Exploring the Effect of Structure-Based Scaffold Hopping on the Inhibition of Coxsackievirus A24v Transduction by Pentavalent N-Acetylneuraminic Acid Conjugates
Abstract
:1. Introduction
2. Results
2.1. Design
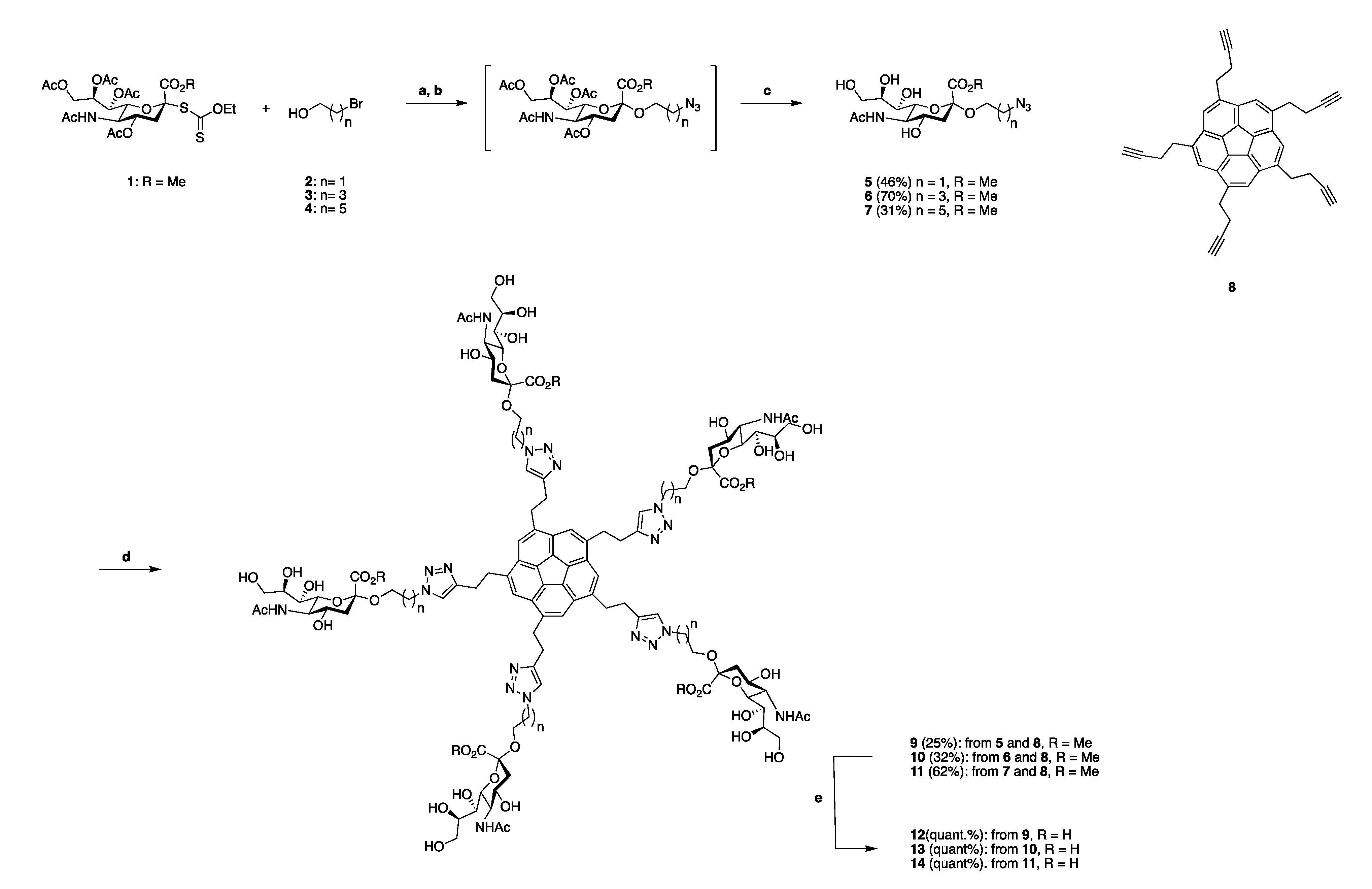
2.2. Synthesis of Scaffold-Replaced Pentavalent Neu5Ac Conjugates
2.3. Corannulene-Based Pentavalent Neu5Ac Conjugates Attenuate CVA24v Transduction
2.4. X-ray Crystallography Supports Binding of Inhibitors to CVA24v
2.5. Cryo-EM Supports Inhibitor Binding over the Five-Fold Axis of CVA24v
3. Conclusions
4. Materials and Methods
4.1. Computational Modelling
4.2. CVA24v Production and CVA24v Transduction
4.3. Crystallization and Structure Determination
4.4. Cryo-Electron Microscopy
Image Processing
4.5. General Chemical Procedures
4.5.1. General Procedure for Synthesis of Deprotected Azido-Sialosides
4.5.2. General Procedure for CuAAC
4.5.3. General Procedure for Ester Hydrolysis
Supplementary Materials
Author Contributions
Funding
Institutional Review Board Staement
Data Availability Statement
Acknowledgments
Conflicts of Interest
References
- Huremović, D. Brief history of pandemics (Pandemics throughout history). Psychiatry Pandemics 2019, 7–35. [Google Scholar] [CrossRef]
- Oh, M.-d.; Park, S.; Choi, Y.; Kim, H.; Lee, K.; Park, W.; Yoo, Y.; Kim, E.-C.; Choe, K. Acute hemorrhagic conjunctivitis caused by coxsackievirus A24 variant, South Korea, 2002. Emerg. Infect. Dis. 2003, 9, 1010–1012. [Google Scholar] [CrossRef]
- Kurokawa, M.; Rai, S.K.; Ono, K.; Gurung, R.; Ruit, S. Viral investigation of acute hemorrhagic conjunctivitis outbreak (2003) in Nepal using molecular methods. Southeast Asian J. Trop. Med. Public Health 2006, 37, 904–910. [Google Scholar] [PubMed]
- Ghazali, O.; Chua, K.B.; Ng, K.P.; Hooi, P.S.; Pallansch, M.A.; Oberste, M.S.; Chua, K.H.; Mak, J.W. An outbreak of acute haemorrhagic conjunctivitis in Melaka, Malaysia. SMJ 2003, 44, 511–516. [Google Scholar]
- Zhang, L.; Zhao, N.; Huang, X.; Jin, X.; Geng, X.; Chan, T.-C.; Liu, S. Molecular epidemiology of acute hemorrhagic conjunctivitis caused by coxsackie A type 24 variant in China, 2004–2014. Sci. Rep. 2017, 7, 45202. [Google Scholar] [CrossRef] [PubMed] [Green Version]
