Redox Mechanism of Azathioprine and Its Interaction with DNA
Abstract
1. Introduction
2. Materials and Methods
2.1. Reagents and Solutions
2.2. Instrumentation
2.2.1. Electrochemical Measurements
2.2.2. Field-Emission Scanning Electron Microscopy (FESEM)
2.2.3. Mass Spectrometry
2.3. Biosensor Preparation and Incubation Procedure
3. Results and Discussion
3.1. Azathioprine Redox Behavior
3.1.1. Voltammetric Analysis
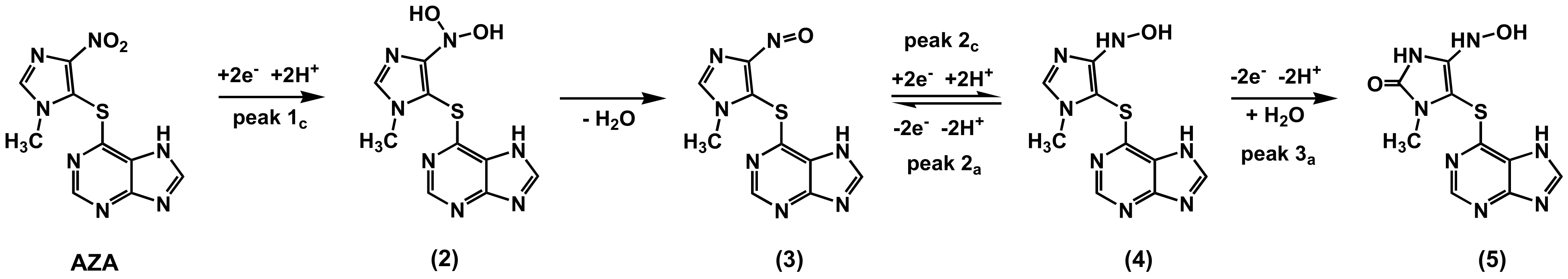
3.1.2. Redox Mechanism
3.2. Azathioprine–DNA Interaction
3.2.1. Morphological Characterization
3.2.2. DNA Electrochemical Biosensor
3.2.3. Mass Spectrometry
3.2.4. Interaction Mechanism
4. Conclusions
Supplementary Materials
Author Contributions
Funding
Conflicts of Interest
References
- Hemmens, V.J.; Moore, D.E. Photochemical sensitization by azathioprine and its metabolites-i. 6-mercaptopurine. Photochem. Photobiol. 1986, 43, 247–255. [Google Scholar] [CrossRef]
- Hoffmann, M.; Rychlewski, J.; Chrzanowska, M.; Hermann, T. Mechanism of activation of an immunosuppressive drug: Azathioprine. Quantum chemical study on the reaction of aza-thioprine with cysteine. J. Am. Chem. Soc. 2001, 123, 6404–6409. [Google Scholar] [CrossRef]
- Maltzman, J.S.; Koretzky, G.A. Azathioprine: Old drug, new actions. J. Clin. Investig. 2003, 111, 1122–1124. [Google Scholar] [CrossRef]
- Casetta, I.; Iuliano, G.; Filippini, G. Azathioprine for multiple sclerosis. Cochrane Database Syst. Rev. 2007, 4, 1–34. [Google Scholar] [CrossRef]
- Miao, Q.; Bai, Y.J.; Zhang, J.L.; Li, Y.; Su, Z.Z.; Yan, L.; Wang, L.L.; Zou, Y.G. Highly sensitive and rapid determination of azathioprine metabolites in whole blood lysate by liquid chroma-tography–tandem mass spectrometry. J. Chromatogr. B Anal. Technol. Biomed. Life Sci. 2020, 1136, 121802. [Google Scholar] [CrossRef]
- Moore, D.E. Principles and practice of drug photodegradation studies. J. Pharm. Biomed. Anal. 1987, 5, 441–453. [Google Scholar] [CrossRef]
- Perrett, C.; Walker, S.; O’Donovan, P.; Warwick, J.; Harwood, C.; Karran, P.; McGregor, J. Azathioprine treatment photosensitizes human skin to ultraviolet A radiation. Br. J. Dermatol. 2008, 159, 198–204. [Google Scholar] [CrossRef]
- Hemmens, V.J.; Moore, D.E. Photochemical Sensitization By Azathioprine and Its Metabo-lites—Ii. Azathioprine and Nitroimidazole Metabolites. Photochem. Photobiol. 1986, 43, 257–262. [Google Scholar] [CrossRef]
- Zhang, Y.; Zhang, J.; Xiao, Y.; Chang, V.W.-C.; Lim, T.-T. Kinetic and mechanistic investigation of azathioprine degradation in water by UV, UV/H 2 O 2 and UV/persulfate. Chem. Eng. J. 2016, 302, 526–534. [Google Scholar] [CrossRef]
