Sulfonated and Carboxymethylated β-Glucan Derivatives with Inhibitory Activity against Herpes and Dengue Viruses
Abstract
1. Introduction
2. Results and Discussion
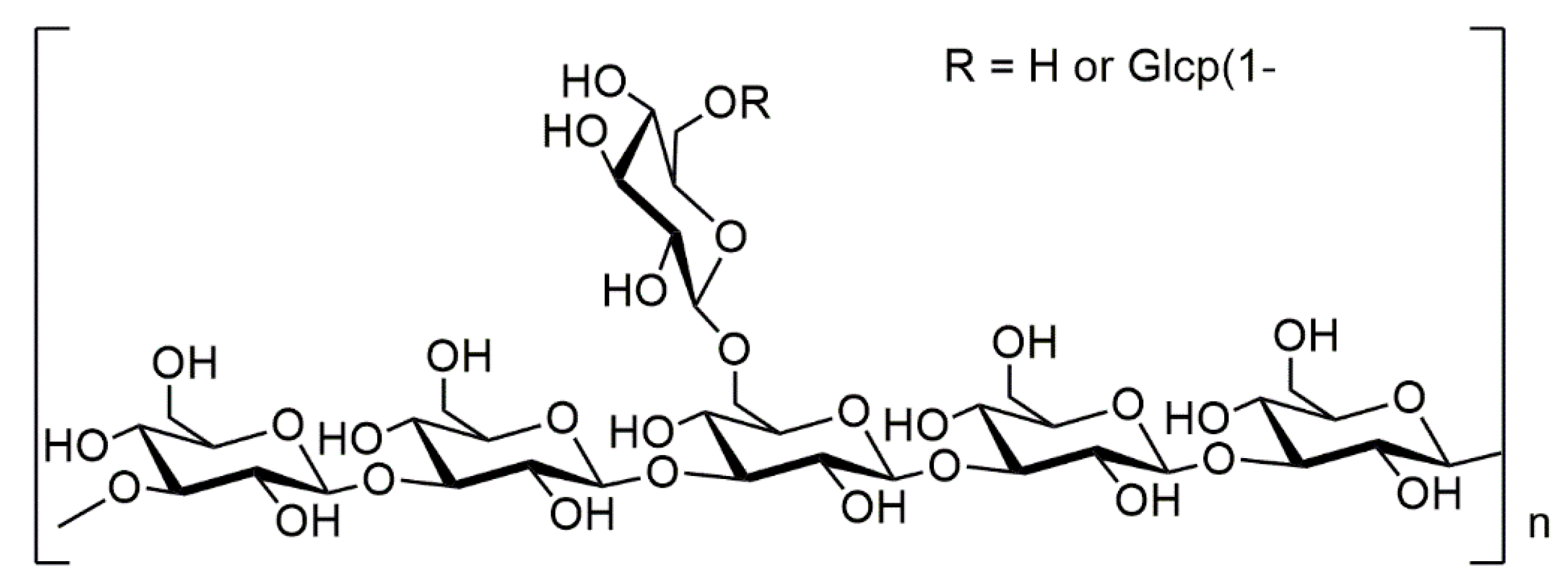
2.1. Preparation of Carboxymethylated and Sulfated Derivatives
2.2. Cytotoxicity and Antiviral Activity
3. Materials and Methods
3.1. Production of the Compounds
3.1.1. Botryosphaeran Production
3.1.2. Preparation of Carboxymethylated BOT (CM-BOT)
3.1.3. Preparation of Sulfonated Derivatives of CM-BOT (CM-S-BOT)
3.2. Quantification of Carboxymethyl Groups (DSCM) and Sulfonate Groups (DSS)
3.3. Biological Analyses
3.3.1. Cells and Viruses
3.3.2. Cytotoxicity Assay
3.3.3. Evaluation of Anti-HSV, Anti-DENV, and Anti-PV Activities
4. Conclusions
Supplementary Materials
Author Contributions
Funding
Acknowledgments
Conflicts of Interest
References
- Baba, M.; Snoeck, R.; Pauwels, R.; de Clercq, E. Sulfated polysaccharides are potent and selective inhibitors of various enveloped viruses, including herpes simplex virus, cytomegalovirus, vesicular stomatitis virus, and human immunodeficiency virus. Antimicrob. Agents Chemother. 1988, 32, 1742–1745. [Google Scholar] [CrossRef]
- Chen, L.; Huang, G. The antiviral activity of polysaccharides and their derivatives. Int. J. Biol. Macromol. 2018, 115, 77–82. [Google Scholar] [CrossRef]
- Talarico, L.B.; Zibetti, R.G.M.; Faria, P.C.S.; Scolaro, L.A.; Duarte, M.E.R.; Noseda, M.D.; Pujol, C.A.; Damonte, E.B. Anti-herpes simplex virus activity of sulfated galactans from the red seaweeds Gymnogongrus griffithsiae and Cryptonemia crenulata. Int. J. Biol. Macromol. 2004, 34, 63–71. [Google Scholar] [CrossRef]
- Carlucci, M.J.; Scolaro, L.A.; Noseda, M.D.; Cerezo, A.S.; Damonte, E.B. Protective effect of a natural carrageenan on genital herpes simplex virus infection in mice. Antiviral Res. 2004, 64, 137–141. [Google Scholar] [CrossRef]
- Hosoya, M.; Balzarini, J.; Shigeta, S.; De Clercq, E. Differential inhibitory effects of sulfated polysaccharides and polymers on the replication of various myxoviruses and retroviruses, depending on the composition of the target amino acid sequences of the viral envelope glycoproteins. Antimicrob. Agents Chemother. 1991, 35, 2515–2520. [Google Scholar] [CrossRef]