- Chaves, S.S.; Black, J.; Kennett, M.; Lobo, S. Coxsackie virus A24 infection presenting as acute flaccid paralysis. Lancet 2001, 357, 605. [Google Scholar] [CrossRef]
- Baggen, J.; Hurdiss, D.L.; Zocher, G.; Mistry, N.; Roberts, R.W.; Slager, J.J.; Guo, H.; van Vliet, A.L.W.; Wahedi, M.; Benschop, K.; et al. Role of enhanced receptor engagement in the evolution of a pandemic acute hemorrhagic conjunctivitis virus. Proc. Natl. Acad. Sci. USA 2018, 115, 397. [Google Scholar] [CrossRef] [Green Version]
- Nilsson, E.C.; Jamshidi, F.; Johansson, S.M.C.; Oberste, M.S.; Arnberg, N. Sialic acid is a cellular receptor for coxsackievirus A24 variant, an emerging virus with pandemic potential. J. Virol. 2008, 82, 3061. [Google Scholar] [CrossRef] [Green Version]
- Zocher, G.; Mistry, N.; Frank, M.; Hähnlein-Schick, I.; Ekström, J.-O.; Arnberg, N.; Stehle, T. A sialic acid binding site in a human picornavirus. PLoS Pathog. 2014, 10, e1004401. [Google Scholar] [CrossRef] [PubMed] [Green Version]
- Ernst, B.; Magnani, J.L. From carbohydrate leads to glycomimetic drugs. Nat. Rev. Drug Discov. 2009, 8, 661. [Google Scholar] [CrossRef]
- Gestwicki, J.E.; Cairo, C.W.; Strong, L.E.; Oetjen, K.A.; Kiessling, L.L. Influencing receptor−ligand binding mechanisms with multivalent ligand architecture. J. Am. Chem. Soc. 2002, 124, 14922–14933. [Google Scholar] [CrossRef] [PubMed]
- Kitov, P.I.; Sadowska, J.M.; Mulvey, G.; Armstrong, G.D.; Ling, H.; Pannu, N.S.; Read, R.J.; Bundle, D.R. Shiga-like toxins are neutralized by tailored multivalent carbohydrate ligands. Nature 2000, 403, 669–672. [Google Scholar] [CrossRef]
- Caraballo, R.; Saleeb, M.; Bauer, J.; Liaci, A.M.; Chandra, N.; Storm, R.J.; Frangsmyr, L.; Qian, W.; Stehle, T.; Arnberg, N.; et al. Triazole linker-based trivalent sialic acid inhibitors of adenovirus type 37 infection of human corneal epithelial cells. Org. Biomol. Chem. 2015, 13, 9194–9205. [Google Scholar] [CrossRef] [Green Version]
- Napoli, P.E.; Mangoni, L.; Gentile, P.; Braghiroli, M.; Fossarello, M. A Panel of Broad-spectrum antivirals in topical ophthalmic medications from the drug repurposing approach during and after the coronavirus disease 2019 era. J. Clin. Med. 2020, 9, 2441. [Google Scholar] [CrossRef]
