Development of In Vitro and In Vivo Evaluation Systems for Vitamin D Derivatives and Their Application to Drug Discovery
Abstract
:1. Introduction
2. In Vitro System to Easily Examine the Affinity for VDR of Vitamin D Derivatives
2.1. Measurement of Binding Affinity of Vitamin D Derivatives for VDR
2.2. Development of a Novel Bioluminescent Sensor to Detect and Discriminate between Vitamin D Receptor Agonists and Antagonists in Living Cells (1st Generation)
2.3. Development of a Highly Sensitive In Vitro System to Detect and Discriminate between Vitamin D Receptor Agonists and Antagonists
2.4. Design of a Biosensor Based on Split Luciferase for Detection of VDR Ligands (2nd Generation)
2.5. Development of a Novel Two-Molecule System with a Highly Sensitive Biosensor (3rd Generation)
3. In Vitro Evaluation of CYP24A1-mediated Metabolism of Vitamin D Derivatives
3.1. Expression of Rat or Human CYP24A1 in E. coli Cells
3.2. Construction of a CYP24A1 Enzyme System Containing Adrenodoxin (ADX) and NADPH-Adrenodoxin Reductase (ADR)
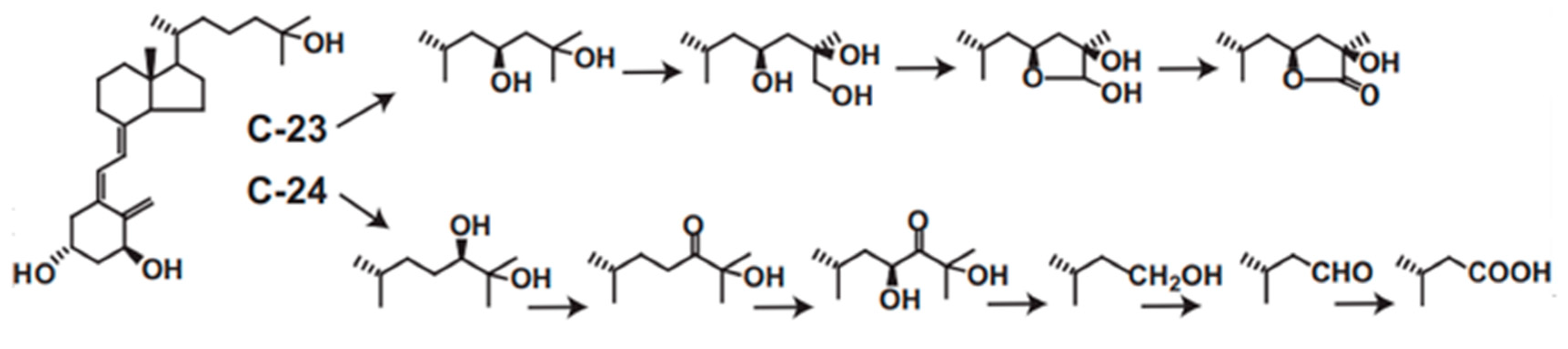
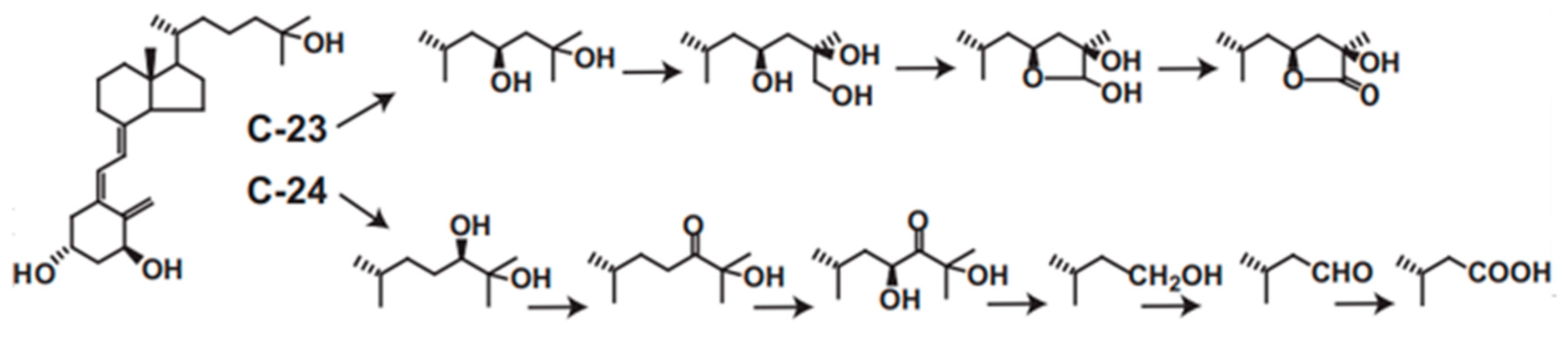
3.3. CYP24A1-Dependent Multi-Step Reaction toward the Active form of Vitamin D3
3.4. Metabolism of Vitamin D Derivatives by CYP24A1
3.5. CYP24A1-Resistant Vitamin D Derivatives with a Substituent at C2α Position
4. In Vivo Evaluation System for Vitamin D Derivatives Using Genetically Modified Rats Generated by Genome Editing
4.1. Appearance and Growth of Genetically Modified (GM) Rats
4.2. Osteogenesis and Plasma Ca, PTH, and 1α,25(OH)2D3 Levels in the GM Rats
4.3. Effects of 25(OH)D3 Administration on Cyp27b1- KO Rats
4.4. Effects of 25(OH)D3 Administration on Vdr (R270L) Rats
4.5. Predicted Effects of the Vitamin D Derivative AH-1 towards Patients with Type II Rickets Harboring VDR (R274L) cDNA
4.6. Elucidation of Molecular Mechanism Vitamin D Actions by Comparison among the GM Rats
5. Conclusions
Author Contributions
Funding
Institutional Review Board Statement
Conflicts of Interest
References
- Osborn, J.L.; Schwartz, G.G.; Smith, D.; Bahnson, R.; Day, R.; Trump, D.L. Phase II trial of oral 1,25-dihydroxyvitamin D (calcitriol) in hormone refractory prostate cancer. Urol. Oncol. Semin. Orig. Investig. 1995, 1, 195–198. [Google Scholar] [CrossRef]
- Gross, C.; Stamey, T.; Hancock, S.; Feldman, D. Treatment of early recurrent prostate cancer with 1,25-dihydroxyvitamin D3 (calcitriol). J. Urol. 1998, 15, 2035–2039. [Google Scholar] [CrossRef]
- Binderup, L.; Latini, S.; Bretting, C.; Calverley, M.; Hansen, K. 20-EPI-vitamin D3 analogues: A novel class of potent regulators of cell growth and immune responses. Biochem. Pharmacol. 1991, 42, 1569–1575. [Google Scholar] [CrossRef]
- Bishop, J.E.; Collins, E.D.; Okamura, W.H.; Norman, A.W. Profile of ligand specificity of the vitamin D binding protein for 1α,25-dihydroxyvitamin d3 and its analogs. J. Bone Miner. Res. 2009, 9, 1277–1288. [Google Scholar] [CrossRef] [PubMed]
- Bouillon, R.; Okamura, W.H.; Norman, A.W. Structure-function relationships in the vitamin D endocrine system. Endocr. Rev. 1995, 16, 200–257. [Google Scholar] [PubMed]
- Evans, T.R.; Colston, K.W.; Lofts, F.J.; Cunningham, D.; Anthoney, D.A.; Gogas, H.; de Bono, J.S.; Hamberg, K.J.; Skov, T.; Mansi, J.L. A phase II trial of the vitamin D analogue Seocalcitol (EB1089) in patients with inoperable pancreatic cancer. Br. J. Cancer 2002, 86, 680–685. [Google Scholar] [CrossRef] [PubMed]
