Delivery of the Radionuclide 131I Using Cationic Fusogenic Liposomes as Nanocarriers
Abstract
1. Introduction
2. Results
2.1. Characterization of Liposomes Containing Iodide as Cargo
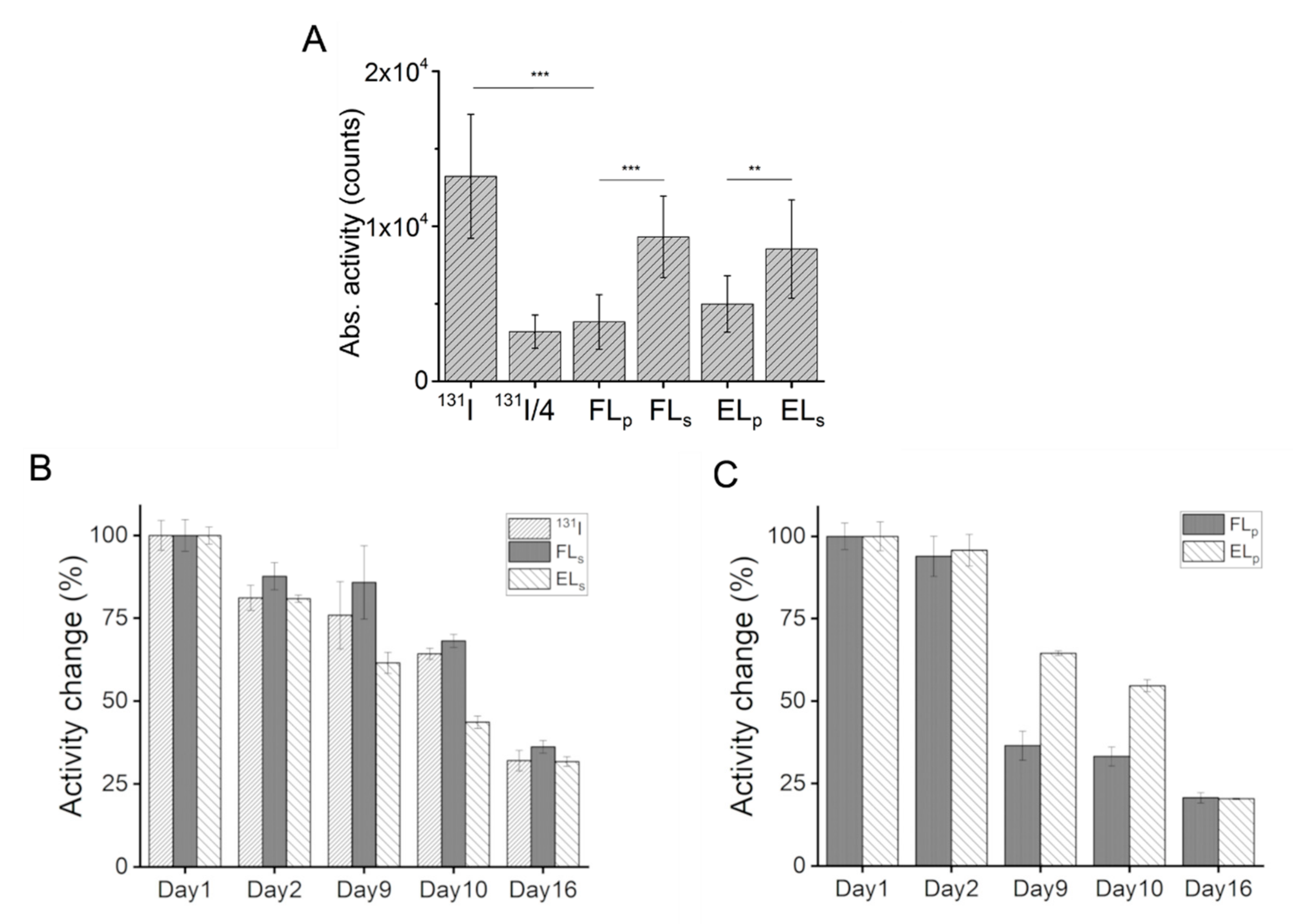
2.2. Incubation of Different Cell Types In Vitro Using Iodide-Loaded Cationic Liposomes
3. Discussion
4. Materials and Methods
4.1. Chemicals
4.2. Liposomal Preparation and Characterization
4.2.1. Preparation of Liposomes Containing Iodide
4.2.2. Characterization of Liposomal Size and Zeta Potential Distributions Using Dynamic and Electrophoretic Light Scattering
4.3. Cell Culture
4.4. Incubation of Cells with Liposomes Loaded with [131I]I−
4.5. Incubation of MDA-MB-231 Cells and Human Blood Cells with Liposomes Loaded with Non-Radioactive [127I]I−
4.6. Microscopy
4.7. Statistical Analysis
5. Conclusions
Author Contributions
Funding
Institutional Review Board Statement
Informed Consent Statement
Data Availability Statement
Acknowledgments
Conflicts of Interest
References
- Bozzuto, G.; Molinari, A. Liposomes as nanomedical devices. Int. J. Nanomed. 2015, 10, 975–999. [Google Scholar] [CrossRef] [PubMed]
- Bulbake, U.; Doppalapudi, S.; Kommineni, N.; Khan, W. Liposomal formulations in clinical use: An updated review. Pharmaceutics 2017, 9, 12. [Google Scholar] [CrossRef] [PubMed]
- Feng, T.; Wei, Y.; Lee, R.J.; Zhao, L. Liposomal curcumin and its application in cancer. Int. J. Nanomed. 2017, 12, 6027–6044. [Google Scholar] [CrossRef] [PubMed]
- Hussain, A.; Singh, S.; Sharma, D.; Webster, T.J.; Shafaat, K.; Faruk, A. Elastic liposomes as novel carriers: Recent advances in drug delivery. Int. J. Nanomed. 2017, 12, 5087–5108. [Google Scholar] [CrossRef] [PubMed]
- Ross, C.; Taylor, M.; Fullwood, N.; Allsop, D. Liposome delivery systems for the treatment of Alzheimer’s disease. Int. J. Nanomed. 2018, 13, 8507–8522. [Google Scholar] [CrossRef] [PubMed]
- Yan, W.; Leung, S.S.; To, K.K. Updates on the use of liposomes for active tumor targeting in cancer therapy. Nanomedicine 2020, 15, 303–318. [Google Scholar] [CrossRef]
- Gurunathan, S.; Kang, M.; Qasim, M.; Kim, J. Nanoparticle-Mediated Combination Therapy: Two-in-One Approach for Cancer. Int. J. Mol. Sci. 2018, 19, 3264. [Google Scholar] [CrossRef] [PubMed]
- Nisini, R.; Poerio, N.; Mariotti, S.; De Santis, F.; Fraziano, M. The multirole of liposomes in therapy and prevention of infectious diseases. Front. Immunol. 2018, 9. [Google Scholar] [CrossRef]
