Effects of the Size, the Number, and the Spatial Arrangement of Reactive Patches on a Sphere on Diffusion-Limited Reaction Kinetics: A Comprehensive Study
Abstract
1. Introduction
2. Methods and Materials
2.1. Reaction Models
2.2. Computational Methods
2.3. Kinetic Theories
3. Results and Discussion
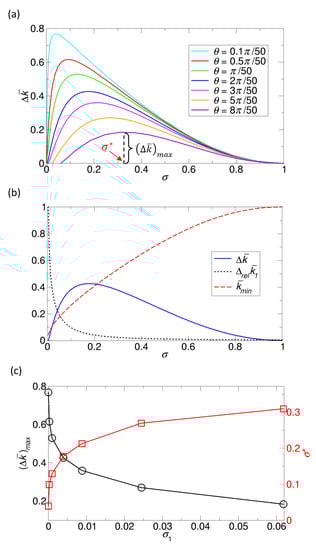
3.1. Dependence of Reaction Kinetics on Patch Arrangement
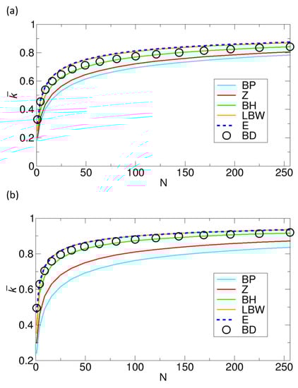
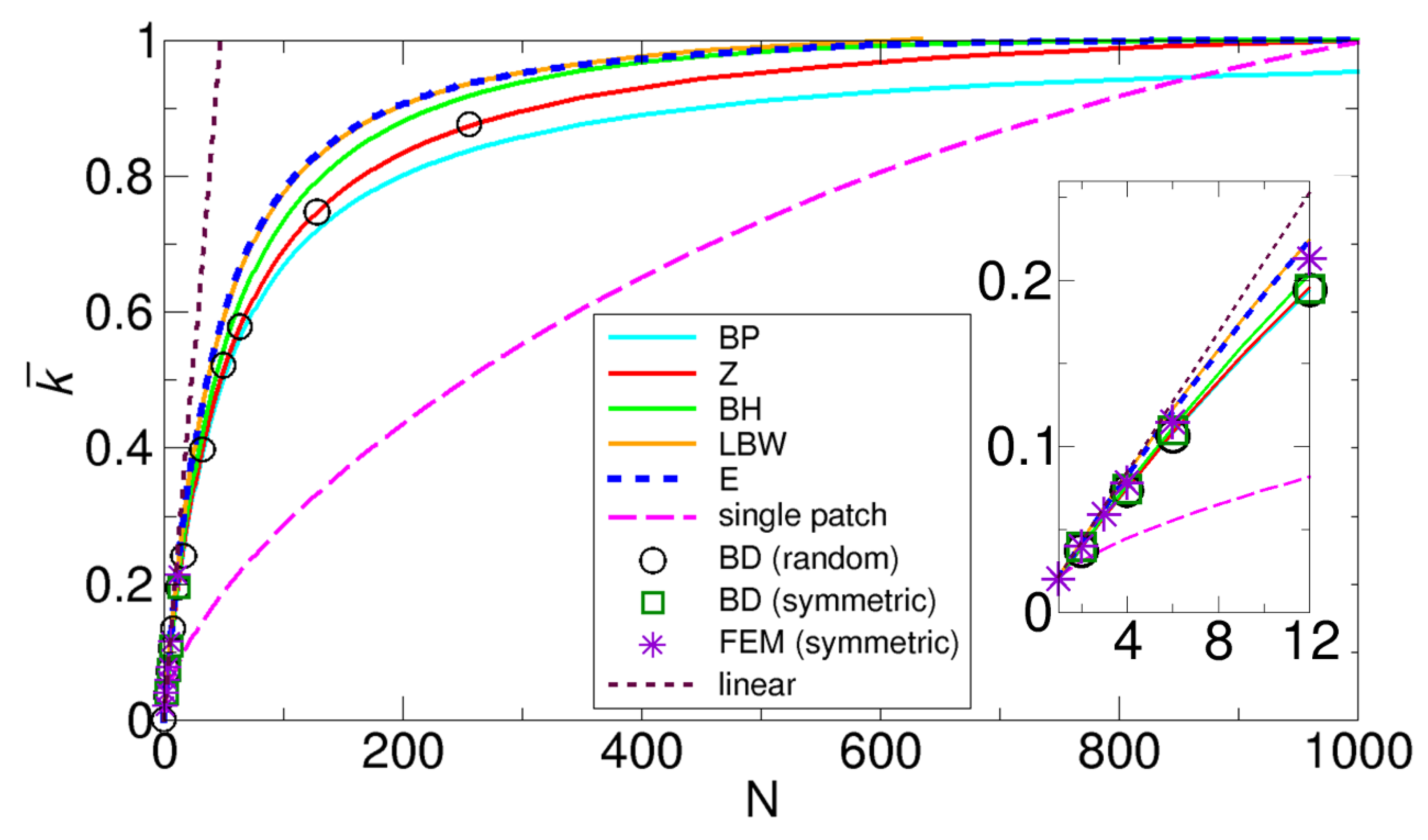
3.2. Dependence of Reaction Kinetics on the Number of Reactive Patches Under a Fixed Patch Size
3.2.1. Original Northrup Reaction System
3.2.2. Northrup Reaction System with Larger Patches
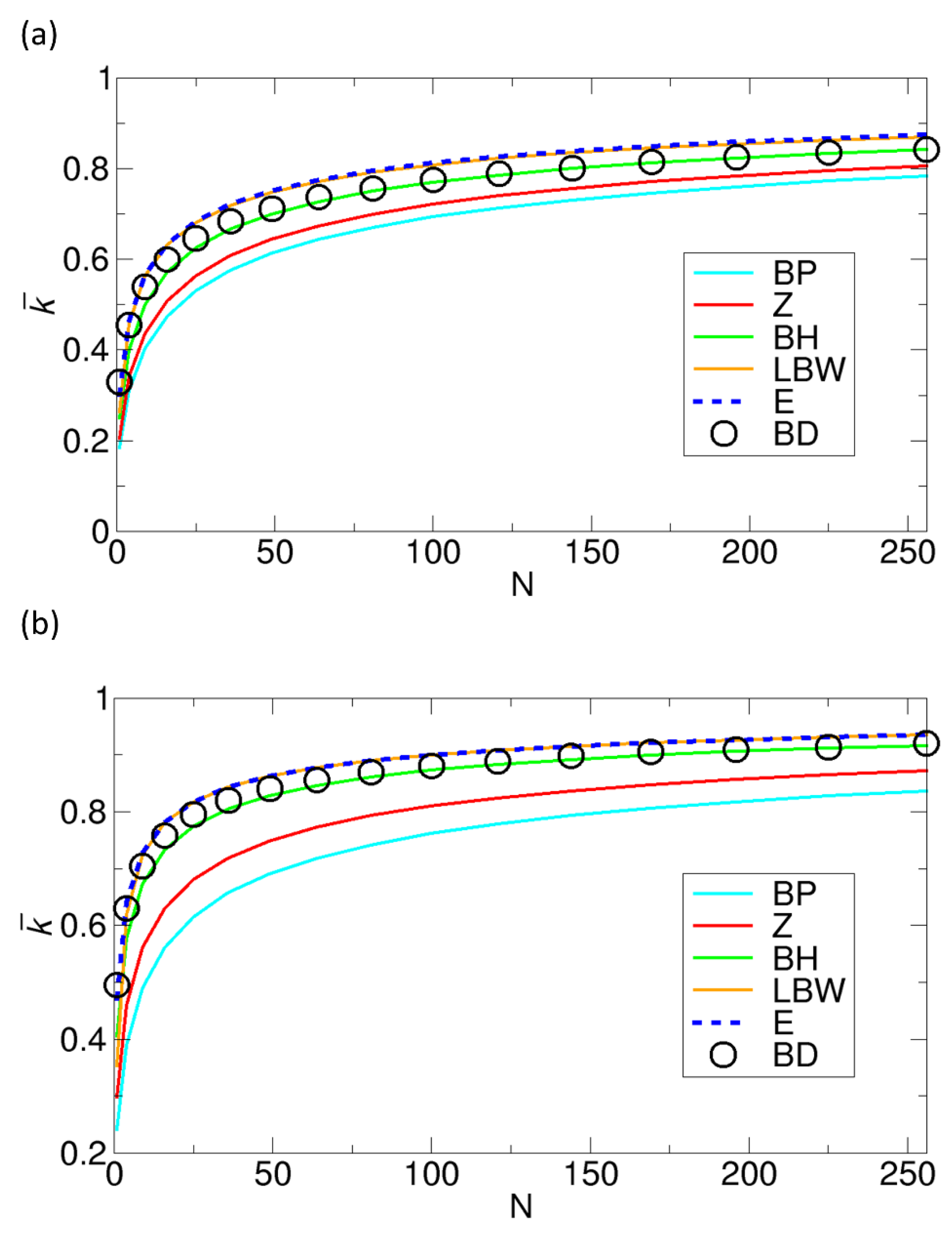
3.3. Dependence of Reaction Kinetics on the Number of Reactive Patches Under a Fixed Total Reactive Area Fraction
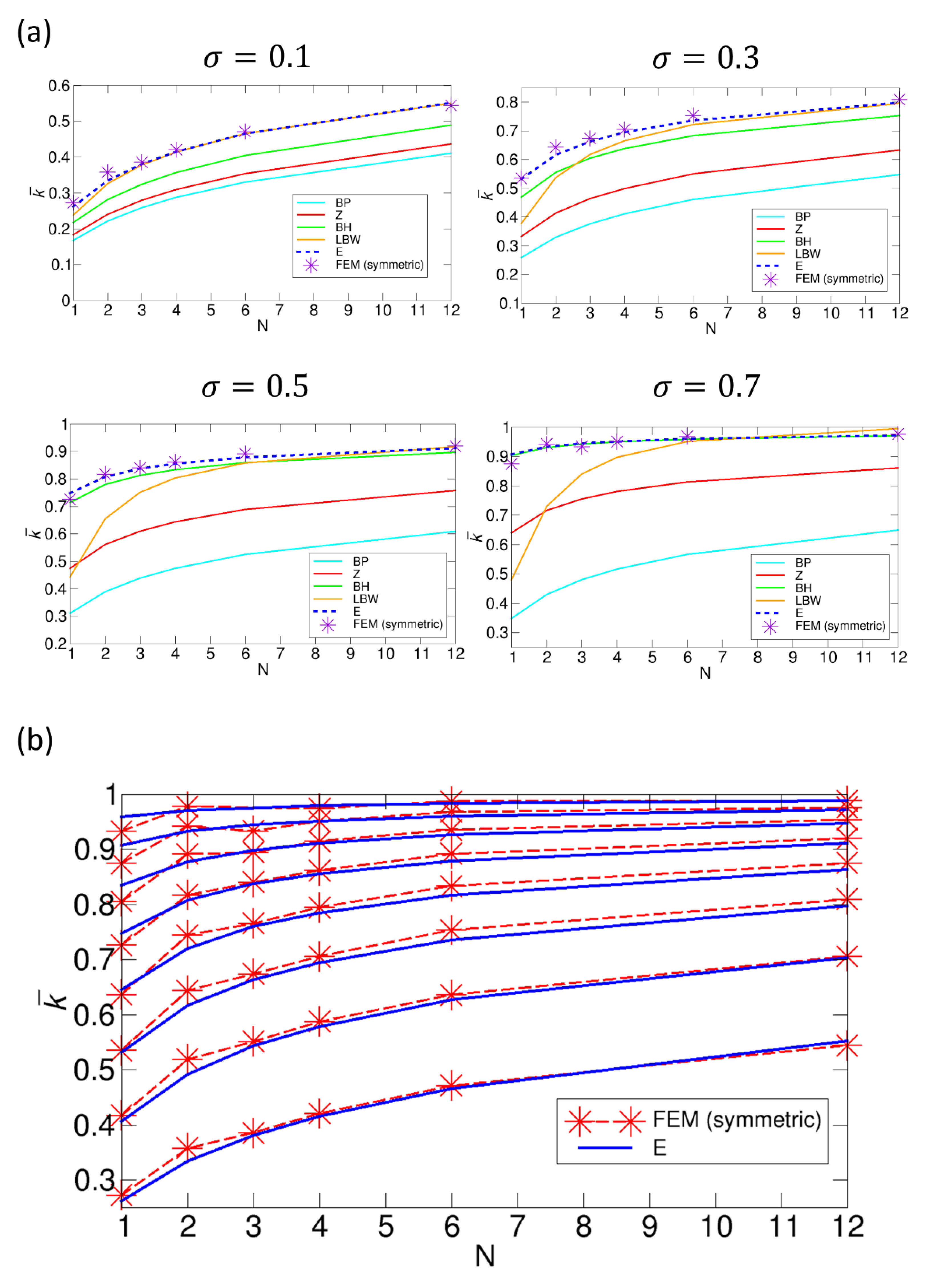
3.3.1. Original Lu Reaction System
3.3.2. Lu Reaction System with Larger Fixed Reactive Area Fractions
3.4. Variation in the Overall Rate Constant
3.4.1. Variation in the Overall Rate Constant in the Northrup Reaction Systems
3.4.2. Variation in the Overall Rate Constant in the Lu Reaction Systems
4. Conclusions
Funding
Conflicts of Interest
Appendix A

References
- Rice, S.A. Diffusion-Limited Reactions in Comprehensive Chemical Kinetics; Elsevier: Amsterdam, The Netherlands, 1985; Volume 25. [Google Scholar]
- Allison, S.; McCammon, J. Dynamics of substrate binding to copper zinc superoxide dismutase. J. Phys. Chem. 1985, 290, 1072–1074. [Google Scholar] [CrossRef]
- Echeverria, C.; Kapral, R. Diffusional correlations among multiple active sites in a single enzyme. Phys. Chem. Chem. Phys. 2014, 16, 6211–6216. [Google Scholar] [CrossRef] [PubMed]
