Novel Approach to Tooth Chemistry: Quantification of Human Enamel Apatite in Context for New Biomaterials and Nanomaterials Development
Abstract
1. Introduction
2. Results
Chemical and Mechanical Investigations
3. Discussion
Ca8.856Mg0.022Na.143(PO4)5.713(CO3)0.284(OH)?Cl0.159F0.078 + 0.125Mg2+ + 0.268Na+ + 0.378CO32−
3Ca3(PO4)2*Ca(Cl,OH)2 + CO32− + Na+,K+
3Ca3(PO4)2*CaCl2 + 3CO32− + 3Na+ + Mg2+ + 2OH−
3Ca3(PO4)2*CaCl2 + 3CO32− + 3Na+ + Mg2+ + 2OH−
- (1)
- Towards the enamel surface—to the mixture of three apatites—essentially, hydroxyapatite with chlor- and fluorapatite; this material is only faintly saturated with Na, carbonates and hardly with magnesium.
- (2)
- To the DEJ—the ultimate result is the existence of the apparent phase expressed as 3NaCaPO4*3CaCO3*Mg(OH)2 or, optionally, Ca3(PO4)2*Na3PO4*3CaCO3*Mg(OH)2 in the “overbuilt” enamel; since the enamel is formed later than the dentin and from the dentin side, we can treat the Na+/Mg2+/CO32−- rich layer as the original one in enamel and transforming itself into a layer mentioned in point 1.
- (a)
- The molar relationships are close to stoichiometric not only for each mechanism on its own but also between species participating in different mechanisms (see Figure 5c);
- (b)
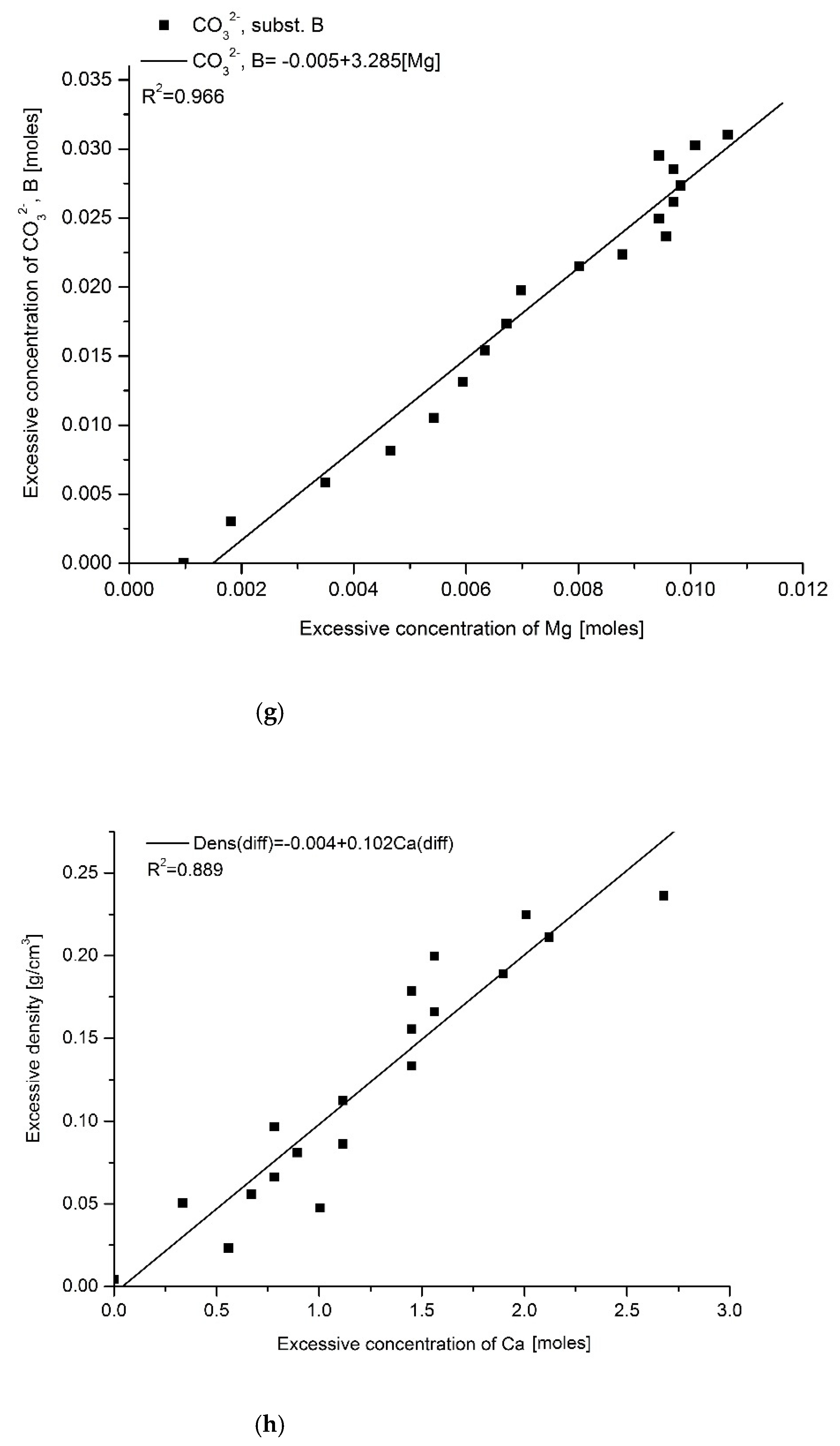
- The correlation coefficients between the species participating solely in mechanisms (3) and (4) are very high (see Figure 7g);
- (c)
- The equilibrium points for elemental curves for both mechanisms, shown by the arrows, are localized very close (Figure 1);
- (d)
- There is a specific stoichiometric relationship between Mg and Ca species, corresponding to the formal formula 3Ca3(PO4)2*Mg(OH)2.
Energetic Relationships
4. Materials and Methods
5. Conclusions
Author Contributions
Funding
Institutional Review Board Statement
Informed Consent Statement
Data Availability Statement
Acknowledgments
Conflicts of Interest
Appendix A



References
- Adamek, G.; Andrzejewski, D.; Jakubowicz, J. Properties of the Ti Void Metal Composites Prepared with Saccharose as a Space Holder and Coated by Hydroxyapatite. Adv. Mater. Res. 2015, 1105, 13–20. [Google Scholar] [CrossRef]
- Kumar, S.S.D.; Abrahamse, H. Advancement of Nanobiomaterials to Deliver Natural Compounds for Tissue Engineering Applications. Int. J. Mol. Sci. 2020, 21, 6752. [Google Scholar] [CrossRef]
- Zhou, W.; Peng, X.; Zhou, X.; Bonavente, A.; Weir, M.D.; Melo, M.A.S.; Imazato, S.; Oates, T.W.; Cheng, L.; Xu, H.H.K. Novel Nanocomposite Inhibiting Caries at the Enamel Restoration Margins in an In Vitro Saliva-Derived Biofilm Secondary Caries Model. Int. J. Mol. Sci. 2020, 21, 6369. [Google Scholar] [CrossRef]
- Robinson, C.; Kirkham, J.; Brookes, S.J.; Bonass, W.A.; Shore, R.C. The chemistry of enamel development. Int. J. Dev. Biol. 1995, 39, 145–152. [Google Scholar]
