Characterization of Procoagulant COAT Platelets in Patients with Glanzmann Thrombasthenia
Abstract
1. Introduction
2. Results
2.1. Characterization of Platelet Function by Flow Cytometry
2.2. Procoagulant COAT Platelet Formation in GT Patients
2.3. Intracellular Ion Fluxes Following CVX-Plus-THR Platelet Activation
2.4. Intracellular Calcium during the First Three Minutes after Activation
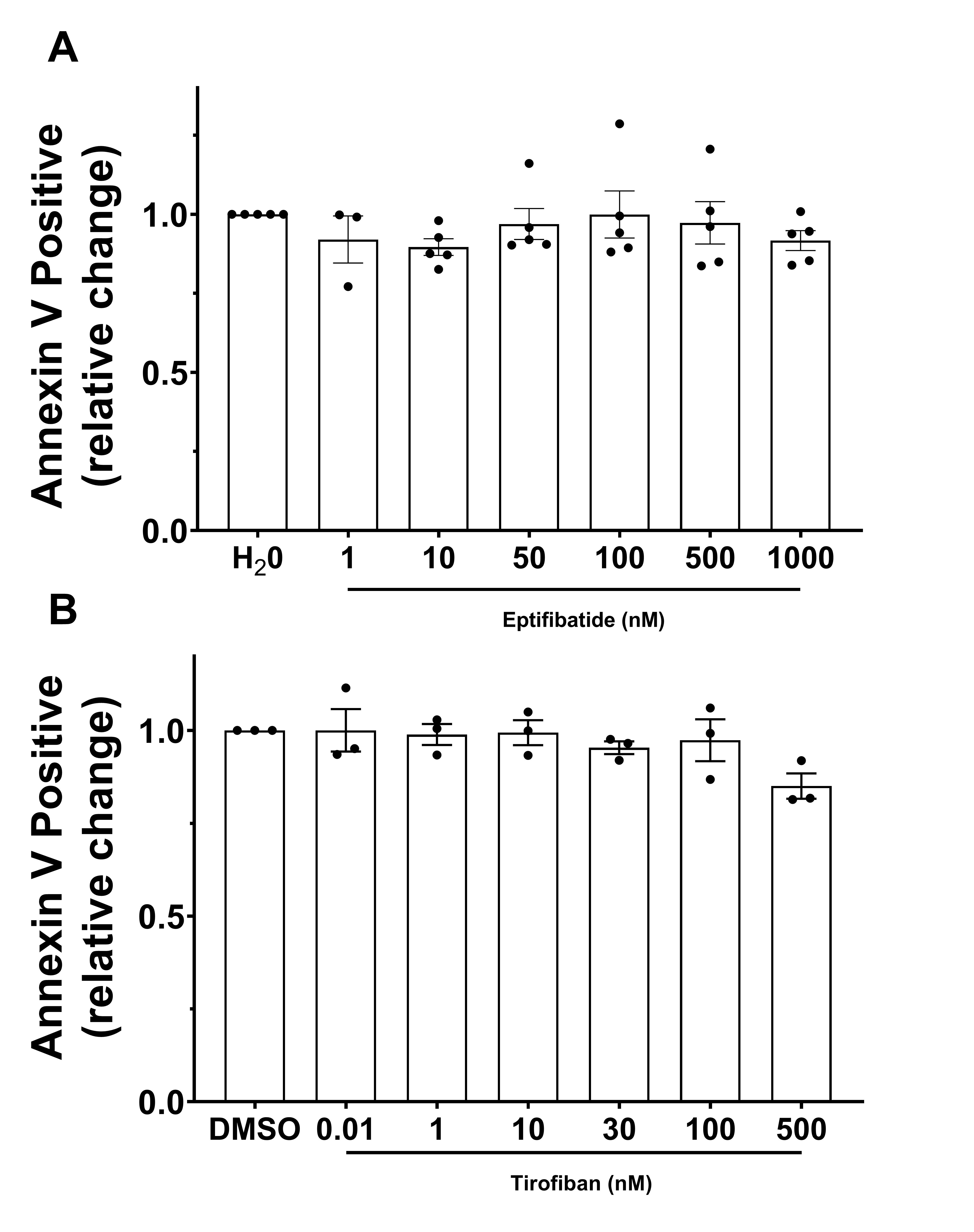
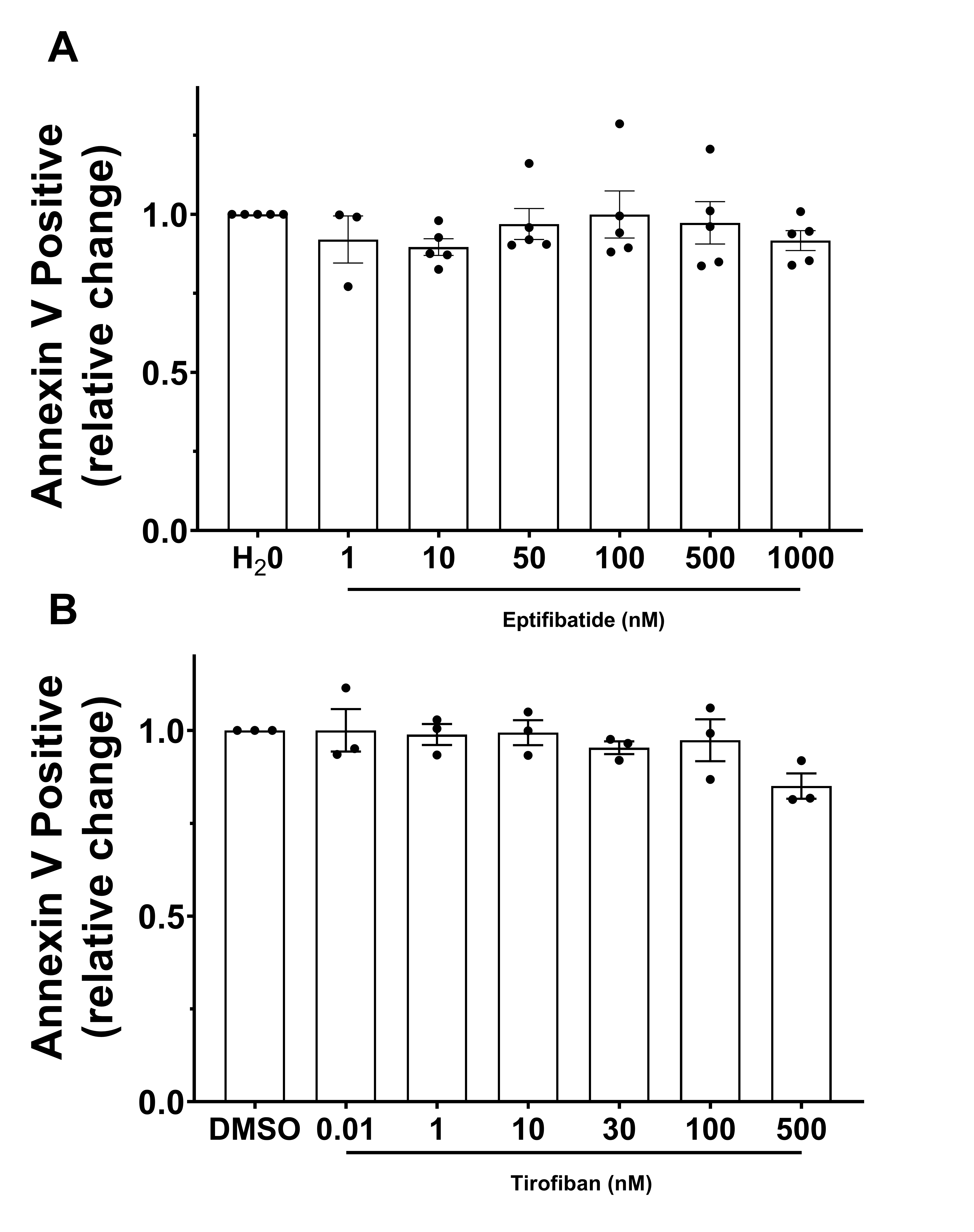
2.5. GPIIb/IIIa Antagonists and Their Effect on COAT Platelet Formation
3. Discussion
4. Materials and Methods
4.1. Material
4.2. Healthy Donors and Patients with Glanzmann Thrombasthenia
4.3. Blood Collection and Preparation of Platelet Rich Plasma
4.4. Flow Cytometry Analysis
4.5. Procoagulant COAT Platelet Generation
4.6. Kinetic Ion Flux Measurements
4.7. Data Analysis
Author Contributions
Funding
Acknowledgments
Conflicts of Interest
Abbreviations
| BSL | Baseline |
| COAT | Collagen-and-thrombin |
| CVX | Convulxin |
| FCA | Flow cytometry analysis |
| GP | Glycoprotein |
| GT | Glanzmann thrombasthenia |
| HD | Healthy donor |
| ING-2 | ION NaTRIUM Green-2 |
| IPG-2 | ION Potassium Green-2 |
| MFI | Median Fluorescence Intensities |
| PAT_GT# | Patient with Glanzmann thrombasthenia identification; # number 1, 2, or 3 |
| PRP | Platelet-rich-plasma |
| PS | Phosphatidylserine |
| SEM | Sandard error of mean |
| THR | Thrombin |
References
- Clemetson, K.J. Platelets and primary haemostasis. Thromb. Res. 2012, 129, 220–224. [Google Scholar] [CrossRef] [PubMed]
- Versteeg, H.H.; Heemskerk, J.W.M.; Levi, M.; Reitsma, P.H. New Fundamentals in Hemostasis. Physiol. Rev. 2013, 93, 327–358. [Google Scholar] [CrossRef] [PubMed]
- Huang, J.; Li, X.; Shi, X.; Zhu, M.; Wang, J.; Huang, S.; Huang, X.; Wang, H.; Li, L.; Deng, H.; et al. Platelet integrin alphaIIbbeta3: Signal transduction, regulation, and its therapeutic targeting. J. Hematol. Oncol. 2019, 12, 26. [Google Scholar] [CrossRef] [PubMed]
- Shattil, S.J.; Kashiwagi, H.; Pampori, N. Integrin signaling: The platelet paradigm. Blood 1998, 91, 2645–2657. [Google Scholar] [CrossRef] [PubMed]
- Poon, M.C.; Di Minno, G.; D’Oiron, R.; Zotz, R. New Insights Into the Treatment of Glanzmann Thrombasthenia. Transfus. Med. Rev. 2016, 30, 92–99. [Google Scholar] [CrossRef] [PubMed]
- George, J.N.; Caen, J.P.; Nurden, A.T. Glanzmann’s thrombasthenia: The spectrum of clinical disease. Blood 1990, 75, 1383–1395. [Google Scholar] [CrossRef]