- Berg, H.C.; Purcell, E.M. Physics of chemoreception. Biophys. J. 1977, 20, 193–219. [Google Scholar] [CrossRef]
- Santiago, G.; Martínez-Martínez, M.; Alonso, S.; Bargiela, R.; Coscolín, C.; Golyshin, P.N.; Guallar, V.; Ferrer, M. Rational Engineering of Multiple Active Sites in an Ester Hydrolase. Biochemistry 2018, 57, 2245–2255. [Google Scholar] [CrossRef] [PubMed]
- Waite, T.R. Theoretical treatment of the kinetics of diffusion-limited reactions. Phys. Rev. 1957, 107, 463. [Google Scholar] [CrossRef]
- Wilemski, G.; Fixman, M. General theory of diffusion-controlled reactions. J. Chem. Phys. 1973, 58, 4009. [Google Scholar] [CrossRef]
- Uhm, J.; Lee, J.; Eun, C.; Lee, S. Diffusion-controlled reactions involving a reactant with two reaction sites: Evaluation of the utility of Wilemski-Fixman closure approximation. Bull. Korean Chem. Soc. 2006, 27, 1181. [Google Scholar]
- Uhm, J.; Lee, J.; Eun, C.; Lee, S. Generalization of Wilemski-Fixman-Weiss decoupling approximation to the case involving multiple sinks of different sizes, shapes, and reactivities. J. Chem. Phys. 2006, 125, 054911. [Google Scholar] [CrossRef]
- Bluett, V.M.; Green, N.J.B. Competitive diffusion-influenced reaction of a reactive particle with two static sinks. J. Phys. Chem. A 2006, 110, 4738. [Google Scholar] [CrossRef]
- Traytak, S.D.; Barzykin, A.V. Diffusion-controlled reaction on a sink with two active sites. J. Chem. Phys. 2007, 127, 215103. [Google Scholar] [CrossRef]
- Ivanov, K.L.; Lukzen, N.N. Diffusion-influenced reactions of particles with several active sites. J. Chem. Phys. 2008, 128, 155105. [Google Scholar] [CrossRef] [PubMed]
- Kang, A.; Kim, J.H.; Lee, S.; Park, H. Diffusion-influenced reactions involving a reactant with two active sites. J. Chem. Phys. 2009, 130, 03B606. [Google Scholar] [CrossRef] [PubMed]