- Gao, Y.; Fukuda, A.; Katsuraya, K.; Kaneko, Y.; Mimura, T.; Nakashima, H.; Uryu, T. Synthesis of Regioselective Substituted Curdlan Sulfates with Medium Molecular Weights and Their Specific Anti-HIV-1 Activities. Macromolecules 1997, 30, 3224–3228. [Google Scholar] [CrossRef]
- de S.F-Tischer, P.C.; Talarico, L.B.; Noseda, M.D.; Guimarães, S.M.P.B.; Damonte, E.B.; Duarte, M.E.R. Chemical structure and antiviral activity of carrageenans from Meristiella gelidium against herpes simplex and dengue virus. Carbohydr. Polym. 2006, 63, 459–465. [Google Scholar] [CrossRef]
- Behnam, M.A.M.; Nitsche, C.; Boldescu, V.; Klein, C.D. The Medicinal Chemistry of Dengue Virus. J. Med. Chem. 2016, 59, 5622–5649. [Google Scholar] [CrossRef]
- Mycroft-West, C.J.; Su, D.; Pagani, I.; Rudd, T.R.; Elli, S.; Gandhi, N.S.; Guimond, S.E.; Miller, G.J.; Meneghetti, M.C.Z.; Nader, H.B.; et al. Heparin Inhibits Cellular Invasion by SARS-CoV-2: Structural Dependence of the Interaction of the Spike S1 Receptor-Binding Domain with Heparin. Thromb. Haemost. 2020, 120, 1700–1715. [Google Scholar] [CrossRef]
- Feyzi, E.; Trybala, E.; Bergström, T.; Lindahl, U.; Spillmann, D. Structural requirement of heparan sulfate for interaction with herpes simplex virus type 1 virions and isolated glycoprotein C. J. Biol. Chem. 1997, 272, 24850–24857. [Google Scholar] [CrossRef][Green Version]
- Rechenchoski, D.Z.; Faccin-Galhardi, L.C.; Linhares, R.E.C.; Nozawa, C. Herpesvirus: An underestimated virus. Folia Microbiol. 2017, 62, 151–156. [Google Scholar] [CrossRef] [PubMed]
- James, S.H.; Prichard, M.N. Current and future therapies for herpes simplex virus infections: Mechanism of action and drug resistance. Curr. Opin. Virol. 2014, 8, 54–61. [Google Scholar] [CrossRef]
- World Health Organization. Dengue and Severe Dengue. Available online: https://www.who.int/news-room/fact-sheets/detail/dengue-and-severe-dengue (accessed on 3 June 2021).