- D’Andrea, G.; Margaglione, M.; Glansmann’s Thrombasthemia Italian, T. Glanzmann’s thrombasthenia: Modulation of clinical phenotype by alpha2C807T gene polymorphism. Haematologica 2003, 88, 1378–1382. [Google Scholar] [CrossRef]
- Nurden, A.T.; Pillois, X.; Nurden, P. Understanding the genetic basis of Glanzmann thrombasthenia: Implications for treatment. Expert Rev. Hematol. 2012, 5, 487–503. [Google Scholar] [CrossRef]
- Karpatkin, S. Heterogeneity of human platelets. I. Metabolic and kinetic evidence suggestive of young and old platelets. J. Clin. Investig. 1969, 48, 1073–1082. [Google Scholar] [CrossRef]
- Savage, B.; McFadden, P.R.; Hanson, S.R.; Harker, L.A. The relation of platelet density to platelet age: Survival of low- and high-density 111indium-labeled platelets in baboons. Blood 1986, 68, 386–393. [Google Scholar] [CrossRef]
- Vicic, W.J.; Weiss, H.J. Evidence that platelet alpha-granules are a major determinant of platelet density: Studies in storage pool deficiency. Thromb. Haemost. 1983, 50, 878–880. [Google Scholar] [PubMed]
- Heemskerk, J.W.; Mattheij, N.J.; Cosemans, J.M. Platelet-based coagulation: Different populations, different functions. J. Thromb. Haemost. 2013, 11, 2–16. [Google Scholar] [CrossRef] [PubMed]
- Van der Meijden, P.E.J.; Heemskerk, J.W.M. Platelet biology and functions: New concepts and clinical perspectives. Nat. Rev. Cardiol. 2019, 16, 166–179. [Google Scholar] [CrossRef] [PubMed]
- Agbani, E.O.; Poole, A.W. Procoagulant platelets: Generation, function, and therapeutic targeting in thrombosis. Blood 2017, 130, 2171–2179. [Google Scholar] [CrossRef] [PubMed]
- Reddy, E.C.; Rand, M.L. Procoagulant Phosphatidylserine-Exposing Platelets in vitro and in vivo. Front. Cardiovasc. Med. 2020, 7, 15. [Google Scholar] [CrossRef] [PubMed]
- Alberio, L.; Safa, O.; Clemetson, K.J.; Esmon, C.T.; Dale, G.L. Surface expression and functional characterization of alpha-granule factor V in human platelets: Effects of ionophore A23187, thrombin, collagen, and convulxin. Blood 2000, 95, 1694–1702. [Google Scholar] [CrossRef]
- Dale, G.L.; Friese, P.; Batar, P.; Hamilton, S.F.; Reed, G.L.; Jackson, K.W.; Clemetson, K.J.; Alberio, L. Stimulated platelets use serotonin to enhance their retention of procoagulant proteins on the cell surface. Nature 2002, 415, 175–179. [Google Scholar] [CrossRef]
- Alberio, L.; Ravanat, C.; Hechler, B.; Mangin, P.H.; Lanza, F.; Gachet, C. Delayed-onset of procoagulant signalling revealed by kinetic analysis of COAT platelet formation. Thromb. Haemost. 2017, 117, 1101–1114. [Google Scholar] [CrossRef]