- Deshpande, P.P.; Biswas, S.; Torchilin, V.P. Current trends in the use of liposomes for tumor targeting. Nanomedicine 2013, 8, 1509–1528. [Google Scholar] [CrossRef]
- Olusanya, T.O.B.; Haj Ahmad, R.R.; Ibegbu, D.M.; Smith, J.R.; Elkordy, A.A. Liposomal drug delivery systems and anticancer drugs. Molecules 2018, 23, 907. [Google Scholar] [CrossRef]
- Lamichhane, N.; Udayakumar, T.S.; D’Souza, W.D.; Simone, C.B.; Raghavan, S.R.; Polf, J.; Mahmood, J. Liposomes: Clinical applications and potential for image-guided drug delivery. Molecules 2018, 23. [Google Scholar] [CrossRef] [PubMed]
- Xing, H.; Hwang, K.; Lu, Y. Recent developments of liposomes as nanocarriers for theranostic applications. Theranostics 2016, 6. [Google Scholar] [CrossRef] [PubMed]
- De Silva, L.; Fu, J.-Y.; Htar, T.T.; Muniyandy, S.; Kasbollah, A.; Wan Kamal, W.H.B.; Chuah, L.-H. Characterization, optimization, and in vitro evaluation of Technetium-99m-labeled niosomes. Int. J. Nanomed. 2019, 14, 1101–1117. [Google Scholar] [CrossRef] [PubMed]
- Csiszar, A.; Hersch, N.; Dieluweit, S.; Biehl, R.; Merkel, R.; Hoffmann, B. Novel fusogenic liposomes for fluorescent cell labeling and membrane modification. Bioconjug. Chem. 2010, 21, 537–543. [Google Scholar] [CrossRef]
- Kolašinac, R.; Kleusch, C.; Braun, T.; Merkel, R.; Csiszár, A. Deciphering the functional composition of fusogenic liposomes. Int. J. Mol. Sci. 2018, 19, 346. [Google Scholar] [CrossRef]
- Kleusch, C.; Hersch, N.; Hoffmann, B.; Merkel, R.; Csiszar, A. Fluorescent lipids: Functional parts of fusogenic liposomes and tools for cell membrane labeling and visualization. Molecules 2012, 17, 1055–1073. [Google Scholar] [CrossRef]
- Kube, S.; Hersch, N.; Naumovska, E.; Gensch, T.; Hendriks, J.; Franzen, A.; Landvogt, L.; Siebrasse, J.P.; Kubitscheck, U.; Hoffmann, B.; et al. Fusogenic liposomes as nanocarriers for the delivery of intracellular proteins. Langmuir 2017, 33, 1051–1059. [Google Scholar] [CrossRef]
- Hoffmann, M.; Hersch, N.; Merkel, R.; Csiszár, A.; Hoffmann, B. Changing the way of entrance: Highly efficient transfer of mRNA and siRNA via fusogenic nano-carriers. J. Biomed. Nanotechnol. 2019, 15, 170–183. [Google Scholar] [CrossRef]
- Berg, V.; Vassart, G.; Christophe, D. Identification of a thyroid-specific and cAMP-responsive enhancer in the upstream sequences of the human thyroglobulin promoter. Biochim. Biophys. Acta BBA Gene Struct. Expr. 1996, 1307, 35–38. [Google Scholar] [CrossRef]
