Co-Administration of the Traditional Medicines Hachimi-Jio-Gan and Hochu-Ekki-To Can Reverse Busulfan-Induced Aspermatogenesis
Abstract
1. Introduction
2. Results
2.1. The Damaging Effects of Busulfan-Treatment in Mice on Day 60
2.2. Body Weight, Testis Weight, and Sperm Count in Mice of Each Group on Day 120
2.3. Analyses of Testicular Spermatogenesis and Epididymal Spermatozoa in Mice on Day 120
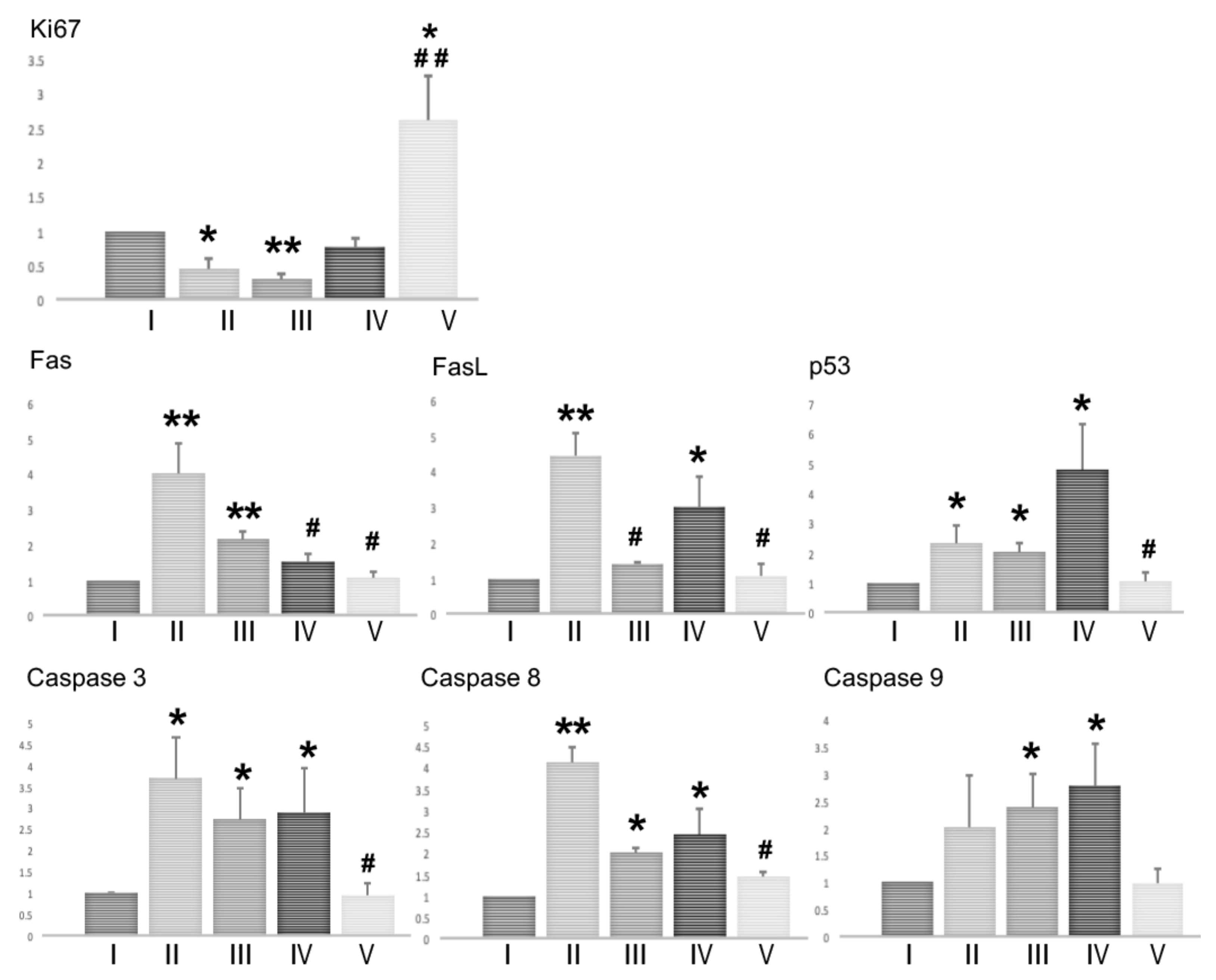
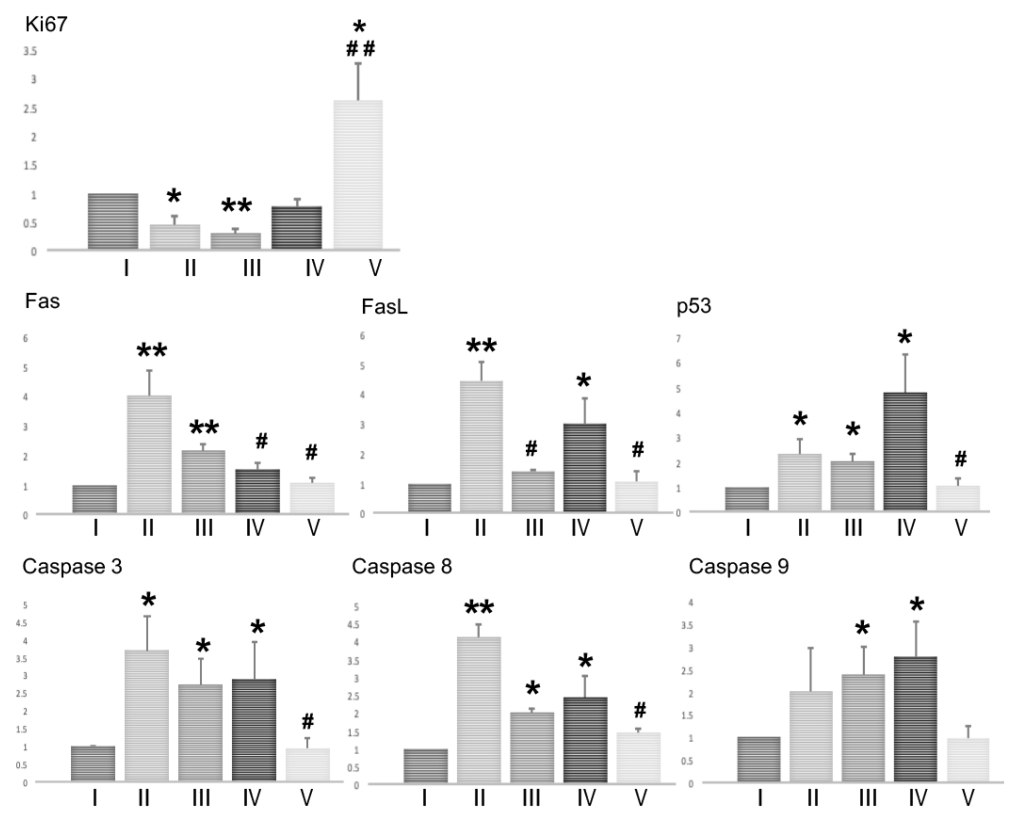
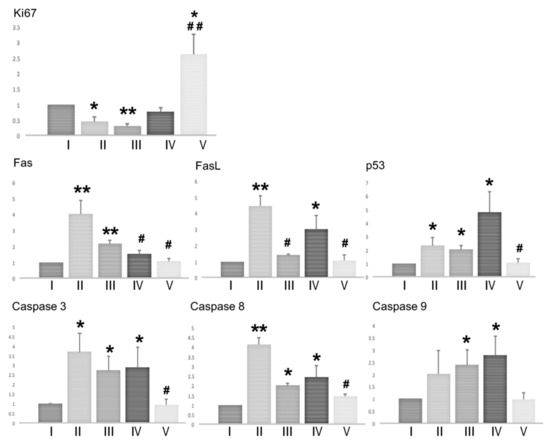
2.4. Proliferation and Apoptosis in the Testes of Mice
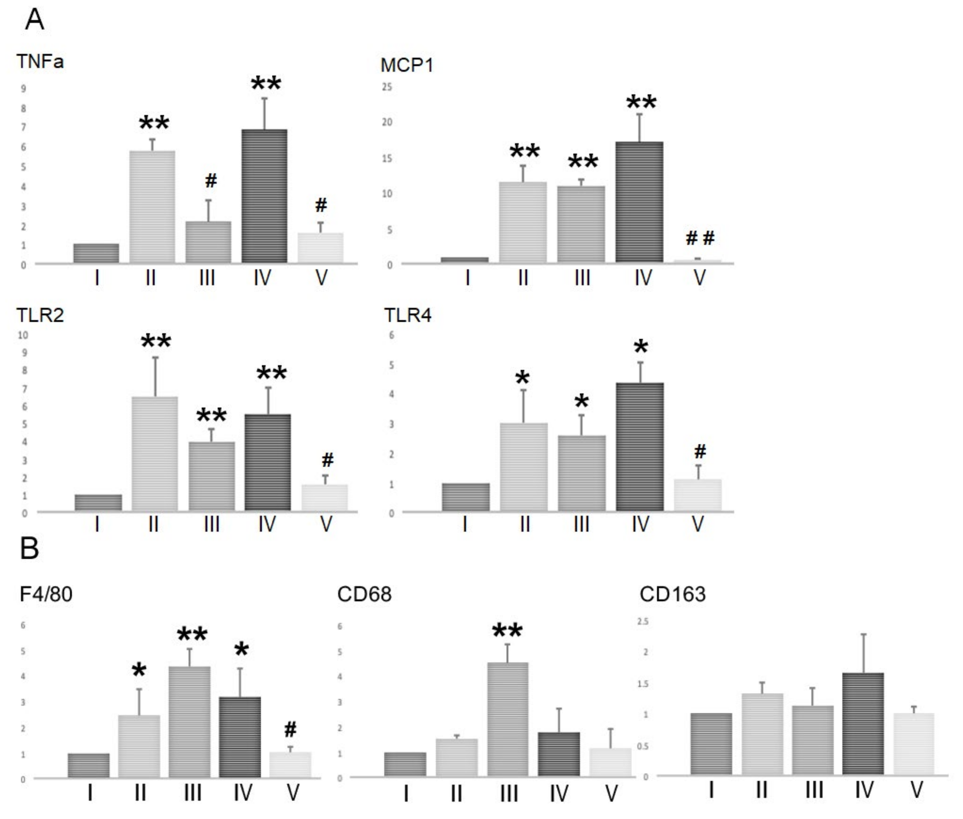
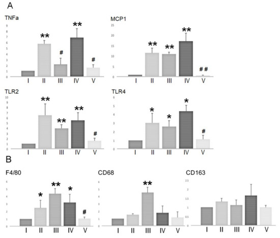
2.5. Expression of Immune Mediators and Macrophage Markers in the Testes
3. Discussion
4. Materials and Methods
4.1. Animals
4.2. Preparation of Diets Containing Oriental Medicines
4.3. Experimental Design
4.4. Histological Examination of the Testes and Epididymis
4.5. Analysis of the mRNA Expressions of Cytokines Using Real-Time RT-PCR
4.6. Epididymal Spermatozoa Count
4.7. Statistical Analysis
5. Conclusions
Author Contributions
Funding
Acknowledgments
Conflicts of Interest
Abbreviations
| BSF | Busulfan |
| TJ7 | Hachimijiogan |
| TJ41 | Hochuekkito |
| TJ107 | Goshajinkigan |
| DMSO | Dimethyl sulfoxide |
| DW | distilled water |
References
- World Health Organization. WHO Laboratory Manual for the Examination of Human Semen and Sperm-Cervical Muscus Interaction; Cambridge University Press: Cambridge, UK, 1999. [Google Scholar]
- Oka, H.; Goto, H.; Koizumi, K.; Nakamura, S.; Tsuneyama, K.; Zou, Y.; Jo, M.; Fujimoto, T.; Sakurai, H.; Shibahara, N.; et al. Effect of hachimijiogan against renal dysfunction and involvement of hypoxia-inducible factor-1 alpha in the remnant kidney model. Evid. Based Complement. Altern. Med. 2011, 2011, 348686. [Google Scholar] [CrossRef] [PubMed]