- Eun, C.; Kekenes-Huskey, P.M.; McCammon, J.A. Influence of neighboring reactive particles on diffusion-limited reactions. J. Chem. Phys. 2013, 139, 44117. [Google Scholar] [CrossRef] [PubMed]
- Biello, J.A.; Samson, R. Competitive effects between stationary chemical reaction centres: A theory based on off-center monopoles. J. Chem. Phys. 2015, 142, 094109. [Google Scholar] [CrossRef] [PubMed]
- Galanti, M.; Fanelli, D.; Traytak, S.D.; Piazza, F. Theory of diffusion-influenced reactions in complex geometries. Phys. Chem. Chem. Phys. 2016, 18, 15950. [Google Scholar] [CrossRef] [PubMed]
- Traytak, S.D.; Grebenkov, D.S. Diffusion-influenced reaction rates for active “sphere-prolate spheroid” pairs and Janus dimers. J. Chem. Phys. 2018, 148, 024107. [Google Scholar] [CrossRef]
- Felderhof, B.U.; Deutch, J.M. Concentration dependence of the rate of diffusion-controlled reactions. J. Chem. Phys. 1976, 64, 4551. [Google Scholar] [CrossRef]
- Deutch, J.M.; Felderhof, B.U.; Saxton, M.J. Competitive effects in diffusion-controlled reactions. J. Chem. Phys. 1976, 64, 4559. [Google Scholar] [CrossRef]
- Samson, R.; Deutch, J.M. Exact solution for the diffusion controlled rate into a pair of reacting sinks. J. Chem. Phys. 1977, 68, 285. [Google Scholar] [CrossRef]
- Pritchin, I.A.; Salikhov, K.M. Diffusion-controlled reactions of isotropic reagents and molecules with two active sites. Effect of competition of the active sites for the reagent. J. Phys. Chem. 1985, 89, 5212. [Google Scholar] [CrossRef]
- Traytak, S.D. Competition effects in steady-state diffusion-limited reactions: Renormalization group approach. J. Chem. Phys. 1996, 105, 10860. [Google Scholar] [CrossRef]