- Ulrich, C.; Stockfleth, E. Azathioprine, UV light, and skin cancer in organ transplant patients do we have an answer? Med. Monatsschr. Pharm. 2000, 23, 261–266. [Google Scholar] [CrossRef]
- Jalali, F.; Rasaee, G. Electrochemical, spectroscopic, and theoretical studies on the interaction between azathioprine and DNA. Int. J. Biol. Macromol. 2015, 81, 427–434. [Google Scholar] [CrossRef]
- Hatami, Z.; Jalali, F. Voltammetric determination of immunosuppressive agent, azathioprine, by using a graphene-chitosan modified-glassy carbon electrode. Russ. J. Electrochem. 2015, 51, 70–76. [Google Scholar] [CrossRef]
- Shahrokhian, S.; Ghalkhani, M. Electrochemical study of Azathioprine at thin carbon nano-particle composite film electrode. Electrochem. Commun. 2009, 11, 1425–1428. [Google Scholar] [CrossRef]
- Shahrokhian, S.; Ghalkhani, M. Glassy carbon electrodes modified with a film of nanodia-mond-graphite/chitosan: Application to the highly sensitive electrochemical determination of Azathioprine. Electrochim. Acta 2010, 55, 3621–3627. [Google Scholar] [CrossRef]
- Barkat Rezaei, Z.; Rastegarzadeh, S.; Kiasat, A. In-situ decorated silver nanoparticles on elec-trospun poly (vinyl alcohol)/chitosan nanofibers as a plasmonic sensor for azathioprine deter-mination, Colloids Surfaces A Physicochem. Eng. Asp. 2018, 559, 266–274. [Google Scholar] [CrossRef]
- Vais, R.D.; Sattarahmady, N.; Karimian, K.; Heli, H. Green electrodeposition of gold hierarchical dendrites of pyramidal nanoparticles and determination of azathioprine. Sens. Actuators B Chem. 2015, 215, 113–118. [Google Scholar] [CrossRef]
- Kurbanoglu, S.; Dogan-Topal, B.; Rodriguez, E.P.; Bozal-Palabiyik, B.; Ozkan, S.A.; Uslu, B. Advances in electrochemical DNA biosensors and their interaction mechanism with pharma-ceuticals. J. Electroanal. Chem. 2016, 775, 8–26. [Google Scholar] [CrossRef]
- Satana, H.E.; Pontinha, A.D.R.; Diculescu, V.C.; Oliveira-Brett, A.M. Nucleoside analogue electrochemical behaviour and in situ evaluation of DNA–clofarabine interaction. Bioelectrochemistry 2012, 87, 3–8. [Google Scholar] [CrossRef]
- Oliveira-Brett, A.M.; Vivan, M.; Fernandes, I.R.; Piedade, J.A.P. Electrochemical detection of in situ adriamycin oxidative damage to DNA. Talanta 2002, 56, 959–970. [Google Scholar] [CrossRef]
- Pontinha, A.D.R.; Jorge, S.M.A.; Paquim, A.M.C.; Diculescu, V.C.; Oliveira-Brett, A.M. In situ evaluation of anticancer drug methotrexate–DNA interaction using a DNA-electrochemical biosensor and AFM characterization. Phys. Chem. Chem. Phys. 2011, 13, 5227–5234. [Google Scholar] [CrossRef]
- Buoro, R.M.; Lopes, I.C.; Diculescu, V.C.; Serrano, S.H.; Lemos, L.; Oliveira-Brett, A.M. In situ evaluation of gemcitabine–DNA interaction using a DNA-electrochemical biosensor. Bioelectrochemistry 2014, 99, 40–45. [Google Scholar] [CrossRef] [PubMed]