- Liu, G.; Oettel, K.; Ripple, G.; Staab, M.J.; Horvath, D.; Alberti, D.; Arzoomanian, R.; Marnocha, R.; Bruskewitz, R.; Mazess, R.; et al. Phase I trial of 1alpha-hydroxyvitamin D(2) in patients with hormone refractory prostate cancer. Clin. Cancer Res. 2002, 8, 2820–2827. [Google Scholar] [PubMed]
- Yamada, S.; Shimizu, M.; Yamamoto, K. Structure-function relationships of vitamin D including ligand recognition by the vitamin D receptor. Med. Res. Rev. 2003, 23, 89–115. [Google Scholar] [CrossRef]
- Masuda, S.; Jones, G. Promise of vitamin D analogues in the treatment of hyperproliferative conditions. Mol. Cancer Ther. 2006, 5, 797–808. [Google Scholar] [CrossRef] [Green Version]
- Lin, R.; Nagai, Y.; Sladek, R.; Bastien, Y.; Ho, J.; Petrecca, K.; Sotiropoulou, G.; Diamandis, E.P.; Hudson, T.J.; White, J.H. Expression profiling in squamous carcinoma cells reveals pleiotropic effects of vitamin D3 analog EB1089 signaling on cell proliferation, differentiation, and immune system regulation. Mol. Endocrinol. 2002, 16, 1243–1256. [Google Scholar] [CrossRef]
- Liu, G.; Wilding, G.; Staab, M.J.; Horvath, D.; Miller, K.; Dresen, A.; Alberti, N.; Arzoomanian, R.; Chappell, R.; Bailey, H.H. Phase II study of 1alpha-hydroxyvitamin D(2) in the treatment of advanced androgen-independent prostate cancer. Clin. Cancer Res. 2003, 9, 4077–4083. [Google Scholar]
- Schwartz, G.G.; Hall, M.C.; Stindt, D.; Patton, S.; Lovato, J.; Torti, F.M. Phase I/II study of 19-nor-1alpha-25-dihydroxyvitamin D2 (paricalcitol) in advanced, androgen-insensitive prostate cancer. Clin. Cancer Res. 2005, 11, 8680–8685. [Google Scholar] [CrossRef] [PubMed] [Green Version]
- Medioni, J.; Deplanque, G.; Ferrero, J.M.; Maurina, T.; Rodier, J.M.; Raymond, E.; Allyon, J.; Maruani, G.; Houillier, P.; Mackenzie, S.; et al. Phase I safety and pharmacodynamic of inecalcitol, a novel VDR agonist with docetaxel in metastatic castration-resistant prostate cancer patients. Clin. Cancer Res. 2014, 20, 4471–4477. [Google Scholar] [CrossRef] [PubMed] [Green Version]
- Studzinski, G.P.; Gocek, E.; Coffman, F.; Danilenko, M. Effects of Vitamin D Derivatives on Differentiation, Cell Cycle, and Apoptosis in Hematological Malignancies. Vitamin. D (Forth Edition) 2018, 2, 761–799. [Google Scholar]
- Mano, H.; Nishikawa, M.; Yasuda, K.; Ikushiro, S.; Saito, N.; Takano, M.; Kittaka, A.; Sakaki, T. Development of Novel Bioluminescent Sensor to Detect and Discriminate between Vitamin D Receptor Agonists and Antagonists in Living Cells. Bioconjug. Chem. 2015, 26, 2038–2045. [Google Scholar] [CrossRef] [PubMed]
- Mano, H.; Nishikawa, M.; Yasuda, K.; Ikushiro, S.; Saito, N.; Sawada, D.; Honzawa, S.; Takano, M.; Kittaka, A.; Sakaki, T. Novel screening system for high-affinity ligand of heredity vitamin D-resistant rickets-associated vitamin D receptor mutant R274L using bioluminescent sensor. J. Steroid Biochem. Mol. Biol. 2017, 167, 61–66. [Google Scholar] [CrossRef]
- Mano, H.; Ikushiro, S.; Saito, N.; Kittaka, A.; Sakaki, T. Development of a highly sensitive in vitro system to detect and discriminate between vitamin D receptor agonists and antagonists based on split-luciferase technique. J. Steroid Biochem. Mol. Biol. 2018, 178, 55–59. [Google Scholar] [CrossRef]
- Mano, H.; Ikushiro, S.; Sakaki, T. Novel split luciferase-based biosensors for evaluation of vitamin D receptor ligands and their application to estimate CYP27B1 activity in living cells. J. Steroid Biochem. Mol. Biol. 2018, 183, 221–227. [Google Scholar] [CrossRef]