- World Health Organization. Billions Worldwide Living with Herpes. Available online: https://www.who.int/news-room/detail/01-05-2020-billions-worldwide-living-with-herpes (accessed on 3 June 2021).
- Duarte, M.E.R.; Cauduro, J.P.; Noseda, D.G.; Noseda, M.D.; Gonçalves, A.G.; Pujol, C.A.; Damonte, E.B.; Cerezo, A.S. The structure of the agaran sulfate from Acanthophora spicifera (Rhodomelaceae, Ceramiales) and its antiviral activity. Relation between structure and antiviral activity in agarans. Carbohydr. Res. 2004, 339, 335–347. [Google Scholar] [CrossRef]
- Mendes, G.S.; Duarte, M.E.R.; Colodi, F.G.; Noseda, M.D.; Ferreira, L.G.; Berté, S.D.; Cavalcanti, J.F.; Santos, N.; Romanos, M.T. V Structure and anti-metapneumovirus activity of sulfated galactans from the red seaweed Cryptonemia seminervis. Carbohydr. Polym. 2014, 101, 313–323. [Google Scholar] [CrossRef] [PubMed]
- Carlucci, M.J.; Pujol, C.A.; Ciancia, M.; Noseda, M.D.; Matulewicz, M.C.; Damonte, E.B.; Cerezo, A.S. Antiherpetic and anticoagulant properties of carrageenans from the red seaweed Gigartina skottsbergii and their cyclized derivatives: Correlation between structure and biological activity. Int. J. Biol. Macromol. 1997, 20, 97–105. [Google Scholar] [CrossRef]
- Zinoun, M.; Cosson, J. Seasonal variation in growth and carrageenan content of Calliblepharis jubata (Rhodophyceae, Gigartinales) from the Normandy coast, France. J. Appl. Phycol. 1996, 8, 29–34. [Google Scholar] [CrossRef]
- Barbosa, A.M.; Steluti, R.M.; Dekker, R.F.H.; Cardoso, M.S.; Corradi Da Silva, M.L. Structural characterization of Botryosphaeran: A (1→3;1→6)-β-D-glucan produced by the ascomyceteous fungus, Botryosphaeria sp. Carbohydr. Res. 2003, 338, 1691–1698. [Google Scholar] [CrossRef]
- Sacchelli, B.A.L.; Faccin-Galhardi, L.C.; Ito, V.Y.; Lopes, J.L.; Dekker, R.F.H.; Barbosa-Dekker, A.M.; Orsato, A. Botryosphaeran and sulfonated derivatives as novel antiviral agents for herpes simplex and dengue fever. Int. J. Biol. Macromol. 2019, 138, 334–339. [Google Scholar] [CrossRef] [PubMed]
- Xu, J.; Liu, W.; Yao, W.; Pang, X.; Yin, D.; Gao, X. Carboxymethylation of a polysaccharide extracted from Ganoderma lucidum enhances its antioxidant activities in vitro. Carbohydr. Polym. 2009, 78, 227–234. [Google Scholar] [CrossRef]
- Kagimura, F.Y.; Da Cunha, M.A.A.; Theis, T.V.; Malfatti, C.R.M.; Dekker, R.F.H.; Barbosa, A.M.; Teixeira, S.D.; Salomé, K. Carboxymethylation of (1→6)-β-glucan (lasiodiplodan): Preparation, characterization and antioxidant evaluation. Carbohydr. Polym. 2015, 127, 390–399. [Google Scholar] [CrossRef] [PubMed]
- Chen, X.; Zhang, L.; Cheung, P.C.K. Immunopotentiation and anti-tumor activity of carboxymethylated-sulfated β-(1→ 3)-D-glucan from Poria cocos. Int. Immunopharmacol. 2010, 10, 398–405. [Google Scholar] [CrossRef] [PubMed]
