Identification of miR-20a-5p as Robust Normalizer for Urine microRNA Studies in Renal Cell Carcinoma and a Profile of Dysregulated microRNAs
Abstract
:1. Introduction
2. Results
2.1. Clinical Characteristics of the Study Subjects
2.2. Quality Internal Control with Synthetic Spike-in RNAs
2.3. Selection of Candidate miRNA Normalizers and Analysis of Their Stability
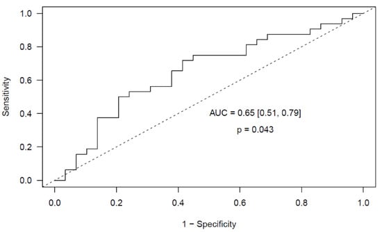
2.4. Differences in Expression Levels of the Candidate miRNA Normalizer between RCC Patients and Controls
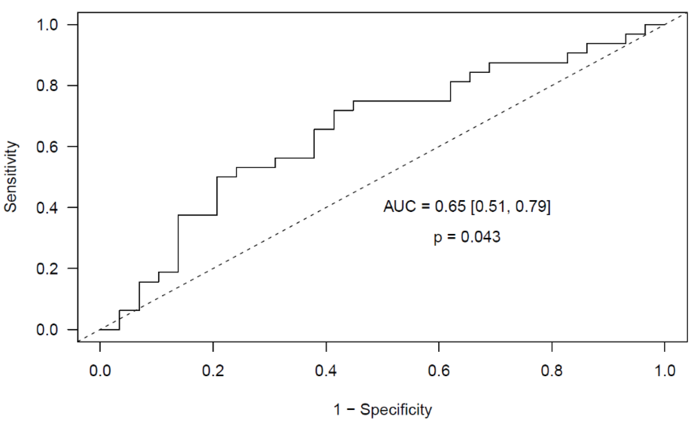
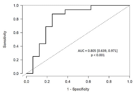
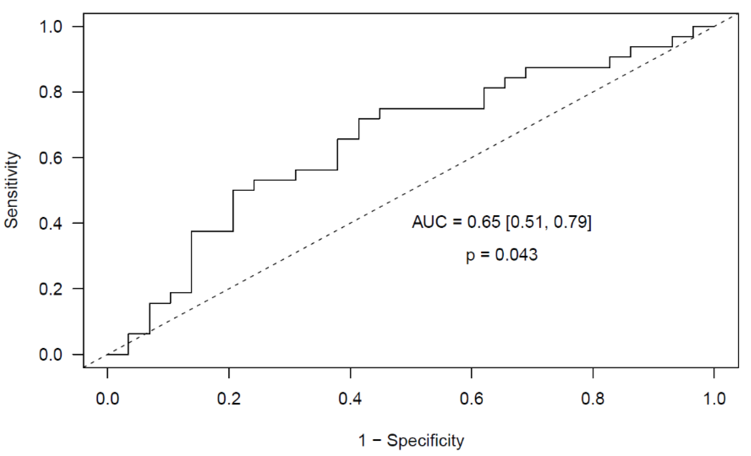
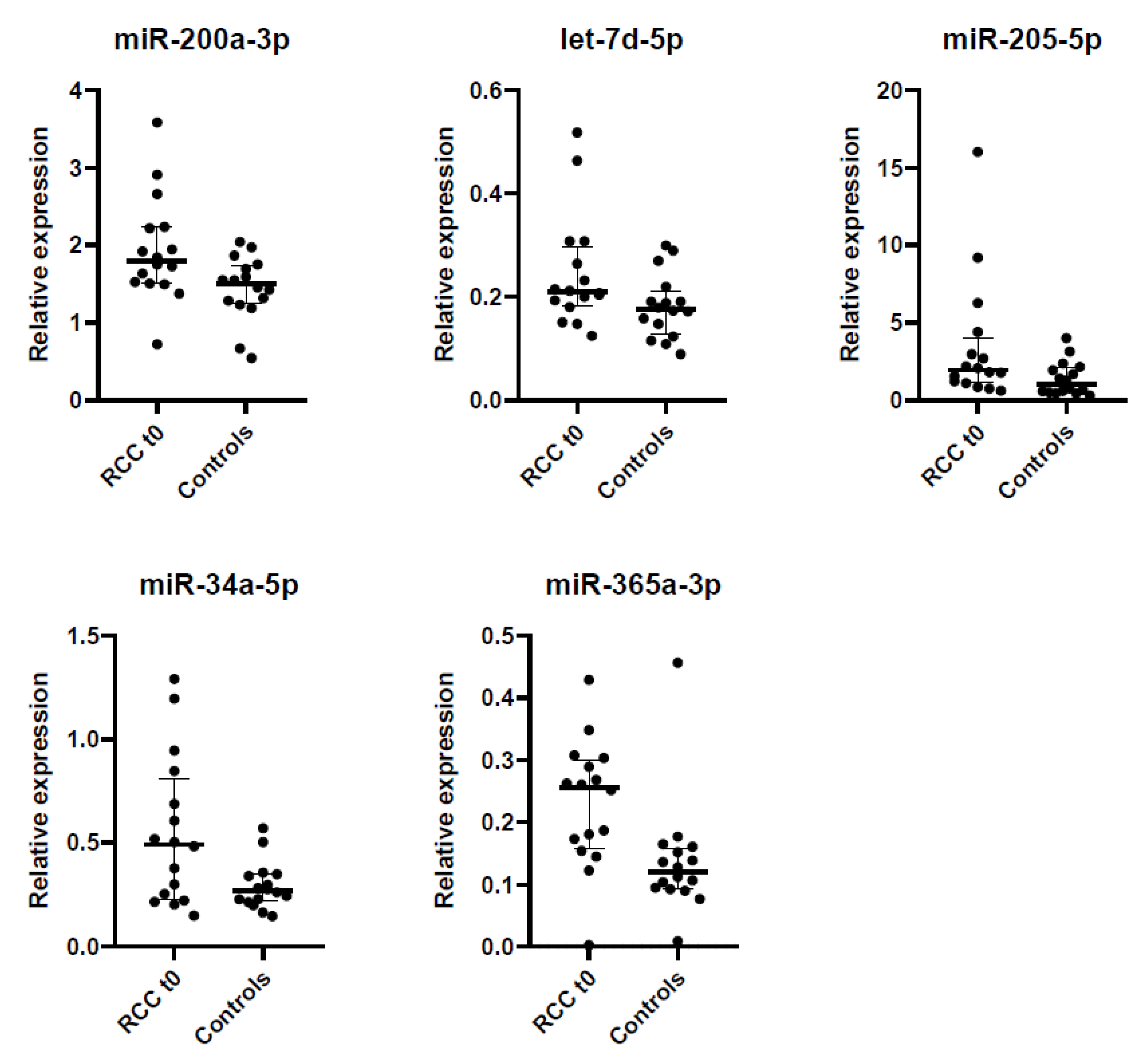
2.5. Identification of Dysregulated miRNAs in RCC Patients before Surgery Compared to Controls
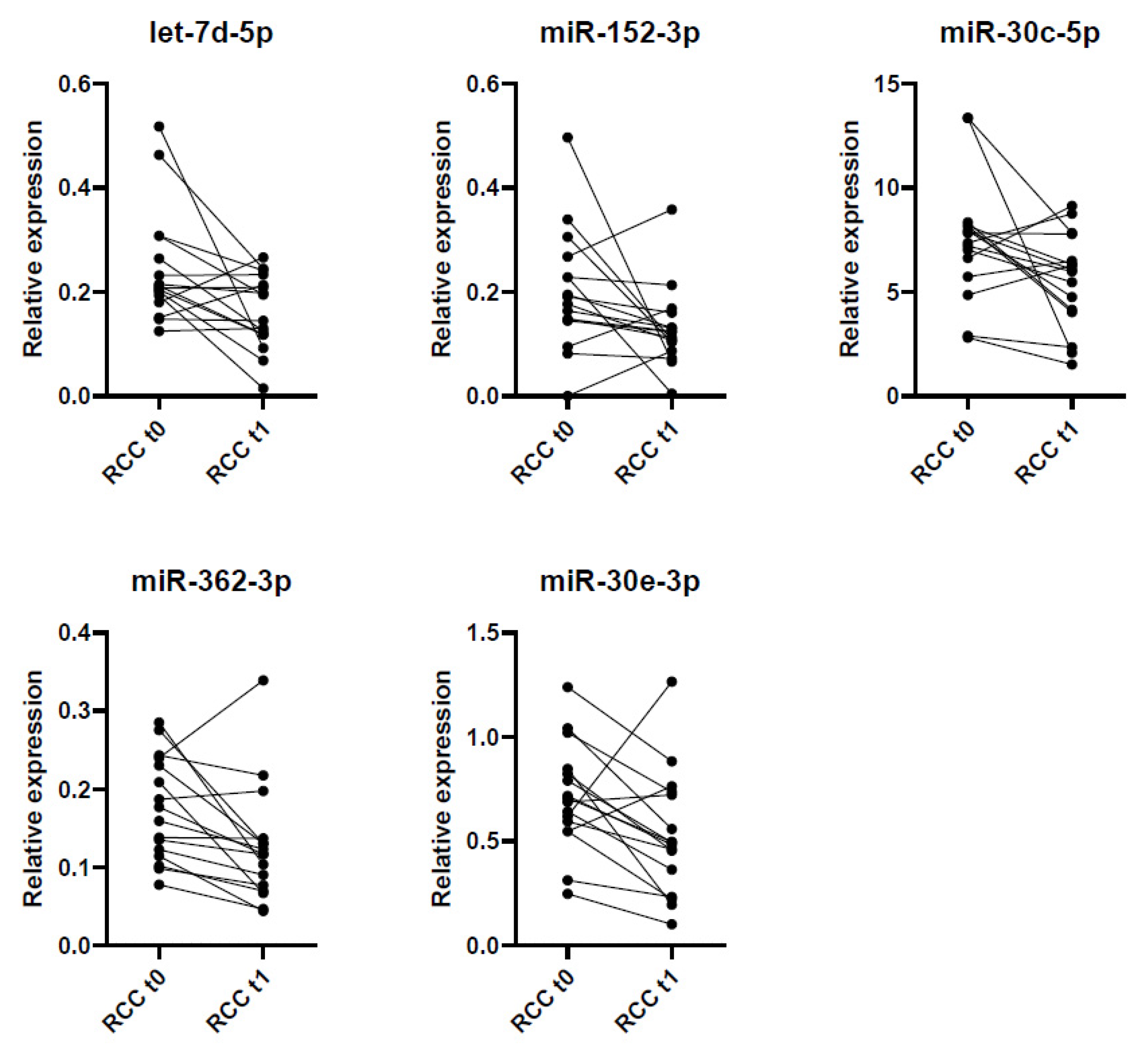
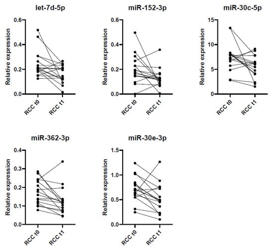
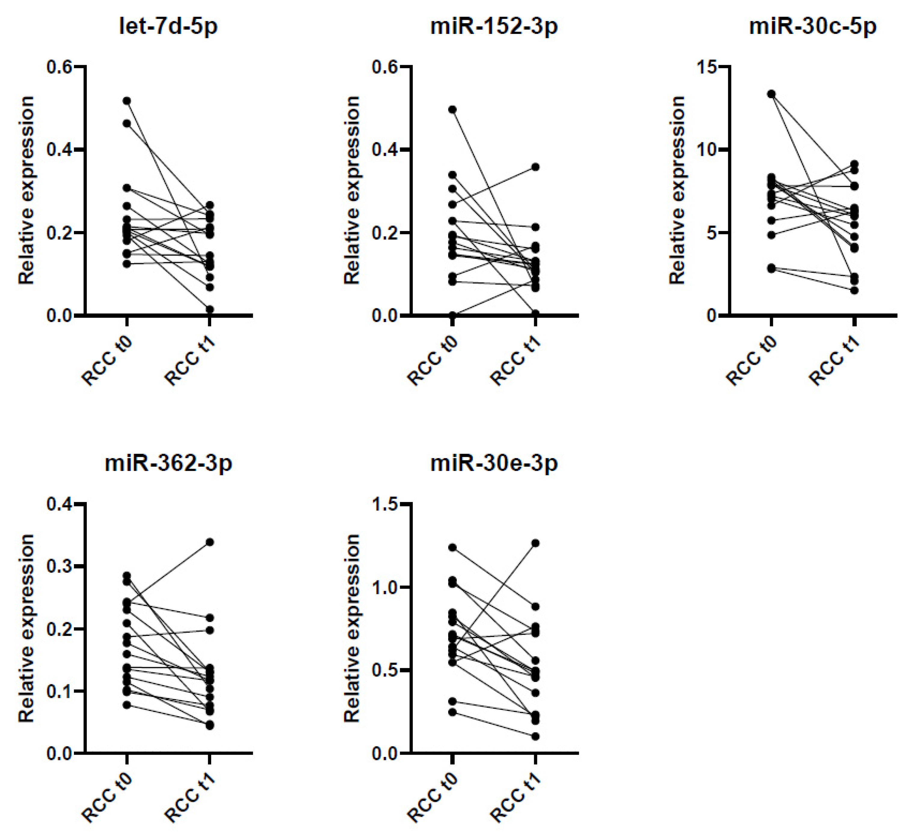
2.6. Identification of Dysregulated miRNAs in RCC Patients before and after Surgery
2.7. Identification of miRNAs’ Targets
3. Discussion
4. Materials and Methods
4.1. Patient Recruitment
4.2. Urine Collection
4.3. RNA Isolation and cDNA Synthesis from Urine
4.4. miRNAs Quantification
4.5. Selection of Candidate miRNA Normalizers and Analysis of Their Stability
4.6. Identification of miRNAs’ Targets
4.7. Statistical Analysis
5. Conclusions
Supplementary Materials
Author Contributions
Funding
Institutional Review Board Statement
Informed Consent Statement
Data Availability Statement
Acknowledgments
Conflicts of Interest
References
- Cairns, P. Renal cell carcinoma. Cancer Biomark. 2010, 9, 461–473. [Google Scholar] [CrossRef]
- Padala, S.A.; Barsouk, A.; Thandra, K.C.; Saginala, K.; Mohammed, A.; Vakiti, A.; Rawla, P.; Barsouk, A. Epidemiology of renal cell carcinoma. World J. Oncol. 2020, 11, 79–87. [Google Scholar] [CrossRef]