- Tong, Y.C.; Cheng, J.T.; Wan, W.C. Effects of Ba-Wei-Die-Huang-Wan on the cholinergic function and protein expression of M2 muscarinic receptor of the urinary bladder in diabetic rats. Neurosci. Lett. 2002, 330, 21–24. [Google Scholar] [CrossRef]
- Imamura, T.; Ishizuka, O.; Zhong, C.; Ogawa, T.; Nakayama, T.; Kurizaki, Y.; Tanabe, T.; Nishizawa, O.; Andersson, K.E. An extract (THC-002) of Ba-Wei-Die-Huang-Wan inhibits expression of tachykinins, and P2X3 and TRPV1 receptors, and inhibits ATP-induced detrusor overactivity in spontaneously hypertensive rats. Neurourol. Urodyn. 2009, 28, 529–534. [Google Scholar] [CrossRef] [PubMed]
- Usuki, S. Hachimijiogan changes serum hormonal circumstance and improves spermatogenesis in oligozoospermic men. Am. J. Chin. Med. 1986, 14, 37–45. [Google Scholar] [CrossRef] [PubMed]
- Ishikawa, H.; Manabe, F.; Zhongtao, H.; Yoshii, S.; Koiso, K. The horonal response to hCG stimulation in patients with male infertility before and after treatment with hochuekkito. Am. J. Chin. Med. 1992, 20, 157–165. [Google Scholar] [CrossRef] [PubMed]
- Nakayama, T.; Noda, Y.; Goto, Y.; Mori, T.; Tashiro, S. Effects of hochuekkito, a Japanese kampo medicine, on cultured hamster epididymal cells. Am. J. Chin. Med. 1994, 22, 301–307. [Google Scholar] [CrossRef] [PubMed]
- Amano, T.; Hirata, A.; Namiki, M. Effects of Chinese herbal medicine on sperm motility and fluorescence spectra parameters. Arch. Androl. 1996, 37, 219–224. [Google Scholar] [CrossRef][Green Version]
- Furuya, Y.; Akashi, T.; Fuse, H. Soluble Fas and interleukin-6 and interleukin-8 levels in seminal plasma of infertile men. Arch. Androl. 2003, 49, 449–452. [Google Scholar] [CrossRef]
- Furuya, Y.; Akashi, T.; Fuse, H. Effect of Bu-Zhong-Yi-Qi-Tang on seminal plasma cytokine levels in patients with idiopathic male infertility. Arch. Androl. 2004, 50, 11–14. [Google Scholar] [CrossRef]