- Zoia, G.; Strieder, W. Competitive diffusion into two sinks with a finite surface reaction coefficient. J. Chem. Phys. 1998, 108, 3114. [Google Scholar] [CrossRef]
- Tsao, H.K.; Lu, S.Y.; Tseng, C.Y. Rate of diffusion-limited reactions in a cluster of spherical sinks. J. Chem. Phys. 2001, 115, 3827. [Google Scholar] [CrossRef]
- McDonald, N.; Strieder, W. Competitive interaction between two different spherical sinks. J. Chem. Phys. 2004, 121, 7966–7972. [Google Scholar] [CrossRef]
- Northrup, S.H. Diffusion-controlled ligand binding to multiple competing cell-bound receptors. J. Phys. Chem. 1988, 92, 5847–5850. [Google Scholar] [CrossRef]
- Eun, C. Theory of curvature-dependent kinetics of diffusion-limited reactions and its application to ligand binding to a sphere with multiple receptors. J. Chem. Phys. 2018, 149, 024102. [Google Scholar] [CrossRef]
- Ridgway, W.J.M.; Cheviakov, A.F. Locally and globally optimal configurations of N particles on the sphere with applications in the narrow escape and narrow capture problems. Phys. Rev. E 2019, 100, 042413. [Google Scholar] [CrossRef]
- Lu, S.Y. Patch size effect on diffusion and incorporation in dilute suspension of partially active spheres. J. Chem. Phys. 2004, 120, 3997. [Google Scholar] [CrossRef]
- Wu, J.C.; Lu, S.Y. Patch-distribution effect on diffusion-limited process in dilute suspension of partially active spheres. J. Chem. Phys. 2006, 124, 024911. [Google Scholar] [CrossRef]
- Shoup, D.; Szabo, A. Role of diffusion in ligand binding to macromolecules and cell-bound receptors. Biophys. J. 1982, 40, 33–39. [Google Scholar] [CrossRef]
