Design, Synthesis, Biological Evaluation, 2D-QSAR Modeling, and Molecular Docking Studies of Novel 1H-3-Indolyl Derivatives as Significant Antioxidants
Abstract
:1. Introduction
2. Rationale of the Work
3. Results and Discussion
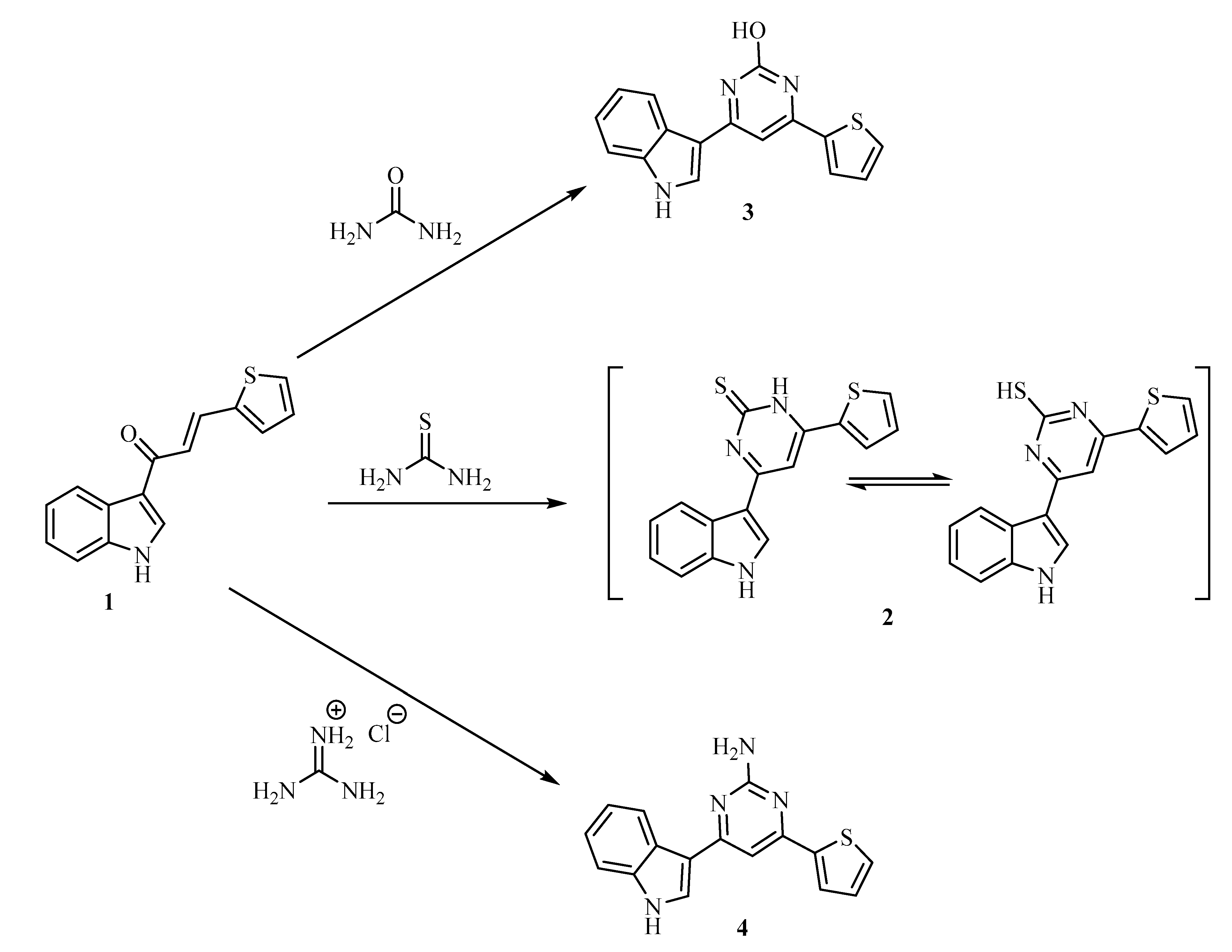
3.1. Chemistry
3.2. In Vitro Antioxidant Activity
3.3. Structure-Activity Relationship Study
- (1)
 - The introduction of simple six-membered rings in the linker region in between the indole and thiophene rings (10, 8, 3, 2, and 7) was found to be superior to its attachment to chalcone moieties (12b, 4, 12e, and 12d).