- Nanci, A.; Smith, C.E. Development and Calcification of Enamel. In Calcification in Biological Systems; CRC Press: Boca Raton, FL, USA, 1992; pp. 313–343. [Google Scholar]
- Mathew, M.; Takagi, S. Structures of biological minerals in dental research. J. Res. Natl. Inst. Stand. Technol. 2001, 106, 1035. [Google Scholar] [CrossRef]
- Dorozhkin, S. Calcium Orthophosphates in Nature, Biology and Medicine. Materials 2009, 2, 399–498. [Google Scholar] [CrossRef]
- Simmer, J.P.; Fincham, A.G. Molecular Mechanisms of Dental Enamel Formation. Crit. Rev. Oral Biol. Med. 1995, 6, 84–108. [Google Scholar] [CrossRef]
- Pasteris, J.D.; Wopenka, B.; Valsami-Jones, E. Bone and Tooth Mineralization: Why Apatite? Elements 2008, 4, 97–104. [Google Scholar] [CrossRef]
- Teraoka, K.; Ito, A.; Maekawa, K.; Onuma, K.; Tateishi, T.; Tsutsumi, S. Mechanical Properties of Hydroxyapatite and OH-carbonated Hydroxyapatite Single Crystals. J. Dent. Res. 1998, 77, 1560–1568. [Google Scholar] [CrossRef]
- Leventouri, T. Synthetic and biological hydroxyapatites: Crystal structure questions. Biomaterials 2006, 27, 3339–3342. [Google Scholar] [CrossRef]
- Benesch, J.; Mano, J.F.; Reis, R.L. Proteins and Their Peptide Motifs in Acellular Apatite Mineralization of Scaffolds for Tissue Engineering. Tissue Eng. Part B Rev. 2008, 14, 433–445. [Google Scholar] [CrossRef] [PubMed]
- Chaudhri, M.A. Nuclear analytical methods in calcified tissue research. Nutrition 1995, 11 (Suppl. 5), 538–541. [Google Scholar] [PubMed]
- Zaichick, V.; Ovchjarenko, N.; Zaichick, S. In vivo energy dispersive X-ray fluorescence for measuring the content of essential and toxic trace elements in teeth. Appl. Radiat. Isot. 1999, 50, 283–293. [Google Scholar] [CrossRef]
- Weatherell, J.A.; Robinson, C.; Hallsworth, A.S. Variations in the Chemical Composition of Human Enamel. J. Dent. Res. 1974, 53, 180–192. [Google Scholar] [CrossRef]
- Preoteasa, E.A.; Preoteasa, E.; Kuczumow, A.; Gurban, D.; Harangus, L.; Grambole, D.; Herrmann, F. Broad-beam PIXE and µ-PIXE analysis of normal and in vitro demineralized dental enamel. X-Ray Spectrom. 2008, 37, 517–535. [Google Scholar] [CrossRef]
- Tymczyna-Borowicz, B.; Nowak, J.; Jarzębski, M.; Kuczumow, A. Elemental and chemical compounds study of enamel and dentine of porcine primary molar teeth. X-Ray Spectrom. 2019, 48, 169–177. [Google Scholar] [CrossRef]
- Shaw, J.H.; Yen, P.K.-J. Sodium, Potassium, and Magnesium Concentrations in the Enamel and Dentin of Human and Rhesus Monkey Teeth. J. Dent. Res. 1972, 51, 95–101. [Google Scholar] [CrossRef]
- Brudevold, F.; Steadman, L.T.; Smith, F.A. Inorganic and organic components of tooth structure. Ann. N. Y. Acad. Sci. 2006, 85, 110–132. [Google Scholar] [CrossRef]
- Little, M.F.; Brudevold, F. A Study of the Inorganic Carbon Dioxide in Intact Human Enamel. J. Dent. Res. 1958, 37, 991–1000. [Google Scholar] [CrossRef]