- Zwanzig, R. Diffusion-controlled ligand binding to spheres partially covered by receptors: An effective medium treatment. Proc. Natl. Acad. Sci. USA 1990, 87, 5856–5857. [Google Scholar] [CrossRef] [PubMed]
- Berezhkovskii, A.M.; Makhnovskii, Y.A.; Monine, M.I.; Zitserman, V.Y.; Shvartsman, S.Y. Boundary homogenization for trapping by patchy surfaces. J. Chem. Phys. 2004, 121, 11390–11394. [Google Scholar] [CrossRef] [PubMed]
- Berezhkovskii, A.M.; Monine, M.I.; Muratov, C.B.; Shvartsman, S.Y. Homogenization of boundary conditions for surfaces with regular arrays of traps. J. Chem. Phys. 2006, 124, 036103. [Google Scholar] [CrossRef]
- Lindsay, A.E.; Bernoff, A.J.; Ward, M.J. First passage statistics for the capture of a brownian particle by a structured spherical target with multiple surface traps. Multiscale Model. Simul. 2017, 15, 74–109. [Google Scholar] [CrossRef]
- Bernoff, A.J.; Lindsay, A.E. Numerical approximation of diffusive capture rates by planar and spherical surfaces with absorbing pores. SIAM J. Appl. Math. 2018, 78, 266–290. [Google Scholar] [CrossRef]
- Thomson, J.J. On the Structure of the Atom: An Investigation of the Stability and Periods of Oscillation of a Number of Corpuscles Arranged at Equal Intervals Around the Circumference of a Circle; with Application of the Results to the Theory of Atomic Structure. Lond. Edinb. Dublin Philos. Mag. J. Sci. 1904, 7, 237–265. [Google Scholar] [CrossRef]
- Altschuler, E.L.; Williams, T.J.; Ratner, E.R.; Tipton, R.; Stong, R.; Dowla, F.; Wooten, F. Possible global minimum lattice configurations for Thomson’s problem of charges on a sphere. Phys. Rev. Lett. 1997, 78, 2681. [Google Scholar] [CrossRef]
- Gillespie, R.J.; Hargittai, I. The VSEPR Model of Molecular Geometry; Courier Corporation: Mineola, NY, USA, 2013. [Google Scholar]