 - (2)
 - The introduction of hydrophilic functional groups in position 2 of the pyrimidine linker was observed to be in the following order (−OH > −SH > −NH2), corresponding to compounds 3, 2, and 4, respectively.
 - (3)
 - The chalcone linker formed by p-NO2 benzaldehyde derivative (12b) was better than the m-NO2 one (12d).
 - (4)
 - The presence of additional oxygen functional groups such as carbonyl or hydroxyl, even methoxy groups in the linker six-membered ring increases the antioxidant properties of these moieties.
 
3.4. Computational Chemistry
3.4.1. Docking Study
3.4.2. QSAR Modeling
+ 0.00425 AM1_HOMO − 0.00425 ∗ AM1_IP − 0.00298 ∗ AM1_LUMO − 0.00371 ∗ b_double
+ 0.54160 ∗ + 0.04828 ∗ h_pKa + 0.17928 ∗ h_pKb
+ 0.37041 ∗ AM1_HF/SD(AM1_HF) + 0.00004 ∗ AM1_HOMO/SD(AM1_HOMO)
− 0.00004 ∗ AM1_IP/SD(AM1_IP) − 0.00002 ∗ AM1_LUMO/SD(AM1_LUMO)
− 0.00009 ∗ b_double/SD(b_double) + 0.24091 ∗ E/SD(E) + 0.00296 ∗ h_pKa/SD(h_pKa)
+ 0.00735 ∗ h_pKb/SD(h_pKb)
4. Materials and Methods
4.1. Chemistry
4.2. Antioxidant Activity
4.3. Docking Study
4.4. QSAR Study
5. Conclusions
Supplementary Materials
Author Contributions
Funding
Institutional Review Board Statement
Informed Consent Statement
Data Availability Statement
Acknowledgments
Conflicts of Interest
References
- Dayem, A.A.; Choi, H.-Y.; Kim, J.-H.; Cho, S.-G. Role of Oxidative Stress in Stem, Cancer, and Cancer Stem Cells. Cancers 2010, 2, 859–884. [Google Scholar] [CrossRef] [Green Version]
 - Chong, Z.Z.; Li, F.; Maiese, K. Stress in the brain: Novel cellular mechanisms of injury linked to Alzheimer’s disease. Brain Res. Rev. 2005, 49, 1–21. [Google Scholar] [CrossRef] [Green Version]
 - Wang, J.-Y.; Shum, A.Y.C.; Ho, Y.-J.; Wang, J.-Y. Oxidative neurotoxicity in rat cerebral cortex neurons: Synergistic effects of H2O2 and NO on apoptosis involving activation of p38 mitogen-activated protein kinase and caspase-3. J. Neurosci. Res. 2003, 72, 508–519. [Google Scholar] [CrossRef] [PubMed]
 - Maiese, K.; Daniela Morhan, S.; Zhong Chong, Z. Oxidative stress biology and cell injury during type 1 and type 2 diabetes mellitus. Curr. Neurovascular Res. 2007, 4, 63–71. [Google Scholar] [CrossRef] [Green Version]
 - Carpenter, K.J. The Discovery of Vitamin C. Ann. Nutr. Metab. 2012, 61, 259–264. [Google Scholar] [CrossRef]
 - Gassmann, B.; Davies, M.B.; Austin, J.; Partridge, D.A. Vitamin C: Its Chemistry and Biochemistry; The Royal Society of Chemistry: Cambridge, UK, 1991; Volume 36, p. 414. [Google Scholar] [CrossRef]