- Prodan, C.I.; Vincent, A.S.; Dale, G.L. Coated-platelet levels are elevated in patients with transient ischemic attack. Transl. Res. 2011, 158, 71–75. [Google Scholar] [CrossRef]
- Prodan, C.I.; Stoner, J.A.; Cowan, L.D.; Dale, G.L. Higher coated-platelet levels are associated with stroke recurrence following nonlacunar brain infarction. J. Cereb. Blood Flow Metab. 2013, 33, 287–292. [Google Scholar] [CrossRef]
- Prodan, C.I.; Joseph, P.M.; Vincent, A.S.; Dale, G.L. Coated-platelets in ischemic stroke: Differences between lacunar and cortical stroke. J. Thromb. Haemost. 2008, 6, 609–614. [Google Scholar] [CrossRef]
- Prodan, C.I.; Vincent, A.S.; Padmanabhan, R.; Dale, G.L. Coated-platelet levels are low in patients with spontaneous intracerebral hemorrhage. Stroke 2009, 40, 2578–2580. [Google Scholar] [CrossRef] [PubMed]
- Prodan, C.I.; Vincent, A.S.; Dale, G.L. Coated Platelet Levels Correlate With Bleed Volume in Patients With Spontaneous Intracerebral Hemorrhage. Stroke 2010, 41, 1301–1303. [Google Scholar] [CrossRef]
- Prodan, C.I.; Stoner, J.A.; Gordon, D.L.; Dale, G.L. Cerebral microbleeds in nonlacunar brain infarction are associated with lower coated-platelet levels. J. Stroke Cerebrovasc. Dis. 2014, 23, e325–e330. [Google Scholar] [CrossRef] [PubMed]
- Daskalakis, M.; Colucci, G.; Keller, P.; Rochat, S.; Silzle, T.; Biasiutti, F.D.; Barizzi, G.; Alberio, L. Decreased generation of procoagulant platelets detected by flow cytometric analysis in patients with bleeding diathesis. Cytom. B Clin. Cytom. 2014, 86, 397–409. [Google Scholar] [CrossRef] [PubMed]
- Aliotta, A.; Bertaggia Calderara, D.; Alberio, L. Flow Cytometric Monitoring of Dynamic Cytosolic Calcium, Sodium, and Potassium Fluxes Following Platelet Activation. Cytom. A 2020, 97, 933–944. [Google Scholar] [CrossRef] [PubMed]
- Aliotta, A.; Bertaggia Calderara, D.; Zermatten, M.G.; Alberio, L. Sodium-Calcium Exchanger Reverse Mode Sustains Dichotomous Ion Fluxes Required for Procoagulant COAT Platelet Formation. Thromb. Haemost. 2020. [Google Scholar] [CrossRef]
- Nurden, A.T. Glanzmann thrombasthenia. Orphanet J. Rare Dis. 2006, 1, 10. [Google Scholar] [CrossRef]
- Sebastiano, C.; Bromberg, M.; Breen, K.; Hurford, M.T. Glanzmann’s thrombasthenia: Report of a case and review of the literature. Int. J. Clin. Exp. Pathol. 2010, 3, 443–447. [Google Scholar]