- Muglia, V.F.; Prando, A. Renal cell carcinoma: Histological classification and correlation with imaging findings. Radiol Bras. 2015, 48, 166–174. [Google Scholar] [CrossRef] [Green Version]
- Ficarra, V.; Martignoni, G.; Galfano, A.; Novara, G.; Gobbo, S.; Brunelli, M.; Pea, M.; Zattoni, F.; Artibani, W. Prognostic role of the histologic subtypes of renal cell carcinoma after slide revision. Eur. Urol. 2006, 50, 786–793, discussion 793–784. [Google Scholar] [CrossRef]
- Herranz, R.; Oto, J.; Plana, E.; Fernández-Pardo, A.; Cana, F.; Martínez-Sarmiento, M.; Vera-Donoso, C.D.; España, F.; Medina, P. Circulating cell-free DNA in liquid biopsies as potential biomarker for bladder cancer: A systematic review. Cancers 2021, 13, 1448. [Google Scholar] [CrossRef]
- Quirico, L.; Orso, F. The power of microRNAs as diagnostic and prognostic biomarkers in liquid biopsies. Cancer Drug Resist. 2020, 3, 117–139. [Google Scholar] [CrossRef] [Green Version]
- Bartel, D.P. microRNAs: Target recognition and regulatory functions. Cell 2009, 136, 215–233. [Google Scholar] [CrossRef] [PubMed] [Green Version]
- Nguyen, H.C.; Xie, W.; Yang, M.; Hsieh, C.L.; Drouin, S.; Lee, G.S.; Kantoff, P.W. Expression differences of circulating microRNAs in metastatic castration resistant prostate cancer and low-risk, localized prostate cancer. Prostate 2013, 73, 346–354. [Google Scholar] [CrossRef] [PubMed] [Green Version]
- Mihelich, B.L.; Maranville, J.C.; Nolley, R.; Peehl, D.M.; Nonn, L. Elevated serum microRNA levels associate with absence of high-grade prostate cancer in a retrospective cohort. PLoS ONE 2015, 10, e0124245. [Google Scholar] [CrossRef]
- Stuopelyte, K.; Daniunaite, K.; Bakavicius, A.; Lazutka, J.R.; Jankevicius, F.; Jarmalaite, S. The utility of urine-circulating miRNAs for detection of prostate cancer. Br. J. Cancer 2016, 115, 707–715. [Google Scholar] [CrossRef] [Green Version]