 - Saffi, J.; Sonego, L.; Varela, Q.D.; Salvador, M. Antioxidant activity of L-ascorbic acid in wild-type and superoxide dismutase deficient strains of Saccharomyces cerevisiae. Redox Rep. 2006, 11, 179–184. [Google Scholar] [CrossRef]
 - Zámocký, M.; Furtmüller, P.G.; Obinger, C. Evolution of structure and function of Class I peroxidases. Arch. Biochem. Biophys. 2010, 500, 45–57. [Google Scholar] [CrossRef] [PubMed]
 - Halliwell, B.; Gutteridge, J.M. Free Radicals in Biology and Medicine; Oxford University Press: New York, NY, USA, 2015. [Google Scholar]
 - AbdEl-Azim, M.H.M.; Aziz, M.A.; Mouneir, S.M.; El-Farargy, A.F.; Shehab, W.S. Ecofriendly synthesis of pyrano[2,3-d]pyrimidine derivatives and related heterocycles with anti-inflammatory activities. Archiv. Pharm. 2020, 353, 2000084. [Google Scholar] [CrossRef] [PubMed]
 - Shehab, W.S.; El-Farargy, A.F.; Abdelhamid, A.O.; Aziz, M.A. Synthesis and biological application of pyranopyrimidine derivatives catalyzed by efficient nanoparticles and their nucleoside analogues. Synth. Commun. 2019, 49, 3560–3572. [Google Scholar] [CrossRef]
 - Ölgen, S.; Çoban, T. Synthesis and Antioxidant Properties of Novel N-Substituted Indole-2-carboxamide and Indole-3-acetamide Derivatives. Archiv. Pharm. 2002, 335, 331–338. [Google Scholar] [CrossRef]
 - Brown, D.W.; Graupner, P.R.; Sainsbury, M.; Shertzer, H.G. New antioxidants incorporating indole and indoline chromophores. Tetrahedron 1991, 47, 4383–4408. [Google Scholar] [CrossRef]
 - Suzen, S.; Ates-Alagöz, Z.; Püsküllü, O. Antioxidant activities of indole and benzimidazole derivatives. Fabad J. Pharm. Sci. 2000, 25, 113–119. [Google Scholar]
 - Shehab, W.S.; Abdellattif, M.H.; Mouneir, S.M. Heterocyclization of polarized system: Synthesis, antioxidant and anti-inflammatory 4-(pyridin-3-yl)-6-(thiophen-2-yl) pyrimidine-2-thiol derivatives. Chem. Cent. J. 2018, 12, 68. [Google Scholar] [CrossRef] [Green Version]
 - Russell, R.K.; Press, J.B.; Rampulla, R.A.; McNally, J.J.; Falotico, R.; Keiser, J.A.; Bright, D.A.; Tobia, A. Thiophene systems. 9. Thienopyrimidinedione derivatives as potential antihypertensive agents. J. Med. Chem. 1988, 31, 1786–1793. [Google Scholar] [CrossRef]
 - Shehab, W.S.; Saad, H.A.; Mouneir, S.M. Synthesis and Antitumor/Antiviral Evaluation of 6-Thienyl-5-cyano-2-thiouracil Derivatives and Their Thiogalactosides Analogs. Curr. Org. Synth. 2017, 14, 291–298. [Google Scholar] [CrossRef] [Green Version]
 - Shah, R.; Verma, P.K. Therapeutic importance of synthetic thiophene. Chem. Cent. J. 2018, 12, 137. [Google Scholar] [CrossRef] [Green Version]
 - Bano, T.; Kumar, N.; Dudhe, R. Free radical scavenging properties of pyrimidine derivatives. Org. Med. Chem. Lett. 2012, 2, 34. [Google Scholar] [CrossRef] [Green Version]