- Sun, H.; Tawa, G.; Wallqvist, A. Classification of scaffold-hopping approaches. Drug Disc. Today 2012, 17, 310–324. [Google Scholar] [CrossRef] [PubMed] [Green Version]
- Schneider, G.; Neidhart, W.; Giller, T.; Schmid, G. “Scaffold-hopping” by topological pharmacophore search: A contribution to virtual screening. Angew. Chem. Int. Ed. 1999, 38, 2894–2896. [Google Scholar] [CrossRef]
- Langdon, S.R.; Brown, N.; Blagg, J. Scaffold diversity of exemplified medicinal chemistry space. J. Chem. Inf. Model. 2011, 51, 2174–2185. [Google Scholar] [CrossRef]
- Kawamura, S.; Unno, Y.; Hirokawa, T.; Asai, A.; Arisawa, M.; Shuto, S. Rational hopping of a peptidic scaffold into non-peptidic scaffolds: Structurally novel potent proteasome inhibitors derived from a natural product, belactosin A. Chem. Commun. 2014, 50, 2445–2447. [Google Scholar] [CrossRef] [Green Version]
- Ratni, H.; Rogers-Evans, M.; Bissantz, C.; Grundschober, C.; Moreau, J.-L.; Schuler, F.; Fischer, H.; Alvarez Sanchez, R.; Schnider, P. Discovery of Highly Selective brain-penetrant vasopressin 1a antagonists for the potential treatment of autism via a chemogenomic and scaffold hopping approach. J. Med. Chem. 2015, 58, 2275–2289. [Google Scholar] [CrossRef]
- Beaulieu, P.L.; Gillard, J.; Bykowski, D.; Brochu, C.; Dansereau, N.; Duceppe, J.-S.; Haché, B.; Jakalian, A.; Lagacé, L.; LaPlante, S.; et al. Improved replicon cellular activity of non-nucleoside allosteric inhibitors of HCV NS5B polymerase: From benzimidazole to indole scaffolds. Bioorg. Med. Chem. Lett. 2006, 16, 4987–4993. [Google Scholar] [CrossRef]
- Roy, P.; Leblanc, Y.; Ball, R.G.; Brideau, C.; Chan, C.C.; Chauret, N.; Cromlish, W.; Ethier, D.; Gauthier, J.Y.; Gordon, R.; et al. A new series of selective COX-2 inhibitors: 5,6-diarylthiazolo[3,2-b][1,2,4]triazoles. Bioorg. Med. Chem. Lett. 1997, 7, 57–62. [Google Scholar] [CrossRef]
- Koltun, D.O.; Vasilevich, N.I.; Parkhill, E.Q.; Glushkov, A.I.; Zilbershtein, T.M.; Mayboroda, E.I.; Boze, M.A.; Cole, A.G.; Henderson, I.; Zautke, N.A.; et al. Orally bioavailable, liver-selective stearoyl-CoA desaturase (SCD) inhibitors. Bioorg. Med. Chem. Lett. 2009, 19, 3050–3053. [Google Scholar] [CrossRef] [PubMed]