- Jälevik, B.; Odelius, H.; Dietz, W.; Norén, J. Secondary ion mass spectrometry and X-ray microanalysis of hypomineralized enamel in human permanent first molars. Arch. Oral Biol. 2001, 46, 239–247. [Google Scholar] [CrossRef]
- Robinson, C.; Weatherell, J.A.; Hallsworth, A.S. Variation in Composition of Dental Enamel Within Thin Ground Tooth Sections. Caries Res. 1971, 5, 44–57. [Google Scholar] [CrossRef] [PubMed]
- Robinson, C.; Weatherell, J.A.; Hallsworth, A.S. Distribution of Magnesium in Mature Human Enamel. Caries Res. 1981, 15, 70–77. [Google Scholar] [CrossRef] [PubMed]
- Curzon, M.E.J.; Crocker, D.C. Relationships of trace elements in human tooth enamel to dental caries. Arch. Oral Biol. 1978, 23, 647–653. [Google Scholar] [CrossRef]
- Kang, D.; Amarasiriwardena, D.; Goodman, A.H. Application of laser ablation? Inductively coupled plasma-mass spectrometry (LA?ICP?MS) to investigate trace metal spatial distributions in human tooth enamel and dentine growth layers and pulp. Anal. Bioanal. Chem. 2004, 378, 1608–1615. [Google Scholar] [CrossRef]
- Driessens, F.C.M. Physico-Chemical Interaction between Biominerals and their Environment. Berichte Bunsenges. Phys. Chem. 1978, 82, 312–320. [Google Scholar] [CrossRef]
- Brown, C.J.; Chenery, S.R.; Smith, B.; Mason, C.; Tomkins, A.; Roberts, G.J.; Sserunjogi, L.; Tiberindwa, J.V. Environmental influences on the trace element content of teeth—implications for disease and nutritional status. Arch. Oral Biol. 2004, 49, 705–717. [Google Scholar] [CrossRef]
- Simpson, D.R. Effects of magnesium on the formation of apatite. Am. Mineral. 1966, 51, 205–209. [Google Scholar]
- Suchanek, W.L.; Byrappa, K.; Shuk, P.; Riman, R.E.; Janas, V.F.; TenHuisen, K.S. Preparation of magnesium-substituted hydroxyapatite powders by the mechanochemical–hydrothermal method. Biomaterials 2004, 25, 4647–4657. [Google Scholar] [CrossRef]
- Qi, G.; Zhang, S.; Khor, K.A.; Lye, S.W.; Zeng, X.; Weng, W.; Liu, C.; Venkatraman, S.S.; Ma, L.L. Osteoblastic cell response on magnesium-incorporated apatite coatings. Appl. Surf. Sci. 2008, 255, 304–307. [Google Scholar] [CrossRef]
- Iijima, M.; Moradian-Oldak, J. Control of apatite crystal growth in a fluoride containing amelogenin-rich matrix. Biomaterials 2005, 26, 1595–1603. [Google Scholar] [CrossRef]
- Hughes, J.M.; Cameron, M.; Crowley, K.D. Ordering of divalent cations in the apatite structure: Crystal structure refinements of natural Mn- and Sr-bearing apatite. Am. Mineral. 1991, 76, 1857–1862. [Google Scholar]
- Wilson, R.M.; Dowker, S.E.P.; Elliott, J.C. Rietveld refinements and spectroscopic structural studies of a Na-free carbonate apatite made by hydrolysis of monetite. Biomaterials 2006, 27, 4682–4692. [Google Scholar] [CrossRef] [PubMed]
- Wilson, R.M.; Elliott, J.C.; Dowker, S.E.; Smith, R.I. Rietveld structure refinement of precipitated carbonate apatite using neutron diffraction data. Biomaterials 2004, 25, 2205–2213. [Google Scholar] [CrossRef]