- Mano, H.; Takano, M.; Ikushiro, S.; Kittaka, A.; Sakaki, T. Novel biosensor using split-luciferase for detecting vitamin D receptor ligands based on the interaction between vitamin D receptor and coactivator. Biochem. Biophys. Res. Commun. 2018, 505, 460–465. [Google Scholar] [CrossRef] [PubMed]
- Akiyoshi-Shibata, M.; Sakaki, T.; Ohyama, Y.; Noshiro, M.; Okuda, K.; Yabusaki, Y. Further Oxidation of 24,25-Dihydroxyvitamin D3 by 25-Hydroxyvitamin D3 24- Hydroxylase Itself. Eur. J. Biochem. 1994, 224, 335–343. [Google Scholar] [CrossRef]
- Sakaki, T.; Sawada, N.; Nonaka, Y.; Ohyama, Y.; Inouye, K. Metabolic studies using recombinant Escherichia coli cells producing rat mitochondrial CYP24: CYP24 can convert 1α,25-dihydroxyvitamin D3 to calcitroic acid. JBIC J. Biol. Inorg. Chem. 1999, 262, 43–48. [Google Scholar] [CrossRef]
- Sakaki, T.; Sawada, N.; Komai, K.; Shiozawa, S.; Yamada, S.; Yamamoto, K.; Ohyama, Y.; Inouye, K. Dual metabolic pathway of 25-hydroxyvitamin D3 catalyzed by human CYP24. Eur. J. Biochem. 2000, 267, 6158–6165. [Google Scholar] [CrossRef] [Green Version]
- Sawada, N.; Kusudo, T.; Sakaki, T.; Hatakeyama, S.; Hanada, M.; Abe, D.; Kamao, M.; Okano, T.; Ohta, M.; Inouye, K. Novel metabolism of 1α,25-dihydroxyvitamin D3 with C24–C25 bond cleavage catalyzed by human CYP24A1. Biochemistry 2004, 43, 4530–4537. [Google Scholar] [CrossRef]
- Hamamoto, H.; Kusudo, T.; Urushino, N.; Masuno, H.; Yamamoto, K.; Yamada, S.; Kamakura, M.; Ohta, M.; Inouye, K.; Sakaki, T. Structure-function analysis of vitamin D 24-hydroxylase (CYP24A1) by site-directed mutagenesis: Amino acid resides responsible for species-based difference of CYP24A1 between humans and rats. Mol. Pharmacol. 2006, 70, 120–128. [Google Scholar] [CrossRef] [PubMed]
- Nishikawa, M.; Yasuda, K.; Takamatsu, M.; Abe, K.; Okamoto, K.; Horibe, K.; Mano, H.; Nakagawa, K.; Tsugawa, N.; Hirota, Y.; et al. Generation of novel genetically modified rats to reveal the molecular mechanisms of vitamin D actions. Sci. Rep. 2020, 10, 5677. [Google Scholar] [CrossRef]
- Yasuda, K.; Nishikawa, M.; Okamoto, K.; Horibe, K.; Mano, H.; Yamaguchi, M.; Okon, R.; Nakagawa, K.; Tsugawa Okano, T.; Kawagoe, F.; et al. Elucidation of metabolic pathways of 25-hydroxyvitamin D3 mediated by CYP24A1 and Cyp3A using Cyp24a1 knockout rats generated by CRISPR/Cas9 System. J. Biol. Chem. 2021, 296, 100668. [Google Scholar] [CrossRef] [PubMed]
- Nakabayashi, M.; Tsukahara, Y.; Iwasaki-Miyamoto, Y.; MihoriShimazaki, M.; Yamada, S.; Inaba, S.; Oda, M.; Shimizu, M.; Makishima, M.; Tokiwa, H.; et al. Crystal structures of hereditary vitamin D-resistant rickets-associated vitamin D receptor mutants R270L and W282R bound to 1,25-dihydroxyvitamin D3 and synthetic ligands. J. Med. Chem. 2013, 56, 6745–6760. [Google Scholar] [CrossRef] [PubMed]
- Tashiro, K.; Ishii, C.; Ryoji, M. Role of distal upstream sequence in vitamin D-induced expression of human CYP24 gene. Biochem. Biophys. Res. Commun. 2007, 358, 259–265. [Google Scholar] [CrossRef] [PubMed]
- Yamamoto, K.; Masuno, H.; Choi, M.; Nakashima, K.; Taga, T.; Ooizumi, H.; Umesono, K.; Sicinska, W.; VanHooke, J.; DeLuca, H.F.; et al. Three-dimensional modeling of and ligand docking to vitamin D receptor ligand binding domain. Proc. Natl. Acad. Sci. USA 2000, 97, 1467–1472. [Google Scholar] [CrossRef] [Green Version]
- Kim, H.K.; Cho, E.J.; Jo, S.m.; Sung, B.R.; Lee, S.; Yun, S.H. A split luciferase complementation assay for studying in vivo protein-protein interactions in filamentous ascomycetes. Curr. Genet. 2012, 58, 179–189. [Google Scholar] [CrossRef] [PubMed]