- Schena, F.P.; Serino, G.; Sallustio, F. microRNAs in kidney diseases: New promising biomarkers for diagnosis and monitoring. Nephrol. Dial. Transplant. 2014, 29, 755–763. [Google Scholar] [CrossRef] [Green Version]
- Wonnacott, A.; Bowen, T.; Fraser, D.J. microRNAs as biomarkers in chronic kidney disease. Curr. Opin. Nephrol. Hypertens. 2017, 26, 460–466. [Google Scholar] [CrossRef] [PubMed]
- Fendler, A.; Stephan, C.; Yousef, G.M.; Kristiansen, G.; Jung, K. The translational potential of microRNAs as biofluid markers of urological tumours. Nat. Rev. Urol. 2016, 13, 734–752. [Google Scholar] [CrossRef] [PubMed]
- Fridman, E.; Dotan, Z.; Barshack, I.; David, M.B.; Dov, A.; Tabak, S.; Zion, O.; Benjamin, S.; Benjamin, H.; Kuker, H.; et al. Accurate molecular classification of renal tumors using microRNA expression. J. Mol. Diagn. 2010, 12, 687–696. [Google Scholar] [CrossRef] [PubMed]
- Youssef, Y.M.; White, N.M.; Grigull, J.; Krizova, A.; Samy, C.; Mejia-Guerrero, S.; Evans, A.; Yousef, G.M. Accurate molecular classification of kidney cancer subtypes using microRNA signature. Eur. Urol. 2011, 59, 721–730. [Google Scholar] [CrossRef]
- Oto, J.; Plana, E.; Sánchez-González, J.V.; García-Olaverri, J.; Fernández-Pardo, A.; España, F.; Martínez-Sarmiento, M.; Vera-Donoso, C.D.; Navarro, S.; Medina, P. Urinary microRNAs: Looking for a new tool in diagnosis, prognosis, and monitoring of renal cancer. Curr. Urol. Rep. 2020, 21, 11. [Google Scholar] [CrossRef]
- Oto, J.; Plana, E.; Fernández-Pardo, A.; Cana, F.; Martínez-Sarmiento, M.; Vera-Donoso, C.D.; España, F.; Medina, P. Identification of miR-29c-3p as a robust normalizer for urine microRNA studies in bladder cancer. Biomedicines 2020, 8, 447. [Google Scholar] [CrossRef]