- Brandi, J.; Oliveira, É.C.; Monteiro, N.K.; Vasconcelos, A.F.D.; Dekker, R.F.H.; Barbosa, A.M.; Silveira, J.L.M.; Mourão, P.A.S.; da Silva, M.D.L.C. Chemical modification of botryosphaeran: Structural characterization and anticoagulant activity of a water-soluble sulfonated (1→3)(1→6)-β-D-glucan. J. Microbiol. Biotechnol. 2011, 21, 1036–1042. [Google Scholar] [CrossRef] [PubMed]
- Monitoramento dos Casos de Arboviroses Urbanas Causados por Vírus Transmitidos pelo Mosquito Aedes (Dengue, Chikungunya e zika), Semanas Epidemiológicas 1 a 10. 2021. Available online: https://www.gov.br/saude/pt-br/media/pdf/2021/marco/23/boletim_epidemiologico_svs_10.pdf (accessed on 28 September 2021).
- Möller, S.; Schmidtke, M.; Weiss, D.; Schiller, J.; Pawlik, K.; Wutzler, P.; Schnabelrauch, M. Synthesis and antiherpetic activity of carboxymethylated and sulfated hyaluronan derivatives. Carbohydr. Polym. 2012, 90, 608–615. [Google Scholar] [CrossRef] [PubMed]
- Giese, E.C.; Dekker, R.F.H.; Barbosa, A.M.; da Silva, R. Triple helix conformation of botryosphaeran, a (1→ 3;1→ 6)-β-D-glucan produced by Botryosphaeria rhodina MAMB-05. Carbohydr. Polym. 2008, 74, 953–956. [Google Scholar] [CrossRef]
- Wang, Q.; Sheng, X.; Shi, A.; Hu, H.; Yang, Y.; Liu, L.; Fei, L.; Liu, H. β-Glucans: Relationships between modification, conformation and functional activities. Molecules 2017, 22, 257. [Google Scholar] [CrossRef] [PubMed]
- Zhang, L.; Li, X.; Zeng, F. Correlation between antitumor activity, molecular weight, and conformation of lentinan. Carbohydr. Res. 2005, 340, 1515–1521. [Google Scholar] [CrossRef] [PubMed]
- Jana, S.; Mukherjee, S.; Ribelato, E.V.; Darido, M.L.; Faccin-Galhardi, L.C.; Ray, B.; Ray, S. The heparin-mimicking arabinogalactan sulfates from Anogeissus latifolia gum: Production, structures, and anti-herpes simplex virus activity. Int. J. Biol. Macromol. 2021, 183, 1419–1426. [Google Scholar] [CrossRef] [PubMed]
- Duarte, M.E.R.; Noseda, D.G.; Noseda, M.D.; Tulio, S.; Pujol, C.A.; Damonte, E.B. Inhibitory effect of sulfated galactans from the marine alga Bostrychia montagnei on herpes simplex virus replication in vitro. Phytomedicine 2001, 8, 53–58. [Google Scholar] [CrossRef]
- Teixeira, R.R.; Pereira, W.L.; Da Silveira Oliveira, A.F.C.; Da Silva, A.M.; De Oliveira, A.S.; Da Silva, M.L.; Da Silva, C.C.; De Paula, S.O. Natural products as source of potential dengue antivirals. Molecules 2014, 19, 8151–8176. [Google Scholar] [CrossRef]
- Castilla, V.; Piccini, L.E.; Damonte, E.B. Dengue virus entry and trafficking: Perspectives as antiviral target for prevention and therapy. Future Virol. 2015, 10, 625–645. [Google Scholar] [CrossRef]
- Hidari, K.I.P.J.; Abe, T.; Suzuki, T. Crabohydrate-related inhibitors of dengue virus entry. Viruses 2013, 5, 605–618. [Google Scholar] [CrossRef]