- Mutreja, D.; Sharma, R.K.; Purohit, A.; Aggarwal, M.; Saxena, R. Evaluation of platelet surface glycoproteins in patients with Glanzmann thrombasthenia: Association with bleeding symptoms. Indian J. Med. Res. 2017, 145, 629–634. [Google Scholar] [CrossRef]
- Nikolopoulos, G.K.; Tsantes, A.E.; Bagos, P.G.; Travlou, A.; Vaiopoulos, G. Integrin, alpha 2 gene C807T polymorphism and risk of ischemic stroke: A meta-analysis. Thromb. Res. 2007, 119, 501–510. [Google Scholar] [CrossRef] [PubMed]
- Durrant, T.N.; van den Bosch, M.T.; Hers, I. Integrin alphaIIbbeta3 outside-in signaling. Blood 2017, 130, 1607–1619. [Google Scholar] [CrossRef]
- Dale, G.L. Procoagulant Platelets: Further Details but Many More Questions. Arterioscler. Thromb. Vasc. Biol. 2017, 37, 1596–1597. [Google Scholar] [CrossRef] [PubMed]
- Topalov, N.N.; Yakimenko, A.O.; Canault, M.; Artemenko, E.O.; Zakharova, N.V.; Abaeva, A.A.; Loosveld, M.; Ataullakhanov, F.I.; Nurden, A.T.; Alessi, M.C.; et al. Two types of procoagulant platelets are formed upon physiological activation and are controlled by integrin alpha(IIb)beta(3). Arterioscler. Thromb. Vasc. Biol. 2012, 32, 2475–2483. [Google Scholar] [CrossRef]
- Topalov, N.N.; Kotova, Y.N.; Vasil’ev, S.A.; Panteleev, M.A. Identification of signal transduction pathways involved in the formation of platelet subpopulations upon activation. Br. J. Haematol. 2012, 157, 105–115. [Google Scholar] [CrossRef] [PubMed]
- Van der Meijden, P.E.; Feijge, M.A.; Swieringa, F.; Gilio, K.; Nergiz-Unal, R.; Hamulyak, K.; Heemskerk, J.W. Key role of integrin alpha(IIb)beta (3) signaling to Syk kinase in tissue factor-induced thrombin generation. Cell Mol. Life Sci. 2012, 69, 3481–3492. [Google Scholar] [CrossRef]
- Podoplelova, N.A.; Sveshnikova, A.N.; Kotova, Y.N.; Eckly, A.; Receveur, N.; Nechipurenko, D.Y.; Obydennyi, S.I.; Kireev, I.I.; Gachet, C.; Ataullakhanov, F.I.; et al. Coagulation factors bound to procoagulant platelets concentrate in cap structures to promote clotting. Blood 2016, 128, 1745–1755. [Google Scholar] [CrossRef]
- Abaeva, A.A.; Canault, M.; Kotova, Y.N.; Obydennyy, S.I.; Yakimenko, A.O.; Podoplelova, N.A.; Kolyadko, V.N.; Chambost, H.; Mazurov, A.V.; Ataullakhanov, F.I.; et al. Procoagulant platelets form an alpha-granule protein-covered “cap” on their surface that promotes their attachment to aggregates. J. Biol. Chem. 2013, 288, 29621–29632. [Google Scholar] [CrossRef]
- Weiss, H.J. Impaired platelet procoagulant mechanisms in patients with bleeding disorders. Semin. Thromb. Hemost. 2009, 35, 233–241. [Google Scholar] [CrossRef]