- Mori, K.; Kido, T.; Daikuhara, H.; Sakakibara, I.; Sakata, T.; Shimizu, K.; Amagaya, S.; Sasaki, H.; Komatsu, Y. Effect of Hochu-ekki-to (TJ41), a Japanese herbal medicine, on the survival of mice infected with influenza virus. Antivir. Res. 1999, 44, 103–111. [Google Scholar] [CrossRef]
- Dan, K.; Akiyoshi, H.; Munakata, K.; Hsegawa, H.; Watanabe, K. A Kampo (traditional Japanese herbal) medicine, Hochuekkito, pretreatment in mice prevented influenza virus replication accompanied with GM-CSF expression and increase in several defensin mRNA levels. Pharmacology 2013, 91, 314–321. [Google Scholar] [CrossRef] [PubMed]
- Buggia, I.; Locatelli, F.; Regazzi, M.B.; Zecca, M. Busulfan. Ann. Pharmacother. 1994, 28, 1055–1062. [Google Scholar] [CrossRef] [PubMed]
- Galaup, A.; Paci, A. Pharmacology of dimethanesulfonate alkylating agents: Busulfan and treosulfan. Expert Opin. Drug Metab. Toxicol. 2013, 9, 333–347. [Google Scholar] [CrossRef] [PubMed]
- Li, B.; He, X.; Zhuang, M.; Niu, B.; Wu, C.; Mu, H.; Tang, F.; Cui, Y.; Liu, W.; Zhao, B.; et al. Melatonin ameliorates busulfan-induced spermatogonial stem cell oxidative apoptosis in mouse testes. Antioxid. Redox Signal. 2018, 28, 385–400. [Google Scholar] [CrossRef] [PubMed]
- Zhang, X.; Wang, T.; Deng, T.; Xiong, W.; Lui, P.; Li, N.; Chen, Y.; Han, D. Damaged spermatogenic cells induce inflammatory gene expression in mouse Sertoli cells through the activation of Toll-like receptors 2 and 4. Mol. Cell. Endocrinol. 2013, 365, 162–173. [Google Scholar] [CrossRef] [PubMed]
- Qu, N.; Kuramasu, M.; Hirayanagi, Y.; Nagahori, K.; Hayashi, S.; Ogawa, Y.; Terayama, H.; Suyama, K.; Naito, M.; Sakabe, K.; et al. Gosha-Jinki-Gan recovers spermatogenesis in mice with busulfan-induced aspermatogenesis. Int. J. Mol. Sci. 2018, 19, E2606. [Google Scholar] [CrossRef]