- Azad, T.; Tashakor, A.; Hosseinkhani, S. Split-luciferase complementary assay: Applications, recent developments, and future perspectives. Anal. Bioanal. Chem. 2014, 406, 5541–5560. [Google Scholar] [CrossRef]
- Shavkunov, A.S.; Ali, S.R.; Panova-Elektronova, N.I.; Laezza, F. Split-luciferase complementation assay to detect channel-protein interactions in live cells. Methods Mol. Biol. 2015, 1278, 497–514. [Google Scholar] [PubMed]
- Varnum, M.M.; Clayton, K.A.; Yoshii-Kitahara, A.; Yonemoto, G.; Koro, L.; Ikezu, S.; Ikezu, T. A split-luciferase complementation, real-time reporting assay enables monitoring of the disease-associated transmembrane protein TREM2 in live cells. J. Biol. Chem. 2017, 292, 10651–10663. [Google Scholar] [CrossRef] [PubMed] [Green Version]
- Moustaqil, M.; Bhumkar, A.; Gonzalez, L.; Raoul, L.; Hunter, D.J.B.; Carrive, P.; Sierecki, E.; Gambin, Y. A Split-Luciferase Reporter Recognizing GFP and mCherry Tags to Facilitate Studies of Protein-Protein Interactions. Int. J. Mol. Sci. 2017, 18, 2681. [Google Scholar] [CrossRef] [Green Version]
- Forster, L.; Grätz, L.; Mönnich, D.; Bernhardt, G.; Pockes, S. A Split Luciferase Complementation Assay for the Quantification of beta-Arrestin2 Recruitment to Dopamine D(2)-Like Receptors. Int. J. Mol. Sci. 2020, 21, 6103. [Google Scholar] [CrossRef] [PubMed]
- Spillmann, M.; Thurner, L.; Romantini, N.; Zimmermann, M.; Meger, B.; Behe, M.; Waldhoer, M.; Schertler, G.F.X.; Berger, P. New Insights into Arrestin Recruitment to GPCRs. Int. J. Mol. Sci. 2020, 21, 4949. [Google Scholar] [CrossRef] [PubMed]
- Li, Y.C.; Lytle, N.K.; Gammon, S.T.; Wang, L.; Hayes, T.K.; Sutton, M.N.; Bast, R.C., Jr.; Der, C.J.; Piwnica-Worms, D.; McCormick, F.; et al. Analysis of RAS protein interactions in living cells reveals a mechanism for pan-RAS depletion by membrane-targeted RAS binders. Proc. Natl. Acad. Sci. USA 2020, 117, 12121–12130. [Google Scholar] [CrossRef] [PubMed]
- Malloy, P.J.; Pike, J.W.; Feldman, D. The vitamin D receptor and the syndrome of hereditary 1,25-dihydroxyvitamin D-resistant rickets. Endocr. Rev. 1999, 20, 156–188. [Google Scholar] [PubMed] [Green Version]
- Ohyama, Y.; Noshiro, M.; Okuda, K. Cloning and expression of cDNA encoding 25-hydroxyvitamin D3 24-hydroxylase. FEBS Lett. 1991, 278, 195–198. [Google Scholar] [CrossRef] [Green Version]
- Ohyama, Y.; Ozono, K.; Uchida, M.; Shinki, T.; Kato, S.; Suda, T.; Yamamoto, O.; Noshiro, M.; Kato, Y. Identification of a vitamin D-responsive element in the 5’-flanking region of the rat 25-hydroxyvitamin D3 24-hydroxylase gene. J. Biol. Chem. 1994, 269, 10545–10550. [Google Scholar] [CrossRef]
- Zierold, C.; Mings, J.A.; DeLuca, H.F. Parathyroid hormone regulates 25-hydroxyvitamin D3-24-hydroxylase mRNA by altering its stability. Proc. Natl. Acad. Sci. USA 2001, 98, 13572–13576. [Google Scholar] [CrossRef] [PubMed] [Green Version]
- Dhawan, P.; Peng, X.; Sutton, A.L.; MacDonald, P.N.; Croniger, C.M.; Trautwein, C.; Centrella, M.; McCarthy, T.L.; Christakos, S. Functional cooperation between CCAAT/enhancer-binding proteins and the vitamin D receptor in regulation of 25-hydroxyvitamin D3 24-hydroxylase. Mol. Cell Biol. 2005, 25, 472–487. [Google Scholar] [CrossRef] [PubMed] [Green Version]
- Meyer, M.B.; Goetsch, P.D.; Pike, J.W. A downstream intergenic cluster of regulatory enhancers contributes to the induction of CYP24A1 expression by 1α,25-dihydroxyvitamin D3. J. Biol. Chem. 2010, 285, 15599–15610. [Google Scholar] [CrossRef] [PubMed] [Green Version]