- Rauf, S.; Gooding, J.; Akhtar, K.; Ghauri, M.; Rahman, M.; Anwar, M.; Khalid, A. Electrochemical approach of anticancer drugs–DNA interaction. J. Pharm. Biomed. Anal. 2005, 37, 205–217. [Google Scholar] [CrossRef] [PubMed]
- Muti, M.; Muti, M. Electrochemical monitoring of the interaction between anticancer drug and DNA in the presence of antioxidant. Talanta 2018, 178, 1033–1039. [Google Scholar] [CrossRef] [PubMed]
- Santos, P.V.F.; Lopes, I.C.; Diculescu, V.C.; Oliveira-Brett, A.M. DNA-Cyanobacterial Hepa-totoxins Microcystin-LR and Nodularin Interaction: Electrochemical Evaluation. Electroanalysis 2012, 24, 547–553. [Google Scholar] [CrossRef]
- Brett, A.M.O.; Diculescu, V.C.; Paquim, A.M.C.; Serrano, S.H. Chapter 20 DNA-electrochemical biosensors for investigating DNA damage. Compr. Anal. Chem. 2007, 49, 413–437. [Google Scholar]
- Ozluer, C.; Kara, H.E.S. In vitro DNA binding studies of anticancer drug idarubicin using spectroscopic techniques. J. Photochem. Photobiol. B Biol. 2014, 138, 36–42. [Google Scholar] [CrossRef] [PubMed]
- Oliveira-Brett, A.M.; Diculescu, V.C. Electrochemical study of quercetin-DNA interactions: Part II. In situ sensing with DNA biosensors. Bioelectrochemistry 2004, 64, 143–150. [Google Scholar] [CrossRef]
- Karadurmus, L.; Kurbanoglu, S.; Uslu, B.; Özkan, S. Electrochemical DNA Biosensors in Drug Analysis. Curr. Pharm. Anal. 2017, 12, 1. [Google Scholar] [CrossRef]
- Bagni, G.; Osella, D.; Sturchio, E.; Mascini, M. Deoxyribonucleic acid (DNA) biosensors for en-vironmental risk assessment and drug studies. Anal. Chim. Acta 2006, 573–574, 81–89. [Google Scholar] [CrossRef]
- Cagnin, S.; Caraballo, M.; Guiducci, C.; Martini, P.; Ross, M.; SantaAna, M.; Danley, D.; West, T.; Lanfranchi, G. Overview of Electrochemical DNA Biosensors: New Approaches to Detect the Expression of Life. Sensors 2009, 9, 3122–3148. [Google Scholar] [CrossRef]
- Diculescu, V.C.; Paquim, A.M.C.; Oliveira-Brett, A.M. Applications of a DNA-electrochemical biosensor. TrAC Trends Anal. Chem. 2016, 79, 23–36. [Google Scholar] [CrossRef]
- Akbari Javar, H.; Garkani-Nejad, Z.; Dehghannoudeh, G.; Mahmoudi-Moghaddam, H. De-velopment of a new electrochemical DNA biosensor based on Eu3+−doped NiO for determi-nation of amsacrine as an anti-cancer drug: Electrochemical, spectroscopic and docking stud-ies. Anal. Chim. Acta. 2020, 1133, 48–57. [Google Scholar] [CrossRef] [PubMed]
- Ngamchuea, K.; Eloul, S.; Tschulik, K.; Compton, R.G. Planar diffusion to macro disc elec-trodes—what electrode size is required for the Cottrell and Randles-Sevcik equations to apply quantitatively? J. Solid State Electrochem. 2014, 18, 3251–3257. [Google Scholar] [CrossRef]