- Han, K.J.; Su, X.; Xu, L.G.; Bin, L.H.; Zhang, J.; Shu, H.B. Mechanisms of the TRIF-induced interferon-stimulated response element and NF-kappaB activation and apoptosis pathways. J. Biol. Chem. 2004, 279, 15652–15661. [Google Scholar] [CrossRef]
- Girling, J.E.; Hedger, M.P. Toll-like receptors in the gonads and reproductive tract: Emerging roles in reproductive physiology and pathology. Immunol. Cell Biol. 2007, 85, 481–489. [Google Scholar] [CrossRef]
- Kannaki, T.R.; Shanmugam, M.; Verma, P.C. Toll-like receptors and their role in animal reproduction (Review). Anim. Reprod. Sci. 2011, 125, 1–12. [Google Scholar] [CrossRef]
- Anand, S.; Bhartiya, D.; Sriraman, K.; Mallick, A. Underlying mechanisms that restore spermatogenesis on transplanting healthy niche cells in busulfan treated mouse testis. Stem. Cell Rev. Rep. 2016, 12, 682–697. [Google Scholar] [CrossRef]
- Bhartiya, D.; Anand, S. Effects of oncotherapy on testicular stem cells and niche. Mol. Hum. Reprod. 2017, 23, 654–655. [Google Scholar] [CrossRef] [PubMed]
- Oktay, K. Fertility preservation: An emerging discipline in the care of young patients with cancer. Lancet Oncol. 2005, 6, 192–193. [Google Scholar] [CrossRef]
- Del-Pozo-Lérida, S.; Salvador, C.; Martínez-Soler, F.; Tortosa, A.; Perucho, M.; Giménez-Bonafé, P. Preservation of fertility in patients with cancer (Review). Oncol. Rep. 2019, 41, 2607–2614. [Google Scholar] [PubMed]
- The Japan Society for Oriental Medicine. Chapter, Diagnosis and Treatment. In Introduction to Kampo Japanese Traditional Medicine; Elsevier: Tokyo, Japan, 2005; pp. 22–52. [Google Scholar]
- Zhang, E.Q. Basic theory of traditional Chinese medicine (I). In A Practical English-Chinese Library; Publishing House of Shanghai University of Traditional Chinese Medicine: Shanghai, China, 1999; pp. 100–105. [Google Scholar]