- Murray, I.P.; Spiro, M.J.; Stanbury, J.B. The metabolism of iodine in the thyroid gland. J. Chronic Dis. 1961, 14, 473–483. [Google Scholar] [CrossRef]
- Park, S.Y.; Gupta, D.; Hurwich, R.; Kim, C.H.; Dziarski, R. Peptidoglycan recognition protein Pglyrp2 protects mice from psoriasis-like skin inflammation by promoting regulatory T cells and limiting Th17 responses. J. Immunol. 2011, 187, 5813–5823. [Google Scholar] [CrossRef] [PubMed]
- Haley, B.; Frenkel, E. Nanoparticles for drug delivery in cancer treatment. Urol. Oncol. 2008, 26, 57–64. [Google Scholar] [CrossRef] [PubMed]
- Tavano, L.; Mazzotta, E.; Muzzalupo, R. Nanovesicular formulations for cancer gene therapy. Curr. Pharm. Des. 2017, 23, 5327–5335. [Google Scholar] [CrossRef] [PubMed]
- Zylberberg, C.; Gaskill, K.; Pasley, S.; Matosevic, S. Engineering liposomal nanoparticles for targeted gene therapy. Gene Ther. 2017, 24, 441–452. [Google Scholar] [CrossRef] [PubMed]
- Gregoriadis, G. Liposome Technology, 3rd ed.; CRC Press: London UK, 2006; Volume 1. [Google Scholar]
- Heurtault, B.; Saulnier, P.; Pech, B.; Proust, J.E.; Benoit, J.P. Physico-chemical stability of colloidal lipid particles. Biomaterials 2003, 24, 4283–4300. [Google Scholar] [CrossRef]
- Kolašinac, R.; Jaksch, S.; Dreissen, G.; Braeutigam, A.; Merkel, R.; Csiszár, A. Influence of environmental conditions on the fusion of cationic liposomes with living mammalian cells. Nanomaterials 2019, 9, 1025. [Google Scholar] [CrossRef] [PubMed]
- Carlin, S.; Akabani, G.; Zalutsky, M.R. In Vitro Cytotoxicity of211At-Astatide and131I-Iodide to Glioma Tumor Cells Expressing theSodium/Iodide Symporter. J. Nucl. Med. 2003, 44, 1827–1838. [Google Scholar]
- Wang, B.; Yan, S.; Limata, B.; Raiola, F.; Aliotta, M.; Becker, H.W.; Cruz, J.; De Cesare, N.; D’Onofrio, A.; Fülöp, Z.; et al. Change of the 7Be electron capture half-life in metallic environments. Eur. Phys. J. A-Hadron. Nucl. 2006, 28, 375–377. [Google Scholar] [CrossRef]
- Oh, J.-R.; Ahn, B.-C. False-positive uptake on radioiodine whole-body scintigraphy: Physiologic and pathologic variants unrelated to thyroid cancer. Am. J. Nucl. Med. Mol. Imaging 2012, 2, 362–385. [Google Scholar]
- Chen, B.; Le, W.; Wang, Y.; Li, Z.; Wang, D.; Ren, L.; Lin, L.; Cui, S.; Hu, J.J.; Hu, Y.; et al. Targeting Negative Surface Charges of Cancer Cells by Multifunctional Nanoprobes. Theranostics 2016, 6, 1887–1898. [Google Scholar] [CrossRef]
- Shi, D. Cancer Cell Surface Negative Charges: A Bio-Physical Manifestation of the Warburg Effect. Nano Life 2017, 7, 1771001. [Google Scholar] [CrossRef]