 - Lukienko, P.I.; Mel’nichenko, N.G.; Zverinskii, I.V.; Zabrodskaya, S.V. Antioxidant properties of thiamine. Bull. Exp. Biol. Med. 2000, 130, 874–876. [Google Scholar] [CrossRef]
 - Kostova, I.; Atanasov, P.Y. Antioxidant Properties of Pyrimidine and Uracil Derivatives. Curr. Org. Chem. 2017, 21, 2096–2108. [Google Scholar] [CrossRef]
 - Silva, V.L.M.; Elguero, J.; Silva, A.M.S. Current progress on antioxidants incorporating the pyrazole core. Eur. J. Med. Chem. 2018, 156, 394–429. [Google Scholar] [CrossRef]
 - Mladenović, M.; Mihailović, M.; Bogojević, D.; Matić, S.; Nićiforović, N.; Mihailović, V.; Vuković, N.; Sukdolak, S.; Solujić, S. In Vitro Antioxidant Activity of Selected 4-Hydroxy-chromene-2-one Derivatives—SAR, QSAR and DFT Studies. Int. J. Mol. Sci. 2011, 12, 2822. [Google Scholar] [CrossRef]
 - Hanthorn, J.J.; Amorati, R.; Valgimigli, L.; Pratt, D.A. The Reactivity of Air-Stable Pyridine- and Pyrimidine-Containing Diarylamine Antioxidants. J. Org. Chem. 2012, 77, 6895–6907. [Google Scholar] [CrossRef]
 - Amer, M.M.K.; Aziz, M.A.; Shehab, W.S.; Abdellattif, M.H.; Mouneir, S.M. Recent advances in chemistry and pharmacological aspects of 2-pyridone scaffolds. J. Saudi Chem. Soc. 2021, 25, 101259. [Google Scholar] [CrossRef]
 - Tropsha, A. Best Practices for QSAR Model Development, Validation, and Exploitation. Mol. Inform. 2010, 29, 476–488. [Google Scholar] [CrossRef]
 - Shen, M.; Béguin, C.; Golbraikh, A.; Stables, J.P.; Kohn, H.; Tropsha, A. Application of Predictive QSAR Models to Database Mining: Identification and Experimental Validation of Novel Anticonvulsant Compounds. J. Med. Chem. 2004, 47, 2356–2364. [Google Scholar] [CrossRef]
 - Medina-Franco, J.L.; Golbraikh, A.; Oloff, S.; Castillo, R.; Tropsha, A. Quantitative Structure–activity Relationship Analysis of Pyridinone HIV-1 Reverse Transcriptase Inhibitors using the k Nearest Neighbor Method and QSAR-based Database Mining. J. Comput. Aided Mol. Des. 2005, 19, 229–242. [Google Scholar] [CrossRef]
 - Zhang, S.; Wei, L.; Bastow, K.; Zheng, W.; Brossi, A.; Lee, K.-H.; Tropsha, A. Antitumor Agents 252. Application of validated QSAR models to database mining: Discovery of novel tylophorine derivatives as potential anticancer agents. J. Comput. Aided Mol. Des. 2007, 21, 97–112. [Google Scholar] [CrossRef] [PubMed] [Green Version]
 - Gramatica, P. Principles of QSAR models validation: Internal and external. QSAR Comb. Sci. 2007, 26, 694–701. [Google Scholar] [CrossRef]
 - Morris, G.M.; Lim-Wilby, M. Molecular Docking. In Molecular Modeling of Proteins; Kukol, A., Ed.; Humana Press: Totowa, NJ, USA, 2008; pp. 365–382. [Google Scholar] [CrossRef]