- Miyakawa, Y.; Matsumiya, K.; Okuyama, A. Alteration of spermatogenesis (article in Japanese). Sannfujinkachiryo 2002, 85, 543–546. [Google Scholar]
- Fuse, H.; Iwasaki, M. Effectiveness of the treatment with traditional Chinese medicine for idiopathic male infertility (article in Japanese). Pharma Med. 2000, 18, 93–98. [Google Scholar]
- Yamaguchi, K. Traditional Japanese herbal medicine for treatment of odontopathy. Front. Pharmacol. 2015, 28, 176. [Google Scholar] [CrossRef]
- Satoh, N.; Sakai, S.; Kogure, T.; Tahara, E.; Origasa, H.; Shimada, Y. A randomized double-blind placeb0-controlled clinical trial of Hochuekkito, a traditional herbal medicine, in the treatment of elderly patients with weakness, N of one and responder restricted design. Phytomedicine 2015, 12, 549–554. [Google Scholar] [CrossRef]
- Takahashi, K.; Nagahori, K.; Qu, N.; Kuramasu, M.; Hirayanagi, Y.; Hayashi, S.; Ogawa, Y.; Hatayama, N.; Terayama, H.; Suyama, K.; et al. The traditional Japanese medicine Goshajinkigan makes a recovery from irradiation-induced aspermatogenesis in mice. BMC Complement. Altern. Med. 2019, 19, 362. [Google Scholar] [CrossRef]
- Qu, N.; Itoh, M.; Sakabe, K. Effects of chemotherapy and radiotherapy on spermatogenesis: The role of testicular immunology (Review). Int. J. Mol. Sci. 2019, 20, 957–976. [Google Scholar] [CrossRef]
- Qu, N.; Naito, M.; Li, J.; Terayama, H.; Hirai, S.; Itoh, M. Xenogeneic and endogenous spermatogenesis following transplantation of rat germ cells into testes of immunocompetent mice. Reprod. Ferti. Dev. 2012, 24, 337–343. [Google Scholar] [CrossRef]
- Hess, R.A.; Franca, L.R. Spermatogenesis and cycle of the seminiferous epithelium. Adv. Exp. Med. Biol. 2008, 636, 1–15. [Google Scholar] [PubMed]