- Frobert, E.; Burrel, S.; Ducastelle-Lepretre, S.; Billaud, G.; Ader, F.; Casalegno, J.S.; Nave, V.; Boutolleau, D.; Michallet, M.; Lina, B.; et al. Resistance of herpes simplex viruses to acyclovir: An update from a ten-year survey in France. Antiviral Res. 2014, 111, 36–41. [Google Scholar] [CrossRef]
- Caliaro, O.; Barbani, M.T.; Klenja, S.; Morfin, F.; Frobert, E.; Gorgievski, M.; Steinlin-Schopfer, J.; Suter-Riniker, F. Phenotypic testing of patient herpes simplex virus type 1 and 2 isolates for acyclovir resistance by a novel method based on real-time cell analysis. J. Clin. Virol. 2020, 125, 104303. [Google Scholar] [CrossRef]
- Steluti, R.M.; Giese, E.C.; Piggato, M.M.; Sumiya, A.F.G.; Covizzi, L.G.; Job, A.E.; Cardoso, M.S.; Corradi Da Silva, M.D.L.; Dekker, R.F.H.; Barbosa, A.M. Comparison of Botryosphaeran production by the ascomyceteous fungus Botryosphaeria sp., grown on different carbohydrate carbon sources, and their partial structural features. J. Basic Microbiol. 2004, 44, 480–486. [Google Scholar] [CrossRef]
- Verraest, D.L.; Peters, J.A.; Batelaan, J.G.; van Bekkum, H. Carboxymethylation of inulin. Carbohydr. Res. 1995, 271, 101–112. [Google Scholar] [CrossRef]
- Tatongjai, J.; Lumdubwong, N. Physicochemical properties and textile utilization of low- and moderate-substituted carboxymethyl rice starches with various amylose content. Carbohydr. Polym. 2010, 81, 377–384. [Google Scholar] [CrossRef]
- Dodgson, K.S.; Price, R.G. A note on the determination of the ester sulphate content of sulphated polysaccharides. Biochem. J. 1962, 84, 106–110. [Google Scholar] [CrossRef] [PubMed]
- Reed, L.J.; Muench, H. A simple method of estimating fifty per cent endpoints. Am. J. Epidemiol. 1938, 27, 493–497. [Google Scholar] [CrossRef]
- Mosmann, T. Rapid Colorimetric Assay for Cellular Growth and Survival: Application to Proliferation and Cytotoxicity Assays. J. Immunol. Methods 1983, 65, 55–63. [Google Scholar] [CrossRef]
- Sieuwerts, A.M.; Klijn, J.G.M.; Peters, H.A.; Foekens, J.A. The MTT Tetrazolium Salt Assay Scrutinized: How to Use this Assay Reliably to Measure Metabolic Activity of Cell Cultures in vitro for the Assessment of Growth Characteristics, IC50-Values and Cell Survival. Eur. J. Clin. Chem. Clin. Biochem. 1995, 33, 813–823. [Google Scholar] [CrossRef]
- De la Iglesia, P.; Melon, S.; Lopez, B.; Rodriguez, M.; Blanco, M.I.; Mellado, P.; De Ona, M. Rapid screening tests for determining in vitro susceptibility of herpes simplex virus clinical isolates. J. Clin. Microbiol. 1998, 36, 2389–2391. [Google Scholar] [CrossRef] [PubMed]