 - Abbot, V.; Sharma, P.; Dhiman, S.; Noolvi, M.N.; Patel, H.M.; Bhardwaj, V. Small hybrid heteroaromatics: Resourceful biological tools in cancer research. RSC Adv. 2017, 7, 28313–28349. [Google Scholar] [CrossRef] [Green Version]
 - Ketcha, D.M.; Gribble, G.W. A convenient synthesis of 3-acylindoles via Friedel Crafts acylation of 1-(phenylsulfonyl)indole. A new route to pyridocarbazole-5,11-quinones and ellipticine. J. Org. Chem. 1985, 50, 5451–5457. [Google Scholar] [CrossRef]
 - Murphy, E.J.; Metcalfe, C.L.; Basran, J.; Moody, P.C.; Raven, E.L. Engineering the substrate specificity and reactivity of a heme protein: Creation of an ascorbate binding site in cytochrome c peroxidase. Biochemistry 2008, 47, 13933–13941. [Google Scholar] [CrossRef]
 - Skehan, P.; Storeng, R.; Scudiero, D.; Monks, A.; McMahon, J.; Vistica, D.; Warren, J.T.; Bokesch, H.; Kenney, S.; Boyd, M.R. New Colorimetric Cytotoxicity Assay for Anticancer-Drug Screening. JNCI J. Natl. Cancer Inst. 1990, 82, 1107–1112. [Google Scholar] [CrossRef]
 - Taha, M.; Sultan, S.; Herizal, M.; Fatmi, M.Q.; Selvaraj, M.; Ramasamy, K.; Halim, S.A.; Lim, S.M.; Rahim, F.; Ashraf, K.; et al. Synthesis, anticancer, molecular docking and QSAR studies of benzoylhydrazone. J. Saudi Chem. Soc. 2019, 23, 1168–1179. [Google Scholar] [CrossRef]
 - Mohammed Khan, K.; Shah, Z.; Uddin Ahmad, V.; Khan, M.; Taha, M.; Rahim, F.; Jahan, H.; Perveen, S.; Iqbal Choudhary, M. Synthesis of 2, 4, 6-trichlorophenyl hydrazones and their inhibitory potential against glycation of protein. Med. Chem. 2011, 7, 572–580. [Google Scholar] [CrossRef]
 - ElBordiny, H.S.; El-Miligy, M.M.; Kassab, S.E.; Daabees, H.; Mohamed Ali, W.A.; Abdelhamid Mohamed El-Hawash, S. Design, synthesis, biological evaluation and docking studies of new 3-(4,5-dihydro-1H-pyrazol/isoxazol-5-yl)-2-phenyl-1H-indole derivatives as potent antioxidants and 15-lipoxygenase inhibitors. Eur. J. Med. Chem. 2018, 145, 594–605. [Google Scholar] [CrossRef]
 - Re, R.; Pellegrini, N.; Proteggente, A.; Pannala, A.; Yang, M.; Rice-Evans, C. Antioxidant activity applying an improved ABTS radical cation decolorization assay. Free Radic. Biol. Med. 1999, 26, 1231–1237. [Google Scholar] [CrossRef]
 - Chemical Computing Group Inc. Molecular Operating Environment (MOE); Chemical Computing Group Inc.: Montreal, QC, Canada, 2016. [Google Scholar]
 - Elmaaty, A.; Hamed, M.; Ismail, M.; Elkaeed, E.; Abulkhair, H.; Khattab, M.; Al-Karmalawy, A. Computational Insights on the Potential of Some NSAIDs for Treating COVID-19: Priority Set and Lead Optimization. Molecules 2021, 26, 3772. [Google Scholar] [CrossRef]