- Meyer, M.B.; Lee, S.M.; Carlson, A.H.; Benkusky, N.A.; Kaufmann, M.; Jones, G.; Pike, J.W. A chromatin-based mechanism controls differential regulation of the cytochrome P450 gene Cyp24a1 in renal and non-renal tissues. J. Biol. Chem. 2019, 294, 14467–14481. [Google Scholar] [CrossRef] [Green Version]
- Sakaki, T.; Sawada, N.; Abe, D.; Komai, K.; Shiozawa, S.; Nonaka, Y.; Nakagawa, K.; Okano, T.; Ohta, M.; Inouye, K. Metabolism of 26,26,26,27,27,27-F6-1α,25-dihydroxyvitamin D3 by CYP24: Species-based difference between humans and rats. Biochem. Pharmacol. 2003, 65, 1957–1965. [Google Scholar] [CrossRef]
- Kusudo, T.; Sakaki, T.; Abe, D.; Fujishima, T.; Kittaka, A.; Takayama, H.; Ohta, M.; Inouye, K. Metabolism of 20-epimer of 1α,25-dihydroxyvitamin D3 by CYP24: Species-based difference between humans and rats. Biochem. Biophys. Res. Commun. 2003, 309, 885–892. [Google Scholar] [CrossRef]
- Kusudo, T.; Sakaki, T.; Abe, D.; Fujishima, T.; Kittaka, A.; Takayama, H.; Hatakeyama, S.; Ohta, M.; Inouye, K. Metabolism of A-ring diastereomers of 1α,25-dihydroxyvitamin D3 by CYP24A1. Biochem. Biophys. Res. Commun. 2004, 321, 774–782. [Google Scholar] [CrossRef] [PubMed]
- Abe, D.; Sakaki, T.; Kusudo, T.; Kittaka, A.; Saito, N.; Suhara, Y.; Fujishima, T.; Takayama, H.; Hamamoto, H.; Kamakura, M.; et al. Metabolism of 2α-propoxy-1α,25-dihydroxyvitamin D3 and 2α-(3-hydroxypropoxy)- 1α,25-dihydroxyvitamin D3 by human CYP27A1 and CYP24A1. Drug Metab. Dispos. 2005, 33, 778–784. [Google Scholar] [CrossRef]
- Urushino, N.; Nakabayashi, S.; Arai, M.A.; Kittaka, A.; Chen, T.C.; Yamamoto, K.; Hayashi, K.; Kato, S.; Ohta, M.; Kamakura, M.; et al. Kinetic Studies of 25-Hydroxy-19-Nor-Vitamin D3 and 1α,25-Dihydroxy-19-Nor-Vitamin D3 Hydroxylation by CYP27B1 and CYP24A1. Drug Metab. Dispos. 2007, 35, 1482–1488. [Google Scholar] [CrossRef]
- Saito, N.; Suhara, Y.; Abe, D.; Kusudo, T.; Ohta, M.; Yasuda, K.; Sakaki, T.; Honzawa, S.; Fujishima, T.; Kittaka, A. Synthesis of 2α-propoxy-1α,25-dihydroxyvitamin D3 and comparison of its metabolism by human CYP24A1 and rat CYP24A1. Bioorg. Med. Chem. 2009, 17, 4296–4301. [Google Scholar] [CrossRef]
- Sawada, D.; Tsukuda, Y.; Yasuda, K.; Sakaki, T.; Saito, H.; Takagi, K.-I.; Takenouchi, K.; Chen, T.; Reddy, G.S.; Kittaka, A. Synthesis and Biological Activities of 1α,4α,25- and 1α,4β,25-Trihydroxyvitamin D3 and Their Metabolism by Human CYP24A1 and UDP-Glucuronosyltransferase. Chem. Pharm. Bull. 2012, 60, 1343–1346. [Google Scholar] [CrossRef] [Green Version]
- Yasuda, K.; Ikushiro, S.; Kamakura, M.; Takano, M.; Saito, N.; Kittaka, A.; Chen, T.; Ohta, M.; Sakaki, T. Human cytochrome P450-dependent differential metabolism among three 2α-substituted-1α,25-dihydroxyvitamin D3 analogs. J. Steroid Biochem. Mol. Biol. 2013, 133, 84–92. [Google Scholar] [CrossRef]
- Yasuda, K.; Iwanaga, Y.; Ogawa, K.; Mano, H.; Ueno, S.; Kimoto, S.; Ohta, M.; Kamakura, M.; Ikushiro, S.; Sakaki, T. Human hepatic metabolism of the anti-osteoporosis drug eldecalcitol (ED-71) involves sterol C4-methyl oxidase. Pharmacol. Res. Prospect. 2015, 3, e00120. [Google Scholar]
- Takano, M.; Yasuda, K.; Higuchi, E.; Tohyama, E.; Takeuchi, A.; Sakaki, T.; Kittaka, A. Synthesis, metabolism, and biological activity of 2-[3-(tetrazolyl) propyl]-1α,25-dihydroxy-19-norvitamin D3. J. Steroid Biochem. Mol. Biol. 2016, 164, 40–44. [Google Scholar] [CrossRef] [PubMed]