- Wilson, R.M.; Elliott, J.C.; Dowker, S.E.P.; Rodriguez-Lorenzo, L.M. Rietveld refinements and spectroscopic studies of the structure of Ca-deficient apatite. Biomaterials 2005, 26, 1317–1327. [Google Scholar] [CrossRef] [PubMed]
- O’Donnell, M.D.; Hill, R.G.; Law, R.V.; Fong, S. Raman spectroscopy, 19F and 31P MAS-NMR of a series of fluorochloroapatites. J. Eur. Ceram. Soc. 2009, 29, 377–384. [Google Scholar] [CrossRef]
- Hallsworth, A.S.; Weatherell, J.A. The Microdistribution, Uptake and Loss of Fluoride in Human Enamel. Caries Res. 1969, 3, 109–118. [Google Scholar] [CrossRef]
- Richards, A.; Coote, G.E.; Pearce, E.I.F. Proton Probe and Acid Etching for Determining Fluoride Profiles in Porous Porcine Enamel. J. Dent. Res. 1994, 73, 644–651. [Google Scholar] [CrossRef]
- Kohn, M.J. Models of diffusion-limited uptake of trace elements in fossils and rates of fossilization. Geochim. Cosmochim. Acta 2008, 72, 3758–3770. [Google Scholar] [CrossRef]
- Wilson, R.M.; Elliott, J.C.; Dowker, S.E.P. Rietveld refinement of the crystallographic structure of human dental enamel apatites. Am. Mineral. 1999, 84, 1406–1414. [Google Scholar] [CrossRef]
- Elliott, J.C.; Wilson, R.M.; Dowker, S.E.P. Apatite Structures. Adv. X-ray Anal. 2002, 45, 172–181. [Google Scholar]
- Anderson, P.; Elliott, J.C.; Bose, U.; Jones, S.J. A comparison of the mineral content of enamel and dentine in human premolars and enamel pearls measured by X-ray microtomography. Arch. Oral Biol. 1996, 41, 281–290. [Google Scholar] [CrossRef]
- Cuy, J.L.; Mann, A.B.; Livi, K.J.; Teaford, M.F.; Weihs, T.P. Nanoindentation mapping of the mechanical properties of human molar tooth enamel. Arch. Oral Biol. 2002, 47, 281–291. [Google Scholar] [CrossRef]
- Park, S.; Quinn, J.B.; Romberg, E.; Arola, D. On the brittleness of enamel and selected dental materials. Dent. Mater. 2008, 24, 1477–1485. [Google Scholar] [CrossRef] [PubMed]
- Habelitz, S.; Marshall, S.; Marshall, G.; Balooch, M. Mechanical properties of human dental enamel on the nanometre scale. Arch. Oral Biol. 2001, 46, 173–183. [Google Scholar] [CrossRef]
- Weatherell, J.A.; Weidmann, S.M.; Hamm, S.M. Density Patterns in Enamel. Caries Res. 1967, 1, 42–51. [Google Scholar] [CrossRef]
- Zhou, J.; Hsiung, L.L. Depth-dependent mechanical properties of enamel by nanoindentation. J. Biomed. Mater. Res. Part A 2007, 81A, 66–74. [Google Scholar] [CrossRef]
- Pro, J.W.; Barthelat, F. Discrete element models of tooth enamel, a complex three-dimensional biological composite. Acta Biomater. 2019, 94, 536–552. [Google Scholar] [CrossRef]
- Sui, T.; Lunt, A.J.G.; Baimpas, N.; Sandholzer, M.A.; Li, T.; Zeng, K.; Landini, G.; Korsunsky, A.M. Understanding nature’s residual strain engineering at the human dentine–enamel junction interface. Acta Biomater. 2016, 32, 256–263. [Google Scholar] [CrossRef]