- Schwarzenbach, H.; da Silva, A.M.; Calin, G.; Pantel, K. Data normalization strategies for microRNA quantification. Clin. Chem. 2015, 61, 1333–1342. [Google Scholar] [CrossRef] [PubMed]
- Wang, C.; Ding, M.; Zhu, Y.Y.; Hu, J.; Zhang, C.; Lu, X.; Ge, J.; Wang, J.J.; Zhang, C. Circulating miR-200a is a novel molecular biomarker for early-stage renal cell carcinoma. ExRNA 2019, 1, 25. [Google Scholar] [CrossRef] [Green Version]
- Fedorko, M.; Juracek, J.; Stanik, M.; Svoboda, M.; Poprach, A.; Buchler, T.; Pacik, D.; Dolezel, J.; Slaby, O. Detection of let-7 miRNAs in urine supernatant as potential diagnostic approach in non-metastatic clear-cell renal cell carcinoma. Biochem. Med. Zagreb 2017, 27, 411–417. [Google Scholar] [CrossRef] [PubMed] [Green Version]
- Song, S.; Long, M.; Yu, G.; Cheng, Y.; Yang, Q.; Liu, J.; Wang, Y.; Sheng, J.; Wang, L.; Wang, Z.; et al. Urinary exosome miR-30c-5p as a biomarker of clear cell renal cell carcinoma that inhibits progression by targeting HSPA5. J. Cell. Mol. Med. 2019, 23, 6755–6765. [Google Scholar] [CrossRef] [PubMed]
- Porta, C.; Paglino, C.; Mosca, A. Targeting PI3K/AKT/mTOR signaling in cancer. Front. Oncol. 2014, 4, 64. [Google Scholar] [CrossRef] [PubMed] [Green Version]
- Li, H.; Zeng, J.; Shen, K. PI3K/AKT/mTOR signaling pathway as a therapeutic target for ovarian cancer. Arch. Gynecol. Obstet. 2014, 290, 1067–1078. [Google Scholar] [CrossRef]
- Harsha, C.; Banik, K.; Ang, H.L.; Girisa, S.; Vikkurthi, R.; Parama, D.; Rana, V.; Shabnam, B.; Khatoon, E.; Kumar, A.P.; et al. Targeting akt/mtor in oral cancer: Mechanisms and advances in clinical trials. Int. J. Mol. Sci. 2020, 21, 3285. [Google Scholar] [CrossRef] [PubMed]
- Yang, J.; Nie, J.; Ma, X.; Wei, Y.; Peng, Y.; Wei, X. Targeting PI3K in cancer: Mechanisms and advances in clinical trials. Mol. Cancer 2019, 18, 26. [Google Scholar] [CrossRef] [Green Version]