 - Alesawy, M.S.; Al-Karmalawy, A.A.; Elkaeed, E.B.; Alswah, M.; Belal, A.; Taghour, M.S.; Eissa, I.H. Design and discovery of new 1, 2, 4-triazolo [4, 3-c] quinazolines as potential DNA intercalators and topoisomerase II inhibitors. Archiv. Pharm. 2021, 354, 2000237. [Google Scholar] [CrossRef] [PubMed]
 - Elmaaty, A.A.; Darwish, K.M.; Khattab, M.; Elhady, S.S.; Salah, M.; Hamed, M.I.; Al-Karmalawy, A.A.; Saleh, M.M. In a search for potential drug candidates for combating COVID-19: Computational study revealed salvianolic acid B as a potential therapeutic targeting 3CLpro and spike proteins. J. Biomol. Struct. Dyn. 2021, 1–28. [Google Scholar] [CrossRef] [PubMed]
 - Soltane, R.; Chrouda, A.; Mostafa, A.; Al-Karmalawy, A.A.; Chouaïb, K.; Pashameah, R.A.; Alasiri, A.; Kutkat, O.; Shehata, M.; Jannet, H.B. Strong Inhibitory Activity and Action Modes of Synthetic Maslinic Acid Derivative on Highly Pathogenic Coronaviruses: COVID-19 Drug Candidate. Pathogens 2021, 10, 623. [Google Scholar] [CrossRef] [PubMed]
 - Samra, R.M.; Soliman, A.F.; Zaki, A.A.; Ashour, A.; Al-Karmalawy, A.A.; Hassan, M.A.; Zaghloul, A.M. Bioassay-guided isolation of a new cytotoxic ceramide from Cyperus rotundus L. S. Afr. Bot. 2021, 139, 210–216. [Google Scholar] [CrossRef]
 - Zaki, A.A.; Ashour, A.; Elhady, S.S.; Darwish, K.M.; Al-Karmalawy, A.A. Calendulaglycoside A showing potential activity against SARS-CoV-2 main protease: Molecular docking, molecular dynamics, and SAR studies. J. Tradit. Complement. Med. 2021. [Google Scholar] [CrossRef]
 










| Comp. | Conc (µM) | ||||||
|---|---|---|---|---|---|---|---|
| 10 | 20 | 30 | 40 | 50 | 60 | IC50 | |
| 10 | 21.6 | 36.1 | 50.3 | 59.7 | 71.0 | 84.5 | 28.23 ± 0.19 | 
| 8 | 18.7 | 31.9 | 40.2 | 57.3 | 69.1 | 83.5 | 31.71 ± 0.21 | 
| 3 | 16.5 | 29.1 | 38.2 | 52.3 | 64.9 | 78.6 | 34.87 ± 0.22 | 
| 2 | 13.0 | 23.7 | 30.1 | 42.6 | 54.8 | 64.1 | 45.26 ± 0.28 | 
| 7 | 12.5 | 25.3 | 31.1 | 40.4 | 51.9 | 59.2 | 48.88 ± 0.24 | 
| 12b | 9.4 | 24.9 | 32.6 | 39.4 | 43.0 | 55.2 | 55.70 ± 0.31 | 
| 4 | 10.8 | 21.2 | 27.6 | 34.5 | 39.0 | 48.7 | 68.83 ± 0.35 | 
| 12e | 19.1 | 23.1 | 28.7 | 35.2 | 39.4 | 52.1 | 71.06 ± 0.37 | 
| 12d | 7.8 | 18.6 | 26.2 | 31.4 | 35.7 | 42.5 | 80.87 ± 0.48 | 
| Vit. C | 20.1 | 36.3 | 47.5 | 60.7 | 70.2 | 82.7 | 30.23 ± 0.15 | 
| Compound | Score * | RMSD | Receptor Interactions | Distance * | 
|---|---|---|---|---|
| 10 | −7.49 | 1.06 | Ser185/H-donor | 2.98 | 
| His175/pi-pi | 3.82 | |||
| 8 | −7.24 | 0.77 | Arg184/H-acceptor | 2.89 | 