- Thompson, V.P. The tooth: An analogue for biomimetic materials design and processing. Dent. Mater. 2020, 36, 25–42. [Google Scholar] [CrossRef]
- Michel, V.; Ildefonse, P.; Morin, G. Chemical and structural changes in Cervus elaphus tooth enamels during fossilization (Lazaret cave): A combined IR and XRD Rietveld analysis. Appl. Geochem. 1995, 10, 145–159. [Google Scholar] [CrossRef]
- Shimizu, D.; Macho, G.A. Functional significance of the microstructural detail of the primate dentino-enamel junction: A possible example of exaptation. J. Hum. Evol. 2007, 52, 103–111. [Google Scholar] [CrossRef] [PubMed]
- Wong, F.S.L.; Elliott, J.C.; Davis, G.R.; Anderson, P. X-ray microtomographic study of mineral distribution in enamel of mandibular rat incisors. J. Anat. 2000, 196, 405–413. [Google Scholar] [CrossRef] [PubMed]
- Currey, J.D. The design of mineralised hard tissues for their mechanical functions. J. Exp. Biol. 1999, 202, 3285–3294. [Google Scholar] [PubMed]
- Rusu, V.; Ng, C.; Wilke, M.; Tiersch, B.; Fratzl, P.; Peter, M. Size-controlled hydroxyapatite nanoparticles as self-organized organic?inorganic composite materials. Biomaterials 2005, 26, 5414–5426. [Google Scholar] [CrossRef]
- Bertoni, E.; Bigi, A.; Cojazzi, G.; Gandolfi, M.; Panzavolta, S.; Roveri, N. Nanocrystals of magnesium and fluoride substituted hydroxyapatite. J. Inorg. Biochem. 1998, 72, 29–35. [Google Scholar] [CrossRef]
- Tampieri, A.; Celotti, G.; Landi, E. From biomimetic apatites to biologically inspired composites. Anal. Bioanal. Chem. 2005, 381, 568–576. [Google Scholar] [CrossRef]
- Yamagishi, K.; Onuma, K.; Suzuki, T.; Okada, F.; Tagami, J.; Otsuki, M.; Senawangse, P. A synthetic enamel for rapid tooth repair. Nature 2005, 433, 819. [Google Scholar] [CrossRef] [PubMed]
- Ruan, Q.; Moradian-Oldak, J. Development of Amelogenin-chitosan Hydrogel for In Vitro Enamel Regrowth with a Dense Interface. J. Vis. Exp. 2014. [Google Scholar] [CrossRef]
- Bapat, R.A.; Dharmadhikari, S.; Chaubal, T.V.; Amin, M.C.I.M.; Bapat, P.; Gorain, B.; Choudhury, H.; Vincent, C.; Kesharwani, P. The potential of dendrimer in delivery of therapeutics for dentistry. Heliyon 2019, 5, e02544. [Google Scholar] [CrossRef]
- Antonakos, A.; Liarokapis, E.; Leventouri, T. Micro-Raman and FTIR studies of synthetic and natural apatites. Biomaterials 2007, 28, 3043–3054. [Google Scholar] [CrossRef]
- Patiño Douce, A.E.; Roden, M.F.; Chaumba, J.; Fleisher, C.; Yogodzinski, G. Compositional variability of terrestrial mantle apatites, thermodynamic modeling of apatite volatile contents, and the halogen and water budgets of planetary mantles. Chem. Geol. 2011, 288, 14–31. [Google Scholar] [CrossRef]
- Kasioptas, A.; Geisler, T.; Perdikouri, C.; Trepmann, C.; Gussone, N.; Putnis, A. Polycrystalline apatite synthesized by hydrothermal replacement of calcium carbonates. Geochim. Cosmochim. Acta 2011, 75, 3486–3500. [Google Scholar] [CrossRef]