- Braicu, C.; Buse, M.; Busuioc, C.; Drula, R.; Gulei, D.; Raduly, L.; Rusu, A.; Irimie, A.; Atanasov, A.G.; Slaby, O.; et al. A comprehensive review on MAPK: A promising therapeutic target in cancer. Cancers 2019, 11, 1618. [Google Scholar] [CrossRef] [Green Version]
- Svoronos, A.A.; Engelman, D.M.; Slack, F.J. OncomiR or tumor suppressor? The duplicity of microRNAs in cancer. Cancer Res. 2016, 76, 3666–3670. [Google Scholar] [CrossRef] [Green Version]
- Ramón-Núñez, L.A.; Martos, L.; Fernández-Pardo, A.; Oto, J.; Medina, P.; España, F.; Navarro, S. Comparison of protocols and rna carriers for plasma miRNA isolation. Unraveling rna carrier influence on mirna isolation. PLoS ONE 2017, 12, e0187005. [Google Scholar] [CrossRef] [PubMed] [Green Version]







| Screening Stage Cohort | Validation Stage Cohort | ||||
|---|---|---|---|---|---|
| Patients N = 16 | Controls N = 16 | Patients N = 51 | Controls N = 32 | Angiomyolipomas N = 13 | |
| Age, y | 67.5 (61.25–71) | 68 (59.50–71.25) | 63 (52–69) | 62.5 (51–71.5) | 61 (45–70) |
| Male sex, N (%) | 13 (81.25%) | 13 (81.25%) | 29 (56.86%) | 21 (65.63%) | 1 (7.69%) |
| Urine creatinine, mg/dL | 80.7 (61.7–147.9) | 85.7 (57.1–111.9) | 70.6 (42.7–122.7) | 96.75 (62.6–154.1) | 64 (53.15–109.3) |
| RCC Tumor type, N (%) | |||||
| ccRCC | 16 (100%) | - | 29 (56.86%) | - | - |
| papRCC | - | - | 16 (31.37%) | - | - |
| chrRCC | - | - | 6 (11.77%) | - | - |
| Tumor Stage, N (%) | |||||
| I | 13 (81.25%) | - | 41 (80.39%) | - | - |
| II | 2 (12.5%) | - | 2 (3.92%) | - | - |
| III | 1 (6.25%) | - | 6 (11.77%) | - | - |
| VI | - | - | 2 (3.92%) | - | - |
| miR-200a-3p | let-7d-5p | miR-205-5p | miR-34a-5p | miR-365a-3p | |
|---|---|---|---|---|---|
| miR-200a-3p | 1 | 0.458 (0.008) | −0.229 (0.207) | 0.375 (0.034) | 0.474 (0.006) |
| let-7d-5p | 1 | 0.198 (0.276) | 0.645 (0.0001) | 0.411 (0.019) | |