| Ser185/H-acceptor | 3.15 | |||
| His181/H-acceptor | 3.19 | |||
| His175/H-pi | 4.46 | |||
| Ascorbic acid (docked)  | −4.60 | 1.64 | Met172/H-donor | 3.21 | 
| Met172/H-donor | 3.29 | |||
| His175/H-acceptor | 3.32 | 
| Compound | 3D Receptor Interactions | 3D Receptor Positioning | 
|---|---|---|
| 10 |  ![]()  |  ![]()  | 
| 8 |  ![]()  |  ![]()  | 
| Ascorbic acid (docked) |  ![]()  |  ![]()  | 
| Code | Structure | Code | Structure | 
|---|---|---|---|
| 4a |  ![]()  | 6a |  ![]()  | 
| 4b |  ![]()  | 6b |  ![]()  | 
| 4c |  ![]()  | 6c |  ![]()  | 
| 5a |  ![]()  | 6d |  ![]()  | 
| 5b |  ![]()  | 7 |  ![]()  | 
| 5c |  ![]()  | Ascorbic acid |  ![]()  | 
| Mol. | IC50 | AM1_ Dipole  | AM1_E | AM1_ HF  | AM1_ HOMO  | AM1_ IP  | AM1_ LUMO  | b_Double | E | h_pKa | h_pKb | 
|---|---|---|---|---|---|---|---|---|---|---|---|
| 4a | 21 | 5.03 | −89,676.41 | 167.91 | −8.35 | 8.35 | −0.31 | 1.00 | 57.57 | 14.00 | 7.14 | 
| 4b | 35 | 2.99 | −89,676.74 | 185.72 | −8.30 | 8.30 | −0.36 | 1.00 | 68.23 | 14.00 | 8.27 | 
| 4c | 24 | 3.73 | −86,118.22 | 175.61 | −8.25 | 8.25 | −0.29 | 1.00 | 81.53 | 14.00 | 9.43 | 
| 5a | 70 | 5.23 | −91,962.23 | 135.54 | −8.50 | 8.50 | −0.48 | 1.00 | 52.95 | 14.00 | 8.07 | 
| 5b | 117 | 3.22 | −91,962.84 | 134.94 | −8.47 | 8.47 | −0.46 | 1.00 | 63.56 | 14.00 | 8.90 | 
| 5c | 233 | 3.57 | −88,403.33 | 129.78 | −8.40 | 8.40 | −0.40 | 1.00 | 74.17 | 14.00 | 14.00 | 
| 6a | 29 | 8.10 | −103,600.10 | 137.00 | −8.62 | 8.62 | −0.54 | 2.00 | 56.15 | 14.00 | 7.58 | 
| 6b | 53 | 5.27 | −118,976.99 | 174.77 | −8.60 | 8.60 | −0.42 | 2.00 | 84.13 | 14.00 | 7.56 | 
| 6c | 29 | 5.53 | −103,599.55 | 139.04 | −8.73 | 8.73 | −0.36 | 2.00 | 56.59 | 14.00 | 7.58 | 
| 6d | 50 | 3.20 | −118,977.77 | 173.99 | −8.56 | 8.56 | −0.43 | 2.00 | 94.39 | 14.00 | 8.68 | 
| 7 | 37 | 4.53 | −93,258.02 | 173.10 | −8.53 | 8.53 | −0.19 | 1.00 | 51.55 | 14.00 | 7.00 | 
| 2 | 42 | 4.12 | −73,955.20 | 138.00 | −8.45 | 8.45 | −0.74 | 0.00 | 32.43 | 11.78 | 7.08 | 
| 10 | 28 | 5.16 | −99,419.59 | −24.37 | −8.48 | 8.48 | −0.53 | 3.00 | 40.11 | 9.57 | 14.00 | 
| 3 | 35 | 4.13 | −76,858.14 | 96.20 | −8.42 | 8.42 | −0.79 | 0.00 | 9.91 | 9.09 | 7.46 | 
| 12b | 56 | 8.59 | −124,440.79 | 180.53 | −8.62 | 8.62 | −1.77 | 4.00 | 84.13 | 18.12 | 8.21 | 
| 12d | 81 | 3.78 | −124,441.94 | 178.35 | −8.56 | 8.56 | −1.51 | 4.00 | 78.68 | 18.18 | 8.28 | 
| 12e | 71 | 8.22 | −116,256.55 | 135.79 | −8.42 | 8.42 | −0.94 | 3.00 | 61.33 | 9.78 | 7.67 | 
| Ascorpic A. | 18 | 3.57 | −64,592.94 | −232.22 | −9.81 | 9.81 | −0.66 | 2.00 | 89.43 | 7.30 | 9.91 | 
| Descriptor | Relative Importance | 
|---|---|