- Kawagoe, F.; Sugiyama, T.; Yasuda, K.; Uesugi, M.; Sakaki, T.; Kittaka, A. Concise synthesis of 23-hydroxylated vitamin D3 metabolites. J. Steroid Biochem. Mol. Biol. 2018, 186, 161–168. [Google Scholar] [CrossRef] [PubMed]
- Kawagoe, F.; Yasuda, K.; Mototani, S.; Sugiyama, T.; Uesugi, M.; Sakaki, T.; Kittaka, A. Synthesis and CYP24A1-Dependent Metabolism of 23-Fluorinated Vitamin D3 Analogues. ACS Omega 2019, 4, 11332–11337. [Google Scholar] [CrossRef] [PubMed] [Green Version]
- Kawagoe, F.; Mototani, S.; Yasuda, K.; Nagasawa, K.; Uesugi, M.; Sakaki, T.; Kittaka, A. Introduction of Fluorine Atoms to Vitamin D3 Side-chain and Synthesis of 24,24- Difluoro-25-hydroxyvitamin D3. J. Steroid Biochem. Mol. Biol. 2019, 195, 105477. [Google Scholar] [CrossRef]
- Milczarek, M.; Chodyński, M.; Pietraszek, A.; Stachowicz-Suhs, M.; Yasuda, K.; Sakaki, T.; Wietrzyk, J.; Kutner, A. Synthesis, CYP24A1-Dependent Metabolism and Antiproliferative Potential against Colorectal Cancer Cells of 1,25-Dihydroxyvitamin D2 Derivatives Modified at the Side Chain and the A-Ring. Int. J. Mol. Sci. 2020, 21, 642. [Google Scholar] [CrossRef] [Green Version]
- Prosser, D.E.; Kaufmann, M.; O’Leary, B.; Byford, V.; Jones, G. Single A326G mutation converts human CYP24A1 from 25-OH-D3-24-hydroxylase into -23-hydroxylase, generating 1,25-(OH)2D3-26,23-lactone. Proc. Natl. Acad. Sci. USA 2007, 104, 12673–12678. [Google Scholar] [CrossRef] [Green Version]
- Ohyama, Y.; Ozono, K.; Uchida, M.; Yoshimura, M.; Shinki, T.; Suda, T.; Yamamoto, O. Functional assessment of two vitamin D-responsive elements in the rat 25-hydroxyvitamin D3 24-hydroxylase gene. J. Biol. Chem. 1996, 271, 30381–30385. [Google Scholar] [CrossRef] [Green Version]
- Shankar, V.N.; Dilworth, F.J.; Makin, H.L.; Schroeder, N.J.; Trafford, D.J.; Kissmeyer, A.M.; Calverley, M.J.; Binderup, E.; Jones, G. Metabolism of the vitamin D analog EB1089 by cultured human cells: Redirection of hydroxylation site to distal carbons of the side-chain. Biochem. Pharmacol. 1997, 53, 783–793. [Google Scholar] [CrossRef]
- Lechner, D.; Manhardt, T.; Bajna, E.; Posner, G.H.; Cross, H.S. A 24-phenylsulfone analog of vitamin D inhibits 1alpha,25-dihydroxyvitamin D(3) degradation in vitamin D metabolism-competent cells. J. Pharmacol. Exp. Ther. 2007, 320, 1119–1126. [Google Scholar] [CrossRef] [PubMed]
- Schuster, I.; Egger, H.; Astecker, N.; Herzig, G.; Schüssler, M.; Vorisek, G. Selective inhibitors of CYP24: Mechanistic tools to explore vitamin D metabolism in human keratinocytes. Steroids 2001, 66, 451–462. [Google Scholar] [CrossRef]
- Kittaka, A.; Suhara, Y.; Takayanagi, H.; Fujishima, T.; Kurihara, M.; Takayama, H. A concise and efficient route to 2alpha-(omega-hydroxyalkoxy)-1alpha,25-dihydroxy vitamin D3: Remarkably high affinity to vitamin D receptor. Org. Lett. 2000, 2, 2619–2622. [Google Scholar] [CrossRef] [PubMed]
- Suhara, Y.; Nihei, K.I.; Tanigawa, H.; Fujishima, T.; Konno, K.; Nakagawa, K.; Okano, T.; Takayama, H. Syntheses and biological evaluation of novel 2alpha-substituted 1alpha,25-dihydroxyvitamin D3 analogues. Bioorg. Med. Chem. Lett. 2000, 10, 1129–1132. [Google Scholar] [CrossRef]
- Suhara, Y.; Nihei, K.I.; Kurihara, M.; Kittaka, A.; Yamaguchi, K.; Fujishima, T.; Konno, K.; Miyata, N.; Takayama, H. Efficient and versatile synthesis of novel 2alpha-substituted 1alpha,25-dihydroxyvitamin D(3) analogues and their docking to vitamin D receptors. J. Org. Chem. 2001, 66, 8760–8771. [Google Scholar] [CrossRef] [PubMed]