- Johansson, E.; Caraballo, R.; Mistry, N.; Zocher, G.; Qian, W.; Andersson, C.D.; Hurdiss, D.L.; Chandra, N.; Thompson, R.; Frängsmyr, L.; et al. Pentavalent sialic acid conjugates block coxsackievirus A24 variant and human adenovirus type 37–Viruses that cause highly contagious eye infections. ACS Chem. Biol. 2020, 15, 2683–2691. [Google Scholar] [CrossRef]
- Bhatia, S.; Camacho, L.C.; Haag, R. Pathogen inhibition by multivalent ligand architectures. J. Am. Chem. Soc. 2016, 138, 8654–8666. [Google Scholar] [CrossRef]
- Ercolani, G.; Piguet, C.; Borkovec, M.; Hamacek, J. Symmetry numbers and statistical factors in self-assembly and multivalency. J. Phys. Chem. B 2007, 111, 12195–12203. [Google Scholar] [CrossRef] [PubMed]
- Ercolani, G. Assessment of Cooperativity in Self-Assembly. J. Am. Chem. Soc. 2003, 125, 16097–16103. [Google Scholar] [CrossRef]
- Mattarella, M.; Siegel, J.S. Sym-(CH2X)5-corannulenes: Molecular pentapods displaying functional group and bioconjugate appendages. Org. Biomol. Chem. 2012, 10, 5799–5802. [Google Scholar] [CrossRef]
- Kanao, E.; Kubo, T.; Naito, T.; Matsumoto, T.; Sano, T.; Yan, M.; Otsuka, K. Differentiating π interactions by constructing concave/convex surfaces using a bucky bowl molecule, corannulene in liquid chromatography. Anal. Chem. 2019, 91, 2439–2446. [Google Scholar] [CrossRef]
- Nishio, M. The CH/π hydrogen bond in chemistry. Conformation, supramolecules, optical resolution and interactions involving carbohydrates. Phys. Chem. Chem. Phys. 2011, 13, 13873–13900. [Google Scholar] [CrossRef]
- Scott, L.T.; Hashemi, M.M.; Bratcher, M.S. Corannulene bowl-to-bowl inversion is rapid at room temperature. J. Am. Chem. Soc. 1992, 114, 1920–1921. [Google Scholar] [CrossRef]
- Grube, G.H.; Elliott, E.L.; Steffens, R.J.; Jones, C.S.; Baldridge, K.K.; Siegel, J.S. Synthesis and properties of sym-pentasubstituted derivatives of corannulene. Org. Lett. 2003, 5, 713–716. [Google Scholar] [CrossRef] [PubMed]
- Jaguar, version 9.1; Schrödinger, LLC: New York, NY, USA, 2014.