| AM1_dipole | 0.004654 | 
| AM1_E | 0.402764 | 
| AM1_HF | 1.000000 | 
| AM1_HOMO | 0.000101 | 
| AM1_IP | 0.000101 | 
| AM1_LUMO | 0.000066 | 
| b_double | 0.000231 | 
| E | 0.650402 | 
| h_pKa | 0.007998 | 
| h_pKb | 0.019853 | 
| Compound | Predicted IC50 | Exp. IC50 | 
|---|---|---|
| 1 | 69.38435583 | -- | 
| 8 | 49.09544469 | 31.71 | 
| 9 | 74.55433474 | -- | 
| 2 | 51.26496301 | 45 | 
| 4 | 27.77711207 | 68.83 | 
| 5 | 79.93628873 | -- | 
| 6 | 77.74169132 | -- | 
| 7 | 47.80848428 | 48.88 | 
| 10 | 23.05876527 | 28 | 
| 3 | 31.84598687 | 35 | 
| 11 | 53.56207022 | -- | 
| 12a | 66.38183873 | -- | 
| 12b | 65.65430383 | 56 | 
| 12c | 56.45276193 | -- | 
| 12d | 62.64197628 | 81 | 
| 12e | 49.63524301 | 71 | 
| Ascorbic acid | 32.91004419 | 26 | 
Publisher’s Note: MDPI stays neutral with regard to jurisdictional claims in published maps and institutional affiliations.  | 
© 2021 by the authors. Licensee MDPI, Basel, Switzerland. This article is an open access article distributed under the terms and conditions of the Creative Commons Attribution (CC BY) license (https://creativecommons.org/licenses/by/4.0/).
Share and Cite
Aziz, M.A.; Shehab, W.S.; Al-Karmalawy, A.A.; EL-Farargy, A.F.; Abdellattif, M.H. Design, Synthesis, Biological Evaluation, 2D-QSAR Modeling, and Molecular Docking Studies of Novel 1H-3-Indolyl Derivatives as Significant Antioxidants. Int. J. Mol. Sci. 2021, 22, 10396. https://doi.org/10.3390/ijms221910396
Aziz MA, Shehab WS, Al-Karmalawy AA, EL-Farargy AF, Abdellattif MH. Design, Synthesis, Biological Evaluation, 2D-QSAR Modeling, and Molecular Docking Studies of Novel 1H-3-Indolyl Derivatives as Significant Antioxidants. International Journal of Molecular Sciences. 2021; 22(19):10396. https://doi.org/10.3390/ijms221910396
Chicago/Turabian StyleAziz, Maged A., Wesam S. Shehab, Ahmed A. Al-Karmalawy, Ahmed F. EL-Farargy, and Magda H. Abdellattif. 2021. "Design, Synthesis, Biological Evaluation, 2D-QSAR Modeling, and Molecular Docking Studies of Novel 1H-3-Indolyl Derivatives as Significant Antioxidants" International Journal of Molecular Sciences 22, no. 19: 10396. https://doi.org/10.3390/ijms221910396
APA StyleAziz, M. A., Shehab, W. S., Al-Karmalawy, A. A., EL-Farargy, A. F., & Abdellattif, M. H. (2021). Design, Synthesis, Biological Evaluation, 2D-QSAR Modeling, and Molecular Docking Studies of Novel 1H-3-Indolyl Derivatives as Significant Antioxidants. International Journal of Molecular Sciences, 22(19), 10396. https://doi.org/10.3390/ijms221910396
        
                                                

                        
       
