- Saito, N.; Suhara, Y.; Kurihara, M.; Fujishima, T.; Honzawa, S.; Takayanagi, H.; Kozono, T.; Matsumoto, M.; Ohmori, M.; Miyata, N.; et al. Design and efficient synthesis of 2 alpha-(omega-hydroxyalkoxy)-1 alpha,25-dihydroxyvitamin D3 Analogues, including 2-epi-ED-71 and their 20-epimers with HL-60 cell differentiation activity. J. Org. Chem. 2004, 69, 7463–7471. [Google Scholar] [CrossRef] [PubMed]
- Takahashi, E.; Nakagawa, K.; Suhara, Y.; Kittaka, A.; Nihei, K.; Konno, K.; Takayama, H.; Ozono, K.; Okano, T. Biological activities of 2alpha-substituted analogues of 1alpha,25-dihydroxyvitamin D3 in transcriptional regulation and human promyelocytic leukemia (HL-60) cell proliferation and differentiation. Biol. Pharm. Bull. 2006, 29, 2246–2250. [Google Scholar] [CrossRef] [Green Version]
- Ono, K.; Yoshida, A.; Saito, N.; Fujishima, T.; Honzawa, S.; Suhara, Y.; Kishimoto, S.; Sugiura, T.; Waku, K.; Takayama, H.; et al. Efficient synthesis of 2-modified 1alpha,25-dihydroxy-19-norvitamin D3 with Julia olefination: High potency in induction of differentiation on HL-60 cells. J. Org. Chem. 2003, 68, 7407–7415. [Google Scholar] [CrossRef]
- Arai, M.A.; Takeyama, K.; Ito, S.; Kato, S.; Chen, T.C.; Kittaka, A. High-throughput system for analyzing ligand-induced cofactor recruitment by vitamin D receptor. Bioconjug. Chem. 2007, 18, 614–620. [Google Scholar] [CrossRef]
- Chen, T.; Persons, K.; Zheng, S.; Mathieu, J.; Holick, M.; Lee, Y.; Bao, B.; Arai, M.; Kittaka, A. Evaluation of C-2-substituted 19-nor-1α,25-dihydroxyvitamin D3 analogs as therapeutic agents for prostate cancer. J. Steroid Biochem. Mol. Biol. 2007, 103, 717–720. [Google Scholar] [CrossRef]
- Flanagan, J.N.; Zheng, S.; Chiang, K.C.; Kittaka, A.; Sakaki, T.; Nakabayashi, S.; Zhao, X.; Spanjaard, R.A.; Persons, K.S.; Mathieu, J.S.; et al. Evaluation of 19-nor-2alpha-(3-hydroxypropyl)-1alpha,25- dihydroxyvitamin D3 as a therapeutic agent for androgen-dependent prostate cancer. Anticancer Res. 2009, 29, 3547–3553. [Google Scholar]
- Chen, T.C.; Kittaka, A. Novel vitamin d analogs for prostate cancer therapy. Int. Sch. Res. Not. 2011, 2011, 301490. [Google Scholar] [CrossRef] [Green Version]
- Chiang, K.C.; Yeh, C.N.; Chen, H.Y.; Lee, J.M.; Juang, H.H.; Chen, M.F.; Takano, M.; Kittaka, A.; Chen, T.C. 19-Nor-2α-(3-hydroxypropyl)-1α,25- dihydroxyvitamin D3 (MART-10) is a potent cell growth regulator with enhanced chemotherapeutic potency in liver cancer cells. Steroids 2011, 76, 1513–1519. [Google Scholar] [CrossRef] [PubMed]
- Hirota, Y.; Nakagawa, K.; Mimatsu, S.; Sawada, N.; Sakaki, T.; Kubodera, N.; Kamao, M.; Tsugawa, N.; Suhara, Y.; Okano, T. Nongenomic effects of 1α,25-dihydroxyvitamin D3 on cartilage formation deduced from comparisons between Cyp27b1 and Vdr knockout mice. Biochem. Biophys. Res. Commun. 2017, 483, 359–365. [Google Scholar] [CrossRef]
- Nishikawa, M.; Kaori Yasuda, K.; Takamatsu, M.; Abe, K.; Nakagawa, K.; Tsugawa, N.; Hirota, Y.; Tanaka, K.; Yamashita, S.; Ikushiro, S.; et al. Generation of 1,25-dihydroxyvitamin D3 in Cyp27b1 knockout mice by treatment with 25-hydroxyvitamin D3 rescued their rachitic phenotypes. J. Steroid Biochem. Mol. Biol. 2019, 185, 71–79. [Google Scholar] [CrossRef] [PubMed]
- Zhang, Y.G.; Wu, S.; Lu, R.; Zhou, D.; Zhou, J.; Carmeliet, G.; Petrof, E.; Claud, E.C.; Sun, J. Tight junction CLDN2 gene is a direct target of the vitamin D receptor. Sci. Rep. 2015, 5, 10642. [Google Scholar] [CrossRef] [Green Version]