- Weiss, H.J.; Lages, B. Platelet prothrombinase activity and intracellular calcium responses in patients with storage pool deficiency, glycoprotein IIb-IIIa deficiency, or impaired platelet coagulant activity-a comparison with Scott syndrome. Blood 1997, 89, 1599–1611. [Google Scholar] [CrossRef]
- Agbani, E.O.; Hers, I.; Poole, A.W. Temporal contribution of the platelet body and balloon to thrombin generation. Haematologica 2017, 102, e379–e381. [Google Scholar] [CrossRef][Green Version]
- De Silva, H.A.; Carver, J.G.; Aronson, J.K. Pharmacological evidence of calcium-activated and voltage-gated potassium channels in human platelets. Clin. Sci. 1997, 93, 249–255. [Google Scholar] [CrossRef] [PubMed]
- Wolfs, J.L.; Wielders, S.J.; Comfurius, P.; Lindhout, T.; Giddings, J.C.; Zwaal, R.F.; Bevers, E.M. Reversible inhibition of the platelet procoagulant response through manipulation of the Gardos channel. Blood 2006, 108, 2223–2228. [Google Scholar] [CrossRef] [PubMed]
- Mahaut-Smith, M.P. Calcium-activated potassium channels in human platelets. J. Physiol. 1995, 484 Pt 1, 15–24. [Google Scholar] [CrossRef]
- Vergara, C.; Latorre, R.; Marrion, N.V.; Adelman, J.P. Calcium-activated potassium channels. Curr. Opin. Neurobiol. 1998, 8, 321–329. [Google Scholar] [CrossRef]
- Arachiche, A.; Kerbiriou-Nabias, D.; Garcin, I.; Letellier, T.; Dachary-Prigent, J. Rapid procoagulant phosphatidylserine exposure relies on high cytosolic calcium rather than on mitochondrial depolarization. Arterioscler. Thromb. Vasc. Biol. 2009, 29, 1883–1889. [Google Scholar] [CrossRef] [PubMed]
- Kulkarni, S.; Jackson, S.P. Platelet factor XIII and calpain negatively regulate integrin alphaIIbbeta3 adhesive function and thrombus growth. J. Biol. Chem. 2004, 279, 30697–30706. [Google Scholar] [CrossRef]
- Padoin, E.; Alexandre, A.; Cavallini, L.; Polverino de Laureto, P.; Rao, G.H.; Doni, M.G. Human platelet activation is inhibited by the occupancy of glycoprotein IIb/IIIa receptor. Arch. Biochem. Biophys. 1996, 333, 407–413. [Google Scholar] [CrossRef]
- Rosado, J.A.; Meijer, E.M.; Hamulyak, K.; Novakova, I.; Heemskerk, J.W.; Sage, S.O. Fibrinogen binding to the integrin alpha(IIb)beta(3) modulates store-mediated calcium entry in human platelets. Blood 2001, 97, 2648–2656. [Google Scholar] [CrossRef]
- Dai, B.; Wu, P.; Xue, F.; Yang, R.; Yu, Z.; Dai, K.; Ruan, C.; Liu, G.; Newman, P.J.; Gao, C. Integrin-alphaIIbbeta3-mediated outside-in signalling activates a negative feedback pathway to suppress platelet activation. Thromb. Haemost. 2016, 116, 918–930. [Google Scholar] [CrossRef]