- Srivastava, A.K.; Dinc, G.; Sharma, R.K.; Yolcu, E.S.; Zhao, H.; Shirwan, H. SA-4-1BBL and monophosphoryl lipid A constitute an efficacious combination adjuvant for cancer vaccines. Cancer Res. 2014, 74, 6441–6451. [Google Scholar] [CrossRef] [PubMed]
- Van der Geest, T.; Laverman, P.; Metselaar, J.M.; Storm, G.; Boerman, O.C. Radionuclide imaging of liposomal drug delivery. Expert Opin. Drug Deliv. 2016, 13, 1231–1242. [Google Scholar] [CrossRef] [PubMed]
- Monzel, C.; Schmidt, D.; Kleusch, C.; Kirchenbüchler, D.; Seifert, U.; Smith, A.S.; Sengupta, K.; Merkel, R. Measuring fast stochastic displacements of bio-membranes with dynamic optical displacement spectroscopy. Nat. Commun. 2015, 6, 8162. [Google Scholar] [CrossRef]
- Li, S.; Rizzo, M.A.; Bhattacharya, S.; Huang, L. Characterization of cationic lipid-protamine-DNA (LPD) complexes for intravenous gene delivery. Gene Ther. 1998, 5, 930–937. [Google Scholar] [CrossRef]
- Bigdeli, A.; Palchetti, S.; Pozzi, D.; Hormozi-Nezhad, M.R.; Baldelli Bombelli, F.; Caracciolo, G.; Mahmoudi, M. Exploring Cellular Interactions of Liposomes Using Protein Corona Fingerprints and Physicochemical Properties. ACS Nano 2016, 10, 3723–3737. [Google Scholar] [CrossRef]
- Monopoli, M.P.; Walczyk, D.; Campbell, A.; Elia, G.; Lynch, I.; Bombelli, F.B.; Dawson, K.A. Physical-chemical aspects of protein corona: Relevance to in vitro and in vivo biological impacts of nanoparticles. J. Am. Chem. Soc. 2011, 133, 2525–2534. [Google Scholar] [CrossRef]
- Wiedenhoeft, T.; Tarantini, S.; Nyul-Toth, A.; Yabluchanskiy, A.; Csipo, T.; Balasubramanian, P.; Lipecz, A.; Kiss, T.; Csiszar, A.; Csiszar, A.; et al. Fusogenic liposomes effectively deliver resveratrol to the cerebral microcirculation and improve endothelium-dependent neurovascular coupling responses in aged mice. Geroscience 2019, 41, 711–725. [Google Scholar] [CrossRef]
- Abraham, J.A.; Linnartz, C.; Dreissen, G.; Springer, R.; Blaschke, S.; Rueger, M.A.; Fink, G.R.; Hoffmann, B.; Merkel, R. Directing Neuronal Outgrowth and Network Formation of Rat Cortical Neurons by Cyclic Substrate Stretch. Langmuir 2019, 35, 7423–7431. [Google Scholar] [CrossRef]





| Sample | d (SD (nm) | PDI | ζ (SD (mV) |
|---|---|---|---|
| FL | 376 (5) | 0.4 | 88 (5) |
| FL/127I | 456 (51) | 0.5 | 89 (3) |
| EL | 2221 (1860) | 1.0 | −2 (1) |
| EL/127I | 2616 (429) | 0.6 | −6 (6) |
| Title | Title | Relative Changes of Hydrodynamic Diameter (%) | Title | Title |
|---|---|---|---|---|
