef]
- Chao, W.-W.; Su, C.-C.; Peng, H.-Y.; Chou, S.-T. Melaleuca quinquenervia essential oil inhibits alpha-melanocyte-stimulating hormone-induced melanin production and oxidative stress in B16 melanoma cells. Phytomedicine 2017, 34, 191–201. [Google Scholar] [CrossRef] [PubMed]








| Tween 20/PEG 200 (4:1) | Tween 40/PEG 200 (4:1) | Tween 80/PEG 200 (4:1) | dA | IPP | ddH2O | |
|---|---|---|---|---|---|---|
| ME-20-dA | 25−45 | - | - | 1 | 2 | 52−72 |
| ME-40-dA | - | 25−45 | - | 1 | 2 | 52−72 |
| ME-80-dA | - | - | 25−45 | 1 | 2 | 52−72 |
| All values are presented in % (w/w) | ||||||
Publisher’s Note: MDPI stays neutral with regard to jurisdictional claims in published maps and institutional affiliations. |
© 2021 by the authors. Licensee MDPI, Basel, Switzerland. This article is an open access article distributed under the terms and conditions of the Creative Commons Attribution (CC BY) license (https://creativecommons.org/licenses/by/4.0/).
Share and Cite
Chang, N.-F.; Tsai, F.-J.; Zheng, Y.-M.; Huang, W.-H.; Lin, C.-C. Using a Cellular System to Directly Assess the Effects of Cosmetic Microemulsion Encapsulated DeoxyArbutin. Int. J. Mol. Sci. 2021, 22, 13110. https://doi.org/10.3390/ijms222313110
Chang N-F, Tsai F-J, Zheng Y-M, Huang W-H, Lin C-C. Using a Cellular System to Directly Assess the Effects of Cosmetic Microemulsion Encapsulated DeoxyArbutin. International Journal of Molecular Sciences. 2021; 22(23):13110. https://doi.org/10.3390/ijms222313110
Chicago/Turabian StyleChang, Nai-Fang, Feng-Jie Tsai, Ya-Min Zheng, Wei-Hsiang Huang, and Chih-Chien Lin. 2021. "Using a Cellular System to Directly Assess the Effects of Cosmetic Microemulsion Encapsulated DeoxyArbutin" International Journal of Molecular Sciences 22, no. 23: 13110. https://doi.org/10.3390/ijms222313110
APA StyleChang, N.-F., Tsai, F.-J., Zheng, Y.-M., Huang, W.-H., & Lin, C.-C. (2021). Using a Cellular System to Directly Assess the Effects of Cosmetic Microemulsion Encapsulated DeoxyArbutin. International Journal of Molecular Sciences, 22(23), 13110. https://doi.org/10.3390/ijms222313110