- Becke, A.D. Density-functional exchange-energy approximation with correct asymptotic behavior. Phys. Rev. A 1988, 38, 3098–3100. [Google Scholar] [CrossRef] [PubMed]
- Pulay, P. Convergence acceleration of iterative sequences. The case of scf iteration. Chem. Phys. Lett. 1980, 73, 393–398. [Google Scholar] [CrossRef]
- Marra, A.; Sinaÿ, P. Stereoselective synthesis of 2-thioglycosides of N-acetylneuraminic acid. Carbohydr. Res. 1989, 187, 35–42. [Google Scholar] [CrossRef]
- Meijer, A.; Ellervik, U. Study of Interhalogens/Silver Trifluoromethanesulfonate as promoter systems for high-yielding sialylations. J. Org. Chem. 2002, 67, 7407–7412. [Google Scholar] [CrossRef]
- Hurdiss, D.L.; Frank, M.; Snowden, J.S.; Macdonald, A.; Ranson, N.A. The structure of an infectious human polyomavirus and its interactions with cellular receptors. Structure 2018, 26, 839–847.e833. [Google Scholar] [CrossRef] [Green Version]
- Drulyte, I.; Johnson, R.M.; Hesketh, E.L.; Hurdiss, D.L.; Scarff, C.A.; Porav, S.A.; Ranson, N.A.; Muench, S.P.; Thompson, R.F. Approaches to altering particle distributions in cryo-electron microscopy sample preparation. Acta Crystallogr. Sect. D 2018, 74, 560–571. [Google Scholar] [CrossRef] [PubMed]
- Snowden, J.S.; Hurdiss, D.L.; Adeyemi, O.O.; Ranson, N.A.; Herod, M.R.; Stonehouse, N.J. Dynamics in the murine norovirus capsid revealed by high-resolution cryo-EM. PLoS Biol. 2020, 18, e3000649. [Google Scholar] [CrossRef]
- Numata, J.; Juneja, A.; Diestler, D.J.; Knapp, E.-W. Influence of spacer–receptor interactions on the stability of bivalent ligand–receptor complexes. J. Phys. Chem. B 2012, 116, 2595–2604. [Google Scholar] [CrossRef]
- Dewar, M.J.S.; Zoebisch, E.G.; Healy, E.F.; Stewart, J.J.P. Development and use of quantum mechanical molecular models. 76. AM1: A new general purpose quantum mechanical molecular model. J. Am. Chem. Soc. 1985, 107, 3902–3909. [Google Scholar] [CrossRef]
- Semiempirical NDDO Protocol; Version 33014; Schrödinger, LLC: New York, NY, USA, 2020.
- Bochevarov, A.D.; Harder, E.; Hughes, T.F.; Greenwood, J.R.; Braden, D.A.; Philipp, D.M.; Rinaldo, D.; Halls, M.D.; Zhang, J.; Friesner, R.A. Jaguar: A high-performance quantum chemistry software program with strengths in life and materials sciences. Int. J. Quantum Chem. 2013, 113, 2110–2142. [Google Scholar] [CrossRef]
- Lee, C.; Yang, W.; Parr, R.G. Development of the Colle-Salvetti correlation-energy formula into a functional of the electron density. Phys. Rev. B 1988, 37, 785–789. [Google Scholar] [CrossRef] [Green Version]
- Grimme, S.; Antony, J.; Ehrlich, S.; Krieg, H. A consistent and accurate ab initio parametrization of density functional dispersion correction (DFT-D) for the 94 elements H-Pu. J. Chem. Phys. 2010, 132, 154104. [Google Scholar] [CrossRef] [Green Version]
- Kabsch, W. Integration, scaling, space-group assignment and post-refinement. Acta Crystallogr. Sect. D Struct. Biol. 2010, 66, 133–144. [Google Scholar] [CrossRef] [PubMed] [Green Version]
- Murshudov, G.N.; Skubak, P.; Lebedev, A.A.; Pannu, N.S.; Steiner, R.A.; Nicholls, R.A.; Winn, M.D.; Long, F.; Vagin, A.A. REFMAC5 for the refinement of macromolecular crystal structures. Acta Crystallogr. Sect. D Biol. Crystallogr. 2011, 67, 355–367. [Google Scholar] [CrossRef] [PubMed] [Green Version]
- Adams, P.D.; Afonine, P.V.; Bunkóczi, G.; Chen, V.B.; Davis, I.W.; Echols, N.; Headd, J.J.; Hung, L.W.; Kapral, G.J.; Grosse-Kunstleve, R.W.; et al. PHENIX: A comprehensive Python-based system for macromolecular structure solution. Acta Crystallogr. Sect. D Struct. Biol. 2010, 66, 213–221. [Google Scholar] [CrossRef] [Green Version]
- Emsley, P.; Lohkamp, B.; Scott, W.G.; Cowtan, K. Features and development of Coot. Acta Crystallogr. Sect. D Biol. Crystallogr. 2010, 66, 486–501. [Google Scholar] [CrossRef] [PubMed] [Green Version]
- Williams, C.J.; Headd, J.J.; Moriarty, N.W.; Prisant, M.G.; Videau, L.L.; Deis, L.N.; Verma, V.; Keedy, D.A.; Hintze, B.J.; Chen, V.B.; et al. MolProbity: More and better reference data for improved all-atom structure validation. Protein Sci. 2018, 27, 293–315. [Google Scholar] [CrossRef] [PubMed]
- The PyMOL Molecular Graphics System; Version 1.8.4; Schrödinger, LLC: New York, NY, USA, 2010.