- Wilke, C.R.; Chang, P. Correlation of diffusion coefficients in dilute solutions. AIChE J. 1955, 1, 264–270. [Google Scholar] [CrossRef]
- Miyabe, K.; Isogai, R. Estimation of molecular diffusivity in liquid phase systems by the Wilke–Chang equation. J. Chromatogr. A 2011, 1218, 6639–6645. [Google Scholar] [CrossRef] [PubMed]
- Diculescu, V.C.; Piedade, J.A.P.; Oliveira-Brett, A.M. Electrochemical behaviour of 2,8-dihydroxyadenine at a glassy carbon electrode. Bioelectrochemistry 2007, 70, 141–146. [Google Scholar] [CrossRef][Green Version]
- Brett, A.M.O.; Piedade, J.A.P.; Serrano, S.H.P. Electrochemical Oxidation of 8-Oxoguanine. Electroanalysis 2000, 12, 969–973. [Google Scholar] [CrossRef]
- Fu, P.P.; Herreno-Saenz, D.; Von Tungeln, L.S.; Lay, J.O.; Wu, Y.S.; Evans, F.E. DNA adducts and carcinogenicity of nitro-polycyclic aromatic hydrocarbons. Environ. Health Perspect. 1994, 102, 177–183. [Google Scholar]
- Ritter, C.L.; Culp, S.J.; Freeman, J.P.; Marques, M.M.; Beland, F.A.; Malejka-Giganti, D. DNA Adducts from Nitroreduction of 2,7-Dinitrofluorene, a Mammary Gland Carcinogen, Catalyzed by Rat Liver or Mammary Gland Cytosol. Chem. Res. Toxicol. 2002, 15, 536–544. [Google Scholar] [CrossRef]










Publisher’s Note: MDPI stays neutral with regard to jurisdictional claims in published maps and institutional affiliations. |
© 2021 by the authors. Licensee MDPI, Basel, Switzerland. This article is an open access article distributed under the terms and conditions of the Creative Commons Attribution (CC BY) license (https://creativecommons.org/licenses/by/4.0/).
Share and Cite
Bunea, M.-C.; Diculescu, V.-C.; Enculescu, M.; Iovu, H.; Enache, T.A. Redox Mechanism of Azathioprine and Its Interaction with DNA. Int. J. Mol. Sci. 2021, 22, 6805. https://doi.org/10.3390/ijms22136805
Bunea M-C, Diculescu V-C, Enculescu M, Iovu H, Enache TA. Redox Mechanism of Azathioprine and Its Interaction with DNA. International Journal of Molecular Sciences. 2021; 22(13):6805. https://doi.org/10.3390/ijms22136805
Chicago/Turabian StyleBunea, Mihaela-Cristina, Victor-Constantin Diculescu, Monica Enculescu, Horia Iovu, and Teodor Adrian Enache. 2021. "Redox Mechanism of Azathioprine and Its Interaction with DNA" International Journal of Molecular Sciences 22, no. 13: 6805. https://doi.org/10.3390/ijms22136805
APA StyleBunea, M.-C., Diculescu, V.-C., Enculescu, M., Iovu, H., & Enache, T. A. (2021). Redox Mechanism of Azathioprine and Its Interaction with DNA. International Journal of Molecular Sciences, 22(13), 6805. https://doi.org/10.3390/ijms22136805