- Xu, H.T.; Colby-Germinario, S.P.; Hassounah, S.A.; Fogarty, C.; Osman, N.; Palanisamy, N.; Han, Y.; Oliveira, M.; Quan, Y.; Wainberg, M.A. Evaluation of Sofosbuvir (β-D-2′-deoxy-2′-α-fluoro-2′-β-C-methyluridine) as an inhibitor of Dengue virus replication. Sci. Rep. 2017, 7, 1–11. [Google Scholar] [CrossRef] [PubMed]
- Takeuchi, H.; Baba, M.; Shigeta, S. An application of tetrazolium (MTT) colorimetric assay for the screening of anti-herpes simplex virus compounds. J. Virol. Methods 1991, 33, 61–71. [Google Scholar] [CrossRef]







| HSV-KOS | HSV-AR | |||||
|---|---|---|---|---|---|---|
| Compounds | DSS | a CC50 | b IC50 | c SI | b IC50 | c SI |
| BOT d | 0 | >100 | 39.3 | >2.5 | 47.5 | >2.1 |
| CM-BOT | 0 | >100 | NIL | --- | NIL | --- |
| CM-S-BOT-1 | 0.1 | >100 | 12.4 | >8.0 | 56.0 | >1.8 |
| CM-S-BOT-2 | 0.2 | >100 | 35.0 | >2.8 | 40.0 | >2.5 |
| CM-S-BOT-3 | 0.4 | >100 | >100 | --- | 25.7 | >3.9 |
| Acyclovir | 0 | >500 | 0.13 | >3846 | >8 | >62.5 |
Publisher’s Note: MDPI stays neutral with regard to jurisdictional claims in published maps and institutional affiliations. |
© 2021 by the authors. Licensee MDPI, Basel, Switzerland. This article is an open access article distributed under the terms and conditions of the Creative Commons Attribution (CC BY) license (https://creativecommons.org/licenses/by/4.0/).
Share and Cite
Lopes, J.L.; Quinteiro, V.S.T.; Wouk, J.; Darido, M.L.; Dekker, R.F.H.; Barbosa-Dekker, A.M.; Vetvicka, V.; Cunha, M.A.A.; Faccin-Galhardi, L.C.; Orsato, A. Sulfonated and Carboxymethylated β-Glucan Derivatives with Inhibitory Activity against Herpes and Dengue Viruses. Int. J. Mol. Sci. 2021, 22, 11013. https://doi.org/10.3390/ijms222011013
Lopes JL, Quinteiro VST, Wouk J, Darido ML, Dekker RFH, Barbosa-Dekker AM, Vetvicka V, Cunha MAA, Faccin-Galhardi LC, Orsato A. Sulfonated and Carboxymethylated β-Glucan Derivatives with Inhibitory Activity against Herpes and Dengue Viruses. International Journal of Molecular Sciences. 2021; 22(20):11013. https://doi.org/10.3390/ijms222011013
Chicago/Turabian StyleLopes, José Louzinho, Vinicius Seiki Takemura Quinteiro, Jéssica Wouk, Maria Laura Darido, Robert F. H. Dekker, Aneli M. Barbosa-Dekker, Václav Vetvicka, Mário A. A. Cunha, Ligia Carla Faccin-Galhardi, and Alexandre Orsato. 2021. "Sulfonated and Carboxymethylated β-Glucan Derivatives with Inhibitory Activity against Herpes and Dengue Viruses" International Journal of Molecular Sciences 22, no. 20: 11013. https://doi.org/10.3390/ijms222011013
APA StyleLopes, J. L., Quinteiro, V. S. T., Wouk, J., Darido, M. L., Dekker, R. F. H., Barbosa-Dekker, A. M., Vetvicka, V., Cunha, M. A. A., Faccin-Galhardi, L. C., & Orsato, A. (2021). Sulfonated and Carboxymethylated β-Glucan Derivatives with Inhibitory Activity against Herpes and Dengue Viruses. International Journal of Molecular Sciences, 22(20), 11013. https://doi.org/10.3390/ijms222011013