- Hamilton, S.F.; Miller, M.W.; Thompson, C.A.; Dale, G.L. Glycoprotein IIb/IIIa inhibitors increase COAT-platelet production in vitro. J. Lab. Clin. Med. 2004, 143, 320–326. [Google Scholar] [CrossRef] [PubMed]
- Jones, M.L.; Harper, M.T.; Aitken, E.W.; Williams, C.M.; Poole, A.W. RGD-ligand mimetic antagonists of integrin alphaIIbbeta3 paradoxically enhance GPVI-induced human platelet activation. J. Thromb. Haemost. 2010, 8, 567–576. [Google Scholar] [CrossRef] [PubMed]
- Razmara, M.; Hu, H.; Masquelier, M.; Li, N. Glycoprotein IIb/IIIa blockade inhibits platelet aminophospholipid exposure by potentiating translocase and attenuating scramblase activity. Cell Mol. Life Sci. 2007, 64, 999–1008. [Google Scholar] [CrossRef] [PubMed]
- Bassler, N.; Loeffler, C.; Mangin, P.; Yuan, Y.; Schwarz, M.; Hagemeyer, C.E.; Eisenhardt, S.U.; Ahrens, I.; Bode, C.; Jackson, S.P.; et al. A mechanistic model for paradoxical platelet activation by ligand-mimetic alphaIIb beta3 (GPIIb/IIIa) antagonists. Arterioscler. Thromb. Vasc. Biol. 2007, 27, e9–e15. [Google Scholar] [CrossRef]
- Koloka, V.; Christofidou, E.D.; Vaxevanelis, S.; Dimitriou, A.A.; Tsikaris, V.; Tselepis, A.D.; Panou-Pomonis, E.; Sakarellos-Daitsiotis, M.; Tsoukatos, D.C. A palmitoylated peptide, derived from the acidic carboxyl-terminal segment of the integrin alphaIIb cytoplasmic domain, inhibits platelet activation. Platelets 2008, 19, 502–511. [Google Scholar] [CrossRef]
- Su, X.; Mi, J.; Yan, J.; Flevaris, P.; Lu, Y.; Liu, H.; Ruan, Z.; Wang, X.; Kieffer, N.; Chen, S.; et al. RGT, a synthetic peptide corresponding to the integrin beta 3 cytoplasmic C-terminal sequence, selectively inhibits outside-in signaling in human platelets by disrupting the interaction of integrin alpha IIb beta 3 with Src kinase. Blood 2008, 112, 592–602. [Google Scholar] [CrossRef]
- Huang, J.; Shi, X.; Xi, W.; Liu, P.; Long, Z.; Xi, X. Evaluation of targeting c-Src by the RGT-containing peptide as a novel antithrombotic strategy. J. Hematol. Oncol. 2015, 8, 62. [Google Scholar] [CrossRef]
- Polgar, J.; Clemetson, J.M.; Kehrel, B.E.; Wiedemann, M.; Magnenat, E.M.; Wells, T.N.; Clemetson, K.J. Platelet activation and signal transduction by convulxin, a C-type lectin from Crotalus durissus terrificus (tropical rattlesnake) venom via the p62/GPVI collagen receptor. J. Biol. Chem. 1997, 272, 13576–13583. [Google Scholar] [CrossRef]