- Zivanov, J.; Nakane, T.; Forsberg, B.O.; Kimanius, D.; Hagen, W.J.; Lindahl, E.; Scheres, S.H. New tools for automated high-resolution cryo-EM structure determination in RELION-3. Elife 2018, 7, e42166. [Google Scholar] [CrossRef] [PubMed]
- Zheng, S.Q.; Palovcak, E.; Armache, J.-P.; Verba, K.A.; Cheng, Y.; Agard, D.A. MotionCor2: Anisotropic correction of beam-induced motion for improved cryo-electron microscopy. Nat. Methods 2017, 14, 331–332. [Google Scholar] [CrossRef] [Green Version]
- Zhang, K. Gctf: Real-time CTF determination and correction. J. Struct. Biol. 2016, 193, 1–12. [Google Scholar] [CrossRef] [PubMed] [Green Version]
- Scheres, S.H.W. Semi-automated selection of cryo-EM particles in RELION-1.3. J. Struct. Biol. 2015, 189, 114–122. [Google Scholar] [CrossRef] [Green Version]
- Pettersen, E.F.; Goddard, T.D.; Huang, C.C.; Couch, G.S.; Greenblatt, D.M.; Meng, E.C.; Ferrin, T.E. UCSF Chimera—A visualization system for exploratory research and analysis. J. Comput. Chem. 2004, 25, 1605–1612. [Google Scholar] [CrossRef] [Green Version]
- Zivanov, J.; Nakane, T.; Scheres, S.H.W. A Bayesian approach to beam-induced motion correction in cryo-EM single-particle analysis. IUCrJ 2019, 6, 5–17. [Google Scholar] [CrossRef] [PubMed] [Green Version]
- Frank, J.; Radermacher, M.; Penczek, P.; Zhu, J.; Li, Y.; Ladjadj, M.; Leith, A. SPIDER and WEB: Processing and visualization of images in 3D electron microscopy and related fields. J. Struct. Biol. 1996, 116, 190–199. [Google Scholar] [CrossRef] [PubMed]
- Pettersen, E.F.; Goddard, T.D.; Huang, C.C.; Meng, E.C.; Couch, G.S.; Croll, T.I.; Morris, J.H.; Ferrin, T.E. UCSF ChimeraX: Structure visualization for researchers, educators, and developers. Protein Sci. 2021, 30, 70–82. [Google Scholar] [CrossRef] [PubMed]





| CVA24v:14 Complex | |
|---|---|
| Resolution (Å) 50 | 50–1.78 (1.89–1.78) |
| Space group | I222 |
| Unit cell | |
| a, b, c (Å) | 305.13, 365.55, 366.71 |
| No of reflections | 14,772,705 (2,349,016) |
| unique reflections | 1,921,680 (308,924) |
| Redundancy | 7.7 (7.6) |
| Completeness (%) | 99.9 (99.7) |
| I/σ (I) | 6.6 (1.1) |
| CC1/2 | 98.6 (50.6) |
| Wilson B (Å2) | 21.9 |
| Rmeas (%) | 28.2 (142.8) |
| Rwork (%) | 15.8 |
| Rmsd | |
| Bond angle (°) | 1.36 |
| Bond length (Å) | 0.005 |
| Average B-Factor (Å2) | |
| CVA24v (VP1/VP2/VP3/VP4) | 35/33/32/40 |
| ligand | 55 |
| water | 45 |
| Ramachandran | |
| Favoured (%) | 94.0 |
| Outlier (%) | 1.0 |
| Hardware | |
|---|---|
| Microscope | Titan Krios |
| Detector (mode) | K2 super resolution |
| Accelerating voltage (ke−V) | 300 |
| Pixel size (Å) | 0.82 |
| Data acquisition parameters | |
| Nominal magnification | 165 k |
| Spot size | 7 |
| Illuminated area | 1.31 |
| Dose | |
| Square pixel (Å2) | 0.67 |
| Dose per physical pixel per second | 3.28 |