- McCubbin, F.M.; Jolliff, B.L.; Nekvasil, H.; Carpenter, P.K.; Zeigler, R.A.; Steele, A.; Elardo, S.M.; Lindsley, D.H. Fluorine and chlorine abundances in lunar apatite: Implications for heterogeneous distributions of magmatic volatiles in the lunar interior. Geochim. Cosmochim. Acta 2011, 75, 5073–5093. [Google Scholar] [CrossRef]
- LeGeros, R.Z.; Tranz, O.R.; LeGeros, J.P.; Klein, E. Carbonate substitution in the apatite structure. Carbonate Substit. Struct. 1968, 1712–1718. [Google Scholar]
- Fleet, M.E.; Liu, X. Coupled substitution of type A and B carbonate in sodium-bearing apatite. Biomaterials 2007, 28, 916–926. [Google Scholar] [CrossRef] [PubMed]
- Yao, F.; LeGeros, J.P.; LeGeros, R.Z. Simultaneous incorporation of carbonate and fluoride in synthetic apatites: Effect on crystallographic and physico-chemical properties. Acta Biomater. 2009, 5, 2169–2177. [Google Scholar] [CrossRef]
- Kuczumow, A.; Nowak, J.; ChaŁas, R. Microchemical and structural regular variability of apatites in “overbuilt” enamel and dentin of human molar teeth. Radiat. Phys. Chem. 2011, 80, 1129–1134. [Google Scholar] [CrossRef]
- Aljawad, M.; Steuwer, A.; Kilcoyne, S.; Shore, R.; Cywinski, R.; Wood, D. 2D mapping of texture and lattice parameters of dental enamel. Biomaterials 2007, 28, 2908–2914. [Google Scholar] [CrossRef]
- Gutiérrez-Salazar, M.D.P.; Reyes-Gasga, J. Microhardness and chemical composition of human tooth. Mater. Res. 2003, 6, 367–373. [Google Scholar] [CrossRef]
- Elliott, J.C. Structure, crystal chemistry and density of enamel apatites. In CIBA Foundation Symposia; Chadwick, D., Cardew, G., Eds.; John Wiley & Sons: Chichester, UK, 1997; pp. 54–72. [Google Scholar]
- Sønju Clasen, A.B.; Ruyter, I.E. Quantitative Determination of Type A and Type B Carbonate in Human Deciduous and Permanent Enamel by Means of Fourier Transform Infrared Spectrometry. Adv. Dent. Res. 1997, 11, 523–527. [Google Scholar] [CrossRef]
- Aoba, T.; Moreno, E.C. Changes in the solubility of enamel mineral at various stages of porcine amelogenesis. Calcif. Tissue Int. 1992, 50, 266–272. [Google Scholar] [CrossRef] [PubMed]
- Hendricks, S.B.; Hill, W.L. The inorganic constitution of bone. Science 1942, 96, 255–257. [Google Scholar] [CrossRef] [PubMed]
- De Dios Teruel, J.; Alcolea, A.; Hernández, A.; Ruiz, A.J.O. Comparison of chemical composition of enamel and dentine in human, bovine, porcine and ovine teeth. Arch. Oral Biol. 2015, 60, 768–775. [Google Scholar] [CrossRef]
- Combes, C.; Cazalbou, S.; Rey, C. Apatite biominerals. Minerals 2016, 6, 34. [Google Scholar] [CrossRef]
- Driessens, F.C.M.; Verbeeck, R. Biominerals; CRC Press: Boca Raton, FL, USA, 1990; ISBN 0849352800. [Google Scholar]
- Driessens, F.C.M.; Verbeeck, R.M.H.; Heijligers, H.J.M. Some physical properties of Na- and CO3-containing apatites synthesized at high temperatures. Inorganica Chim. Acta 1983, 80, 19–23. [Google Scholar] [CrossRef][Green Version]