| Characterization | Indicator | Unit | PAT_GT1 | PAT_GT2 | PAT_GT3 | In-House Ranges (n = 73; 2.5–97.5 Percentiles) | ||
|---|---|---|---|---|---|---|---|---|
| Size | FSC | MFI | 74′739 | 93′372 | 125′674 | 74′002 | - | 126′189 |
| Granularity | SSC | MFI | 6′322 * | 7′588 | 9′610 | 7′073 | - | 10′808 |
| Surface GP Markers | ||||||||
| GPIIb | anti-CD41 mAb | MFI | 184 * | 445 * | 225 * | 14′392 | - | 21′923 |
| GPIIIa | anti-CD61 mAb | MFI | 229 * | 640 * | 328* | 25′111 | - | 39′696 |
| GPIb | anti-CD42b mAb | MFI | 23′539.0 | 20′565.0 | 31′463 * | 18′647 | - | 28′661 |
| GPIX | anti-CD42a mAb | MFI | 27′033 | 22′486 | 32′646 * | 19′407 | - | 27′401 |
| GPVI | anti-GPVI mAb | MFI | 4′738 | 5′491 | 7′851 * | 4′584 | - | 7′518 |
| GPIa | anti-CD49b mAb | MFI | 1′244 * | 1′291 * | 1′463 * | 1′485 | - | 4′227 |
| Dense granules | ||||||||
| Content | Mepacrine 0.17 μM | MFI | 374 | 404 | 398 | 278 | - | 502 |
| After CVX (500 ng/mL) | MFI | 322 | 304 | 350 | 215 | - | 377 | |
| CVX-induced secretion | %§ | −13.9 * | −25 | −12 * | −14 | - | −41 | |
| After THR (0.5 U/mL) | MFI | 170 | 176 | 180 | 162 | - | 188 | |
| THR-induced secretion | %§ | −55 | −56 | −55 | −37 | - | −64 | |
| Content | Mepacrine 1.7 μM | MFI | 618 | 632 | 701 | 441 | - | 817 |
| After CVX (500 ng/mL) | MFI | 563 | 516 | 651 | 294 | - | 565 | |
| CVX-induced secretion | %§ | −9 * | −18 | −7 * | −16 | - | −53 | |
| After THR (0.5 U/mL) | MFI | 199 | 200 | 216 | 181 | - | 229 | |
| THR-induced secretion | %§ | −68 | −68 | −69 | −58 | - | −74 | |
| Alpha granules | anti-CD62P mAb | |||||||
| Baseline | Absolute % | 0.2 | 0.8 | 1.1 | 0.2 | - | 4.9 | |
| MFI | 182 | 194 | 183 | 168 | - | 285 | ||
| ADP 0.5 μM | MFI | 265 * | 527 | 314 | 297 | - | 958 | |
| ADP 5 μm | MFI | 524 * | 1′374 | 704 | 620 | - | 2′564 | |
| ADP 50 μm | MFI | 529 * | 1′322 | 731 | 766 | - | 3′081 | |
| THR 0.005 U/mL | MFI | 376 | 1′979 | 1′510 | 250 | - | 2′735 | |
| THR 0.05 U/mL | MFI | 4′304 * | 6′067 | 6′221 | 5′062 | - | 9′957 | |
| THR 0.5 U/mL | MFI | 5′145 * | 6′585 * | 6′719 * | 6′757 | - | 11′321 | |
| CVX 5 ng/mL | MFI | 1′682 | 4′362 | 1′908 | 789 | - | 9′312 | |
| CVX 50 ng/mL | MFI | 3′614 * | 5′918 | 5′781 | 4′643 | - | 10′030 | |
| CVX 500 ng/mL | MFI | 4′132 * | 6′058 | 6′132 | 5′609 | - | 10′891 | |
| GPIIb/IIIa Activation | anti-CD41/CD61 (PAC−1) mAb | |||||||
| Baseline | MFI | 150 * | 376* | 153 * | 469 | - | 1′145 | |
| ADP 0.5 μM | MFI | 147 * | 583 * | 151 * | 1′564 | - | 5′049 | |
| ADP 5 μm | MFI | 155 * | 821 * | 144 * | 4′356 | - | 12′182 | |