- Tammes, P.M.L. On the origin of number and arrangement of the places of exit on the surface of pollen-grains. Recl. des Trav. Bot. néerlandais 1930, 27, 1–84. [Google Scholar]
- Weaire, D.; Aste, T. The Pursuit of Perfect Packing; CRC Press: Boca Raton, FL, USA, 2008. [Google Scholar]
- Hill, T.L. Effect of Rotation on the Diffusion-Controlled Rate of Ligand-Protein Association. Proc. Natl. Acad. Sci. USA 1975, 72, 4918–4922. [Google Scholar] [CrossRef]
- Von Smoluchowski, M. Versuch einer mathematischen Theorie der Koagulationskinetik. Phys. Chem. 1917, 92, 156. [Google Scholar]
- Eun, C. Effect of surface curvature on diffusion-limited reactions on a curved surface. J. Chem. Phys. 2017, 147, 184112. [Google Scholar] [CrossRef] [PubMed]
- Kaye, J.; Greengard, L. A fast solver for the narrow capture and narrow escape problems in the sphere. arXiv Prepr. 2019. [Google Scholar] [CrossRef]
- Grebenkov, D.S. Spectral theory of imperfect diffusion-controlled reactions on heterogeneous catalytic surfaces. J. Chem. Phys. 2019, 151, 104108. [Google Scholar] [CrossRef] [PubMed]
- Zimmerman, W.B.J. Multiphysics Modeling with Finite Element Methods; World Scientific Publishing Co Inc: Toh Tuck, Singapore, 2006; Volume 18. [Google Scholar]
- Brenner, S.C.; Scott, L.R. The Mathematical Theory of Finite Element Methods; Springer Science & Business Media: New York, NY, USA, 2007. [Google Scholar]
- Traytak, S.D. Diffusion-controlled reaction rate to an active site. Chem. Phys. 1995, 192, 1–7. [Google Scholar] [CrossRef]
- Dagdug, L.; Vázquez, M.-V.; Berezhkovskii, A.M.; Zitserman, V.Y. Boundary homogenization for a sphere with an absorbing cap of arbitrary size. J. Chem. Phys. 2016, 145, 214101. [Google Scholar] [CrossRef]