- El Feki, H.; Michel Savariault, J.; Ben Salah, A.; Jemal, M. Sodium and carbonate distribution in substituted calcium hydroxyapatite. Solid State Sci. 2000, 2, 577–586. [Google Scholar] [CrossRef]
- Chickerur, N.S.; Tung, M.S.; Brown, W.E. A mechanism for incorporation of carbonate into apatite. Calcif. Tissue Int. 1980, 32, 55–62. [Google Scholar] [CrossRef]
- Bonel, G.; Labarthe, J.C.; Vignoles, C. Contribution a l’étude structurale des apatites carbonatées de type B. Colloq. Int. CNRS 1975, 230, 117–125. [Google Scholar]
- LeGeros, R.Z. Crystallographic Studies on the Carbonate Substitution in the Apatite. Ph.D. Thesis, New York University, New York, NY, USA, 1967. [Google Scholar]
- Royce, B.S.H. The defect structure and ionic transport properties of calcium apatite. Le J. Phys. Colloq. 1973, 34, C9-327–C9-332. [Google Scholar] [CrossRef]
- Gordon, L.M.; Cohen, M.J.; MacRenaris, K.W.; Pasteris, J.D.; Seda, T.; Joester, D. Amorphous intergranular phases control the properties of rodent tooth enamel. Science 2015, 347, 746–750. [Google Scholar] [CrossRef]
- Gordon, L.M.; Joester, D. Mapping residual organics and carbonate at grain boundaries and the amorphous interphase in mouse incisor enamel. Front. Physiol. 2015, 6. [Google Scholar] [CrossRef] [PubMed]
- DeRocher, K.A.; Smeets, P.J.M.; Goodge, B.H.; Zachman, M.J.; Balachandran, P.V.; Stegbauer, L.; Cohen, M.J.; Gordon, L.M.; Rondinelli, J.M.; Kourkoutis, L.F.; et al. Chemical gradients in human enamel crystallites. Nature 2020, 583, 66–71. [Google Scholar] [CrossRef] [PubMed]
- La Fontaine, A.; Zavgorodniy, A.; Liu, H.; Zheng, R.; Swain, M.; Cairney, J. Atomic-scale compositional mapping reveals Mg-rich amorphous calcium phosphate in human dental enamel. Sci. Adv. 2016, 2, e1601145. [Google Scholar] [CrossRef] [PubMed]
- Genty, D.; Quinif, Y. Annually Laminated Sequences in the Internal Structure of Some Belgian Stalagmites--Importance for Paleoclimatology. SEPM J. Sediment. Res. 1996, 66, 275–288. [Google Scholar] [CrossRef]
- Pouchou, L.J.; Pichoir, F. New model of quantitative x-ray microanalysis, 1. Application to the analysis of homogeneous samples. Reeherche Aérospatiale 1984, 3, 13–38. [Google Scholar]
- Bastin, G.F.; Heijligers, H.J.M. Quantitative electron probe microanalysis of carbon in binary carbides. I—principles and procedures. X-Ray Spectrom. 1986, 15, 135–141. [Google Scholar] [CrossRef]
- Tse, C.; Welch, D.O.; Royce, B.S.H. The migration of F−, OH− and O2− ions in apatites. Calcif. Tissue Res. 1973, 13, 47–52. [Google Scholar] [CrossRef]
- Hallsworth, A.S.; Robinson, C.; Weatherell, J.A. Mineral and Magnesium Distribution within the Approximal Carious Lesion of Dental Enamel. Caries Res. 1972, 6, 156–168. [Google Scholar] [CrossRef]



















| Element/ion | Ca | P | Na | Mg | Cl | F | CO32− | K |
| Amount | 35.63% | 17.12% | 0.35% | 0.057% | 0.094% | ~0 | 1.8% | 0.07% |