| ADP 50 μm | MFI | 151 * | 776 * | 145 * | 6′323 | - | 16′678 | |
| THR 0.005 U/mL | MFI | 151 * | 1′128 * | 141 * | 980 | - | 5′116 | |
| THR 0.05 U/mL | MFI | 158 * | 1′886 * | 105 * | 9′060 | - | 22′867 | |
| THR 0.5 U/mL | MFI | 160 * | 1′621 * | 103 * | 15′017 | - | 28′176 | |
| CVX 5 ng/mL | MFI | 152 * | 1′656 * | 128 * | 2′026 | - | 12′135 | |
| CVX 50 ng/mL | MFI | 150 * | 1′544 * | 101 * | 5′605 | - | 14′931 | |
| CVX 500 ng/mL | MFI | 144 * | 1′574 * | v96 * | 6′293 | - | 14′789 | |
| Procoagulant Activity | Annexin V | |||||||
| Baseline | Absolute % | 4.1 | 5.9 | 1.6 | 0.8 | - | 4.0 | |
| Ionophore | Absolute % | 99 | 99 | 99 | 96 | - | 100 | |
| COAT platelets (CVX + THR) | Absolute % | 57 * | 64 * | 50 | 25 | - | 55 | |
| MFI | 23′561 | 23′403 | 31′741 | 13′645 | - | 116′434 | ||
Publisher’s Note: MDPI stays neutral with regard to jurisdictional claims in published maps and institutional affiliations. |
© 2020 by the authors. Licensee MDPI, Basel, Switzerland. This article is an open access article distributed under the terms and conditions of the Creative Commons Attribution (CC BY) license (http://creativecommons.org/licenses/by/4.0/).
Share and Cite
Aliotta, A.; Krüsi, M.; Bertaggia Calderara, D.; Zermatten, M.G.; Gomez, F.J.; Batista Mesquita Sauvage, A.P.; Alberio, L. Characterization of Procoagulant COAT Platelets in Patients with Glanzmann Thrombasthenia. Int. J. Mol. Sci. 2020, 21, 9515. https://doi.org/10.3390/ijms21249515
Aliotta A, Krüsi M, Bertaggia Calderara D, Zermatten MG, Gomez FJ, Batista Mesquita Sauvage AP, Alberio L. Characterization of Procoagulant COAT Platelets in Patients with Glanzmann Thrombasthenia. International Journal of Molecular Sciences. 2020; 21(24):9515. https://doi.org/10.3390/ijms21249515
Chicago/Turabian StyleAliotta, Alessandro, Manuel Krüsi, Debora Bertaggia Calderara, Maxime G. Zermatten, Francisco J. Gomez, Ana P. Batista Mesquita Sauvage, and Lorenzo Alberio. 2020. "Characterization of Procoagulant COAT Platelets in Patients with Glanzmann Thrombasthenia" International Journal of Molecular Sciences 21, no. 24: 9515. https://doi.org/10.3390/ijms21249515
APA StyleAliotta, A., Krüsi, M., Bertaggia Calderara, D., Zermatten, M. G., Gomez, F. J., Batista Mesquita Sauvage, A. P., & Alberio, L. (2020). Characterization of Procoagulant COAT Platelets in Patients with Glanzmann Thrombasthenia. International Journal of Molecular Sciences, 21(24), 9515. https://doi.org/10.3390/ijms21249515