- Meistrich, M.L.; Hess, R.A. Assessment of spermatogenesis through staging of seminiferous tubules. Methods Mol. Biol. (Clifton N.J.) 2013, 927, 299–307. [Google Scholar]







| Hachimi-jio-gan (TJ7) | Hochu-ekki-to (TJ41) | Gosha-jinki-gan (TJ107) |
|---|---|---|
| Rehmanniae radix (6.0 g) | Astragali radix (4.0 g) | Rehmanniae radix (5.0 g) |
| Corni fructus (3.0 g) | Atractylodis lanceae rhizome (4.0 g) | Achyranthis radix (3.0 g) |
| Dioscoreae rhizoma (3.0 g) | Ginseng radix (4.0 g) | Corni fructus (3.0 g) |
| Alismatis rhizoma (3.0 g) | Angelicase radix (3.0 g) | Dioscoreae rhizome (3.0 g) |
| Hoelen (3.0 g) | Bupleuri radix (2.0 g) | Plantaginis semen (3.0 g) |
| Moutan cortex (3.0 g) | Zizyphi fructus (2.0 g) | Alismatis rhizome (3.0 g) |
| Cinnamoni cortex (1.0 g) | Aurantii nobilis pericarpium (2.0 g) | Hoelen (3.0 g) |
| Aconiti tuber (0.5 g) | Glycyrrhizae radix (1.5 g) | Moutan cortex (3.0 g) |
| Cimicifugae rhizome (1.0 g) | Cinnamoni cortex (1.0 g) | |
| Zingiberis rhizome (0.5 g) | Aconite tuber (1.0 g) |
| Target Gene | Primer Pairs (5′–3′) | |
|---|---|---|
| Forward | Reverse | |
| Caspase3 | GAGGCTGACTTCCTGTATGCTT | AACCACGACCCGTCCTTT |
| Caspase8 | TTGAACAATGAGATCCCCAAA | CCATTTCTACAAAAATTTCAAGCAG |
| Caspase9 | TGCAGTCCCTCCTTCTCAG | GCTTTTTCCGGAGGAAGTTAAA |
| CD163 | GGGTCATTCAGAGGCACAGTG | CTGGCTGTCCTGTCAAGGCT |
| CD68 | TTGGGAACTACACACGTGGGC | CGGATTTGAATTTGGGCTTG |
| Fas | GCAGACATGCTGTGGATCTGG | TCACAGCCAGGAGAATCGCAG |
| FasL | TCCAGGGTGGGTCTACTTACTAC | CCCTCTTACTTCTCCGTTAGGA |
| F4/80 | CTTTGGCTATGGGCTTCCAGTC | GCAAGGAGGACAGAGTTTATCGTG |
| Ki67 | GCTGTCCTCAAGACAATCATCA | GGCGTTATCCCAGGAGACT |
| MCP-1 | TTCCTCCACCACCATGCAG | CCAGCCGGCAACTGTGA |
| p53 | ATGGCTTCCACCTGGGCTTCCTG | CCACAACTGCACAGGGCACGT |
| TLR2 | TGCAAGTACGAACTGGACTTCT | CCAGGTAGGTCTTGGTCATT |