| Relative concentration | 0.944 | 0.916 | 0.387 | 0.162 | 0.158 | 0 | 0.462 | 0.727 |
| Parameter | Hardness | Elasticity Modulus | Density | |||||
| Value | 3.55 GPa | 79 GPa | 2.887 g/cm3 | |||||
| Relative value | 0.822 | 0.918 | 0.957 | |||||
| Element | Surface Location | Location Close to DEJ | Mean Values | [40] | [76] | [26] | [73] | [75] | [74] |
|---|---|---|---|---|---|---|---|---|---|
| Ca | 10,000 | 10,000 | 10,000 | 10,000 | 10,000 | 10,000 | 10,000 | 10,000 | 10,000 |
| P | 6451 | 6389 | 6420 | 6314 | 6317 | 5991 | 5981 | 6227 | 6136 |
| Mg | 25 | 165 | 95 | 99 | 190 | 137 | 114 | ||
| Na | 162 | 453 | 308 | 330 | 282 | 116 | 405 | ||
| CO32− | 321 | 748 | 535 | 516 | 540 | 509 | 475 | 759 | 568 |
| Cl | 179 | 30 | 105 | 88 | 65 | 103 | |||
| F | 88 | 7 | 11 |
| Author | Ca | Na | PO43− | CO32− | Mg | Ca | Cl |
|---|---|---|---|---|---|---|---|
| This paper | 4 | 3 | 3 | 3 | 1 | 1 | 2 |
| Driessens [26] | 1 (3) | 1 (3) | 1 (3) | 1 (3) | |||
| Driessens [78] | 3 | 2 | 3 | 3 | 1 (OH−) | ||
| El Feki [79] | 2 | 1 | 3 | 3 | |||
| Chickerur [80] | 2 (3) | 1 (1.5) | 1 (1.5) | 1 (1.5) | |||
| Bonel [81] | 1 (3) | 1 (3) | 1 (3) | 1 (3) | |||
| Bonel [81] | 3 | 2 | 3 | 3 | 1 | ||
| Le Geros [82] | 2 (3) | 2 (3) | 1 (1.5) | 1 (1.5) | 1 (OH−) (1.5) |
Publisher’s Note: MDPI stays neutral with regard to jurisdictional claims in published maps and institutional affiliations. |
© 2020 by the authors. Licensee MDPI, Basel, Switzerland. This article is an open access article distributed under the terms and conditions of the Creative Commons Attribution (CC BY) license (http://creativecommons.org/licenses/by/4.0/).
Share and Cite
Kuczumow, A.; Chałas, R.; Nowak, J.; Smułek, W.; Jarzębski, M. Novel Approach to Tooth Chemistry: Quantification of Human Enamel Apatite in Context for New Biomaterials and Nanomaterials Development. Int. J. Mol. Sci. 2021, 22, 279. https://doi.org/10.3390/ijms22010279
Kuczumow A, Chałas R, Nowak J, Smułek W, Jarzębski M. Novel Approach to Tooth Chemistry: Quantification of Human Enamel Apatite in Context for New Biomaterials and Nanomaterials Development. International Journal of Molecular Sciences. 2021; 22(1):279. https://doi.org/10.3390/ijms22010279
Chicago/Turabian StyleKuczumow, Andrzej, Renata Chałas, Jakub Nowak, Wojciech Smułek, and Maciej Jarzębski. 2021. "Novel Approach to Tooth Chemistry: Quantification of Human Enamel Apatite in Context for New Biomaterials and Nanomaterials Development" International Journal of Molecular Sciences 22, no. 1: 279. https://doi.org/10.3390/ijms22010279
APA StyleKuczumow, A., Chałas, R., Nowak, J., Smułek, W., & Jarzębski, M. (2021). Novel Approach to Tooth Chemistry: Quantification of Human Enamel Apatite in Context for New Biomaterials and Nanomaterials Development. International Journal of Molecular Sciences, 22(1), 279. https://doi.org/10.3390/ijms22010279