| miR-205-5p | 1 | 0.570 (0.001) | 0.234 (0.197) | ||
| miR-34a-5p | 1 | 0.435 (0.013) | |||
| miR-365a-3p | 1 |
| let-7d-5p | miR-152-3p | miR-30c-5p | miR-362-3p | miR-30e-3p | |
|---|---|---|---|---|---|
| let-7d-5p | 1 | 0.467 (0.007) | 0.786 (0.0001) | 0.432 (0.013) | 0.600 (0.0001) |
| miR-152-3p | 1 | 0.622 (0.0001) | 0.211 (0.247) | 0.499 (0.004) | |
| miR-30c-5p | 1 | 0.446 (0.011) | 0.671 (0.0001) | ||
| miR-362-3p | 1 | 0.519 (0.002) | |||
| miR-30e-3p | 1 |
| Renal cell carcinoma Pathway | |||
|---|---|---|---|
| miRNA | Sequence | Validated Targets | Predicted Targets |
| Comparison: RCC Patients before Surgery and Controls | |||
| miR-200a-3p * | uaacacugucugguaacgaugu | GRB2 | HGF, TGFB2, CUL2 |
| miR-34a-5p * | uggcagugucuuagcugguugu | FH, GRB2, MAP2K1, MAPK3, MET, VEGFA | PIK3CB, PTPN11, ARNT |
| miR-365a-3p * | uaaugccccuaaaaauccuuau | AKT1, KRAS, RAC1 | TGFB3, PIK3R3 |
| miR-205-5p | uccuucauuccaccggagucug | - | VEGFA, MAPK3, PIK3CG, TCEB1, EGLN2, VEGFA |
| let-7d-5p | agagguaguagguugcauaguu | - | BRAF, HGF |
| Comparison: RCC Patients before (t0) and After Surgery (t1) | |||
| let-7d-5p | agagguaguagguugcauaguu | - | BRAF, HGF |
| miR-152-3p | ucagugcaugacagaacuugg | KRAS, SOS2, TGFA | ETS1, SOS1, TGFB2, EPAS1, SLC2A1, MET, JUN, PAK3, GRB2, GAB1 |
| miR-30c-5p | uguaaacauccuacacucucagc | CUL2, EP300, ETS1, GAB1, MAP2K1, PIK3R2, RAC1, RAP1B, TGFA | PIK3CB, PIK3CD, EGLN1, TCEB1 |
| miR-362-3p | aacacaccuauucaaggauuca | ARNT, CRK, ETS1, PAK6, PIK3CG, PIK3R1, RAPGEF1, VEGFA | AKT2, MET, CUL2, RAP1B, CDC42, RBX1 |
| miR-30e-3p | cuuucagucggauguuuacagc | CRK, KRAS, SOS2 | GRB2, EGLN1, RBX1, MAP2K2 |
Publisher’s Note: MDPI stays neutral with regard to jurisdictional claims in published maps and institutional affiliations. |