- Norman, A.W.; Bishop, J.E.; Collins, E.D.; Seo, E.G.; Satchell, D.P.; Dormanen, M.C.; Zanello, S.B.; Farach-Carson, M.C.; Bouillon, R.; Okamura, W.H. Differing shapes of 1 alpha,25-dihydroxyvitamin D3 function as ligands for the D-binding protein, nuclear receptor and membrane receptor: A status report. J. Steroid Biochem. Mol. Biol. 1996, 56, 13–22. [Google Scholar] [CrossRef]
- Mizwicki, M.T.; Norman, A.W. The vitamin D sterol-vitamin D receptor ensemble model offers unique insights into both genomic and rapid-response signaling. Sci. Signal. 2009, 2, re4. [Google Scholar] [CrossRef]
- Hii, C.S.; Ferrante, A. The Non-Genomic Actions of Vitamin D. Nutrients 2016, 8, 135. [Google Scholar] [CrossRef] [PubMed] [Green Version]
- Skorija, K.; Cox, M.; Sisk, J.M.; Dowd, D.R.; MacDonald, P.N.; Thompson, C.C.; Demay, M.B. Ligand-independent actions of the vitamin D receptor maintain hair follicle homeostasis. Mol. Endocrinol. 2005, 19, 855–862. [Google Scholar] [CrossRef] [PubMed] [Green Version]
- Munetsuna, E.; Kawanami, R.; Nishikawa, M.; Ikeda, S.; Nakabayashi, S.; Ohta, M.; Kamakura, M.; Ikushiro, S.; Sakaki, T. Anti-proliferative activity of 25-hydroxyvitamin D3 in human prostate cells. Mol. Cell Endocrinol. 2014, 382, 960–970. [Google Scholar] [CrossRef] [PubMed]
- Asano, L.; Watanabe, M.; Ryoden, Y.; Usuda, K.; Yamaguchi, T.; Khambu, B.; Takashima, M.; Sato, S.I.; Sakai, J.; Nagasawa, K.; et al. Vitamin D Metabolite, 25-Hydroxyvitamin D, Regulates Lipid Metabolism by Inducing Degradation of SREBP/SCAP. Cell Chem. Biol. 2017, 24, 207–217. [Google Scholar] [CrossRef] [PubMed] [Green Version]






| Rat Strain | Mode of Action of Vitamin D | ||||
|---|---|---|---|---|---|
| (1) | (2) | (3) | (4) | (5) | |
| Vdr-1,25D3 | non Vdr-1,25D3 | Vdr-25D3 | non Vdr-25D3 | Vdr-no ligand | |
| WT | + | + | + | + | + |
| Vdr (R270L) | − | + | + | + | + |
| Cyp27b1-KO | − | − | + | + | + |
| Vdr-KO | − | + | − | + | − |
Publisher’s Note: MDPI stays neutral with regard to jurisdictional claims in published maps and institutional affiliations. |
© 2021 by the authors. Licensee MDPI, Basel, Switzerland. This article is an open access article distributed under the terms and conditions of the Creative Commons Attribution (CC BY) license (https://creativecommons.org/licenses/by/4.0/).
Share and Cite
Yasuda, K.; Nishikawa, M.; Mano, H.; Takano, M.; Kittaka, A.; Ikushiro, S.; Sakaki, T. Development of In Vitro and In Vivo Evaluation Systems for Vitamin D Derivatives and Their Application to Drug Discovery. Int. J. Mol. Sci. 2021, 22, 11839. https://doi.org/10.3390/ijms222111839
Yasuda K, Nishikawa M, Mano H, Takano M, Kittaka A, Ikushiro S, Sakaki T. Development of In Vitro and In Vivo Evaluation Systems for Vitamin D Derivatives and Their Application to Drug Discovery. International Journal of Molecular Sciences. 2021; 22(21):11839. https://doi.org/10.3390/ijms222111839
Chicago/Turabian StyleYasuda, Kaori, Miyu Nishikawa, Hiroki Mano, Masashi Takano, Atsushi Kittaka, Shinichi Ikushiro, and Toshiyuki Sakaki. 2021. "Development of In Vitro and In Vivo Evaluation Systems for Vitamin D Derivatives and Their Application to Drug Discovery" International Journal of Molecular Sciences 22, no. 21: 11839. https://doi.org/10.3390/ijms222111839
APA StyleYasuda, K., Nishikawa, M., Mano, H., Takano, M., Kittaka, A., Ikushiro, S., & Sakaki, T. (2021). Development of In Vitro and In Vivo Evaluation Systems for Vitamin D Derivatives and Their Application to Drug Discovery. International Journal of Molecular Sciences, 22(21), 11839. https://doi.org/10.3390/ijms222111839