| TLR4 | GTGCCATCATTATGAGTGCC | CAAGCCAAGAAATATACCATCGAAG |
| TNF-α | TCTTCTCATTCCTGCTTGTGG | TCTGGGCCATAGAACTGATGA |
| GAPDH | TGTGTCCGTCGTGGATCTGA | TTGCTGTTGAAGTCGCAGGAG |
© 2020 by the authors. Licensee MDPI, Basel, Switzerland. This article is an open access article distributed under the terms and conditions of the Creative Commons Attribution (CC BY) license (http://creativecommons.org/licenses/by/4.0/).
Share and Cite
Qu, N.; Kuramasu, M.; Nagahori, K.; Ogawa, Y.; Hayashi, S.; Hirayanagi, Y.; Terayama, H.; Suyama, K.; Sakabe, K.; Itoh, M. Co-Administration of the Traditional Medicines Hachimi-Jio-Gan and Hochu-Ekki-To Can Reverse Busulfan-Induced Aspermatogenesis. Int. J. Mol. Sci. 2020, 21, 1716. https://doi.org/10.3390/ijms21051716
Qu N, Kuramasu M, Nagahori K, Ogawa Y, Hayashi S, Hirayanagi Y, Terayama H, Suyama K, Sakabe K, Itoh M. Co-Administration of the Traditional Medicines Hachimi-Jio-Gan and Hochu-Ekki-To Can Reverse Busulfan-Induced Aspermatogenesis. International Journal of Molecular Sciences. 2020; 21(5):1716. https://doi.org/10.3390/ijms21051716
Chicago/Turabian StyleQu, Ning, Miyuki Kuramasu, Kenta Nagahori, Yuki Ogawa, Shogo Hayashi, Yoshie Hirayanagi, Hayato Terayama, Kaori Suyama, Kou Sakabe, and Masahiro Itoh. 2020. "Co-Administration of the Traditional Medicines Hachimi-Jio-Gan and Hochu-Ekki-To Can Reverse Busulfan-Induced Aspermatogenesis" International Journal of Molecular Sciences 21, no. 5: 1716. https://doi.org/10.3390/ijms21051716
APA StyleQu, N., Kuramasu, M., Nagahori, K., Ogawa, Y., Hayashi, S., Hirayanagi, Y., Terayama, H., Suyama, K., Sakabe, K., & Itoh, M. (2020). Co-Administration of the Traditional Medicines Hachimi-Jio-Gan and Hochu-Ekki-To Can Reverse Busulfan-Induced Aspermatogenesis. International Journal of Molecular Sciences, 21(5), 1716. https://doi.org/10.3390/ijms21051716