© 2021 by the authors. Licensee MDPI, Basel, Switzerland. This article is an open access article distributed under the terms and conditions of the Creative Commons Attribution (CC BY) license (https://creativecommons.org/licenses/by/4.0/).
Share and Cite
Oto, J.; Herranz, R.; Plana, E.; Sánchez-González, J.V.; Pérez-Ardavín, J.; Hervás, D.; Fernández-Pardo, Á.; Cana, F.; Vera-Donoso, C.D.; Martínez-Sarmiento, M.; et al. Identification of miR-20a-5p as Robust Normalizer for Urine microRNA Studies in Renal Cell Carcinoma and a Profile of Dysregulated microRNAs. Int. J. Mol. Sci. 2021, 22, 7913. https://doi.org/10.3390/ijms22157913
Oto J, Herranz R, Plana E, Sánchez-González JV, Pérez-Ardavín J, Hervás D, Fernández-Pardo Á, Cana F, Vera-Donoso CD, Martínez-Sarmiento M, et al. Identification of miR-20a-5p as Robust Normalizer for Urine microRNA Studies in Renal Cell Carcinoma and a Profile of Dysregulated microRNAs. International Journal of Molecular Sciences. 2021; 22(15):7913. https://doi.org/10.3390/ijms22157913
Chicago/Turabian StyleOto, Julia, Raquel Herranz, Emma Plana, José Vicente Sánchez-González, Javier Pérez-Ardavín, David Hervás, Álvaro Fernández-Pardo, Fernando Cana, César David Vera-Donoso, Manuel Martínez-Sarmiento, and et al. 2021. "Identification of miR-20a-5p as Robust Normalizer for Urine microRNA Studies in Renal Cell Carcinoma and a Profile of Dysregulated microRNAs" International Journal of Molecular Sciences 22, no. 15: 7913. https://doi.org/10.3390/ijms22157913
APA StyleOto, J., Herranz, R., Plana, E., Sánchez-González, J. V., Pérez-Ardavín, J., Hervás, D., Fernández-Pardo, Á., Cana, F., Vera-Donoso, C. D., Martínez-Sarmiento, M., & Medina, P. (2021). Identification of miR-20a-5p as Robust Normalizer for Urine microRNA Studies in Renal Cell Carcinoma and a Profile of Dysregulated microRNAs. International Journal of Molecular Sciences, 22(15), 7913. https://doi.org/10.3390/ijms22157913