| Dose per Å2/s | 4.89 |
| Exposure time (seconds) | 10 |
| Total dose (e/Å2) | 48.9 |
| Number of fractions | 50 |
| Dose per fraction (e/Å2) | 0.97 |
| EPU parameters | |
| Defocus range (−μm) | −0.5 to −2.3 (0.2 increments) |
| Autofocus | After distance, 10 μm |
| Drift measurement | Each grid square, 0.05 nm/s |
| Delay after stage shift | 10 s |
| Delay after image shift | na |
| Exposures per hole | na |
| Apertures (size in microns) | |
| C1 | 2000 |
| C2 | 70 |
| C3 | 2000 |
| Objective | 100 |
| Image processing | |
| Movies (No.) | 1443 |
| Initial particle images (No.) | 23,952 |
| Final particle images (No.) | 8865 |
| Map resolution (Å) | 2.3 |
| FSC threshold | 0.143 |
| Map sharpening B-factor (Å2) | −49 |
| Symmetry imposed | I1 |
Publisher’s Note: MDPI stays neutral with regard to jurisdictional claims in published maps and institutional affiliations. |
© 2021 by the authors. Licensee MDPI, Basel, Switzerland. This article is an open access article distributed under the terms and conditions of the Creative Commons Attribution (CC BY) license (https://creativecommons.org/licenses/by/4.0/).
Share and Cite
Johansson, E.; Caraballo, R.; Hurdiss, D.L.; Mistry, N.; Andersson, C.D.; Thompson, R.F.; Ranson, N.A.; Zocher, G.; Stehle, T.; Arnberg, N.; et al. Exploring the Effect of Structure-Based Scaffold Hopping on the Inhibition of Coxsackievirus A24v Transduction by Pentavalent N-Acetylneuraminic Acid Conjugates. Int. J. Mol. Sci. 2021, 22, 8418. https://doi.org/10.3390/ijms22168418
Johansson E, Caraballo R, Hurdiss DL, Mistry N, Andersson CD, Thompson RF, Ranson NA, Zocher G, Stehle T, Arnberg N, et al. Exploring the Effect of Structure-Based Scaffold Hopping on the Inhibition of Coxsackievirus A24v Transduction by Pentavalent N-Acetylneuraminic Acid Conjugates. International Journal of Molecular Sciences. 2021; 22(16):8418. https://doi.org/10.3390/ijms22168418
Chicago/Turabian StyleJohansson, Emil, Rémi Caraballo, Daniel L. Hurdiss, Nitesh Mistry, C. David Andersson, Rebecca F. Thompson, Neil A. Ranson, Georg Zocher, Thilo Stehle, Niklas Arnberg, and et al. 2021. "Exploring the Effect of Structure-Based Scaffold Hopping on the Inhibition of Coxsackievirus A24v Transduction by Pentavalent N-Acetylneuraminic Acid Conjugates" International Journal of Molecular Sciences 22, no. 16: 8418. https://doi.org/10.3390/ijms22168418
APA StyleJohansson, E., Caraballo, R., Hurdiss, D. L., Mistry, N., Andersson, C. D., Thompson, R. F., Ranson, N. A., Zocher, G., Stehle, T., Arnberg, N., & Elofsson, M. (2021). Exploring the Effect of Structure-Based Scaffold Hopping on the Inhibition of Coxsackievirus A24v Transduction by Pentavalent N-Acetylneuraminic Acid Conjugates. International Journal of Molecular Sciences, 22(16), 8418. https://doi.org/10.3390/ijms22168418