| Time (day) | FL | FL/127I | EL | EL/127I |
| 1 | 100 (1) | 100 (11) | 100 (84) | 100 (16) |
| 2 | 79 (34) | 96 (51) | 122 (34) | 138 (84) |
| 4 | 89 (60) | 95 (64) | 303 (113) | 132 (36) |
| 10 | 82 (48) | 79 (27) | 115 (42) | 90 (27) |
| Relative changes of PDI (%) | ||||
| Time (day) | FL | FL/127I | EL | EL/127I |
| 1 | 100 (10) | 100 (11) | 100 (20) | 100 (16) |
| 2 | 114 (31) | 100 (28) | 70 (26) | 105 (33) |
| 4 | 93 (22) | 67 (15) | 70 (54) | 82 (54) |
| 10 | 118 (8) | 78 (19) | 73 (36) | 93 (29) |
| Relative changes of zeta potential (%) | ||||
| Time (day) | FL | FL/127I | EL | EL/127I |
| 1 | 100 (6) | 100 (3) | 100 (50) | 100 (100) |
| 2 | 98 (8) | 91 (11) | 92 (76) | 167 (91) |
| 4 | 98 (10) | 82 (9) | −117 (22) | −266 (37) |
| 10 | 102 (12) | 92 (9) | 44 (125) | 167 (75) |
| Environment | t 1/2 (SD (day) | p |
|---|---|---|
| PBS | 12.2 (1.0) | - |
| FLp | 9.8 (1.0) | * |
| FLs | 12.9 (1.8) | n.s. |
| ELp | 11.0 (0.8) | * |
| ELs | 12.0 (0.5) | n.s. |
Publisher’s Note: MDPI stays neutral with regard to jurisdictional claims in published maps and institutional affiliations. |
© 2021 by the authors. Licensee MDPI, Basel, Switzerland. This article is an open access article distributed under the terms and conditions of the Creative Commons Attribution (CC BY) license (http://creativecommons.org/licenses/by/4.0/).
Share and Cite
Kolašinac, R.; Bier, D.; Schmitt, L.; Yabluchanskiy, A.; Neumaier, B.; Merkel, R.; Csiszár, A. Delivery of the Radionuclide 131I Using Cationic Fusogenic Liposomes as Nanocarriers. Int. J. Mol. Sci. 2021, 22, 457. https://doi.org/10.3390/ijms22010457
Kolašinac R, Bier D, Schmitt L, Yabluchanskiy A, Neumaier B, Merkel R, Csiszár A. Delivery of the Radionuclide 131I Using Cationic Fusogenic Liposomes as Nanocarriers. International Journal of Molecular Sciences. 2021; 22(1):457. https://doi.org/10.3390/ijms22010457
Chicago/Turabian StyleKolašinac, Rejhana, Dirk Bier, Laura Schmitt, Andriy Yabluchanskiy, Bernd Neumaier, Rudolf Merkel, and Agnes Csiszár. 2021. "Delivery of the Radionuclide 131I Using Cationic Fusogenic Liposomes as Nanocarriers" International Journal of Molecular Sciences 22, no. 1: 457. https://doi.org/10.3390/ijms22010457
APA StyleKolašinac, R., Bier, D., Schmitt, L., Yabluchanskiy, A., Neumaier, B., Merkel, R., & Csiszár, A. (2021). Delivery of the Radionuclide 131I Using Cationic Fusogenic Liposomes as Nanocarriers. International Journal of Molecular Sciences, 22(1), 457. https://doi.org/10.3390/ijms22010457