| Number of Patches | FEM Result (Maximum Value) | Berg and Purcell (Equation (1)) | Zwanzig (Equation (2)) | Boundary Homogenization (Equation (3)) | LBW (Equation (4)) | Ours (Equation (6)) |
|---|---|---|---|---|---|---|
| 2 | 0.118 | 0.100 | 0.101 | 0.107 | 0.123 | 0.120 |
| 3 | 0.178 | 0.143 | 0.146 | 0.155 | 0.180 | 0.177 |
| 4 | 0.232 | 0.182 | 0.186 | 0.200 | 0.233 | 0.230 |
© 2020 by the author. Licensee MDPI, Basel, Switzerland. This article is an open access article distributed under the terms and conditions of the Creative Commons Attribution (CC BY) license (http://creativecommons.org/licenses/by/4.0/).
Share and Cite
Eun, C. Effects of the Size, the Number, and the Spatial Arrangement of Reactive Patches on a Sphere on Diffusion-Limited Reaction Kinetics: A Comprehensive Study. Int. J. Mol. Sci. 2020, 21, 997. https://doi.org/10.3390/ijms21030997
Eun C. Effects of the Size, the Number, and the Spatial Arrangement of Reactive Patches on a Sphere on Diffusion-Limited Reaction Kinetics: A Comprehensive Study. International Journal of Molecular Sciences. 2020; 21(3):997. https://doi.org/10.3390/ijms21030997
Chicago/Turabian StyleEun, Changsun. 2020. "Effects of the Size, the Number, and the Spatial Arrangement of Reactive Patches on a Sphere on Diffusion-Limited Reaction Kinetics: A Comprehensive Study" International Journal of Molecular Sciences 21, no. 3: 997. https://doi.org/10.3390/ijms21030997
APA StyleEun, C. (2020). Effects of the Size, the Number, and the Spatial Arrangement of Reactive Patches on a Sphere on Diffusion-Limited Reaction Kinetics: A Comprehensive Study. International Journal of Molecular Sciences, 21(3), 997. https://doi.org/10.3390/ijms21030997
