Dietary Mg2+ Intake and the Na+/Mg2+ Exchanger SLC41A1 Influence Components of Mitochondrial Energetics in Murine Cardiomyocytes
Abstract
1. Introduction
2. Results
2.1. Effect of Dietary Mg Content and Slc41a1 Genotype on Activities of ACON, ICDH, and KGDH in Lysates of Mitochondria of Murine Cardiac Cells
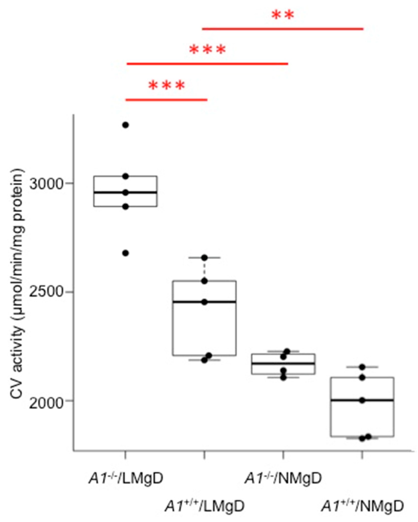
2.2. Effect of Dietary Mg Content and A1 Genotype on Activities of ETC Complexes (Including F1Fo-ATPase) in Lysates of Murine Mitochondria of Cardiac Cells
2.3. Random Forest Machine-Learning (RFM-L) Analysis of the Activities of Selected Krebs Cycle Enzymes and ETC Complexes as Potential Predictors/Discriminators between LMgD and NMgD and between Slc41a1−/− and Slc41a1+/+ Genotypes
2.4. A Brief Summary of the Results
3. Discussion
4. Materials and Methods
4.1. Development of Slc41a1 Knock-Out Mouse
4.2. Animal Breeding, Housing, and Euthanization
4.3. Isolation of Cardiac Mitochondria
4.4. Determination of Krebs Cycle Enzymes Activities
4.5. Assay of ETC Complexes and ATP Hydrolase Activity
4.6. Statistics and Bioinformatics
5. Conclusions
Author Contributions
Funding
Acknowledgments
Conflicts of Interest
Abbreviations
| 2F-ANOVA | two-factorial analysis of variance |
| ACON | aconitate hydratase |
| Akt/PKB | Akt protein kinase B |
| AUC | area under the curve |
| CI–CV | complex I–V |
| CVD | cardiovascular diseases |
| CytC | cytochrome C |
| ECS | extracellular space |
| EGF | epidermal growth factor |
| eROC | empirical receiver operating characteristic |
| ETC | electron transport chain |
| Flp | flippase |
| FRT | flippase recognition target |
| HEK293 | human embryonic kidney 293 cells |
| ICDH | isocitrate dehydrogenase |
| ICS | intracellular space |
| IGF-1 | insulin-like growth factor 1 |
| IR | insulin receptor |
| KGDH | α-ketoglutarate dehydrogenase |
| KO | knock-out |
| LMgD | low Mg diet |
| loxP | locus of X-over P1 sites |
| [Mg2+]e | extracellular Mg2+ concentration |
| [Mg2+]i | intracellular/cytosolic Mg2+ concentration |
| [Mg2+]m | mitochondrial/matrix Mg2+ concentration |
| MIMS | mitochondrial intermembrane space |
| NME | Na+/Mg2+ exchanger |
| NMgD | normal Mg diet |
| PDGF | platelet-derived growth factor |
| PDH | pyruvate dehydrogenase |
| PDK1 | 3-phosphoinositide-dependent protein kinase 1 |
| PI3K | phosphatidylinositol 3-kinase |
| PKA | protein kinase A |
| Q | coenzyme Q10 |
| RFM-L | random forest machine-learning |
| ROC | receiver operating characteristic |
| Slc41a1/SLC41A1 | solute carrier family 41 member A1 (gene/protein) |
| TCA | tricarboxylic acid cycle |
| TRPM7 | transient receptor potential melastatin type 7 |
| WT | wild-type |
Appendix A









References
- Bernhard, D.; Laufer, G. The aging cardiomyocyte: A mini-review. Gerontology 2008, 54, 24–31. [Google Scholar] [CrossRef]
- Fernández-Solà, J.; Porta, A.P. New Treatment Strategies for Alcohol-Induced Heart Damage. Int. J. Mol. Sci. 2016, 17, 1651. [Google Scholar]
- Roh, J.; Rhee, J.; Chaudhari, V.; Rosenzweig, A. The Role of Exercise in Cardiac Aging: From Physiology to Molecular Mechanisms. Circ. Res. 2016, 118, 279–295. [Google Scholar] [CrossRef] [PubMed]
- Rockenfeller, P.; Madeo, F. Ageing and Eating. Biochim. Biophys. Acta 2010, 1803, 499–506. [Google Scholar] [CrossRef]
- Turer, A.T.; Malloy, C.R.; Newgard, C.B.; Podgoreanu, M.V. Energetics and Metabolism in the Failing Heart: Important But Poorly Understood. Curr. Opin. Clin. Nutr. Metab. Care 2010, 13, 458–465. [Google Scholar] [CrossRef] [PubMed]
- Pascual, F.; Coleman, R.A. Fuel Availability and Fate in Cardiac Metabolism: A Tale of Two Substrates. Biochim. Biophys. Acta 2016, 1860, 1425–1433. [Google Scholar] [CrossRef]
- Kaplan, A.; Abidi, E.; Ghali, R.; Booz, G.W.; Kobeissy, F.; Fouad, A.; Zouein, F.A. Functional, Cellular, and Molecular Remodeling of the Heart under Influence of Oxidative Cigarette Tobacco Smoke. Oxid. Med. Cell. Longev. 2017, 2017, 3759186. [Google Scholar] [CrossRef] [PubMed]
- Villegas, R.; Gao, Y.-T.; Dai, Q.; Yang, G.; Cai, H.; Li, H.; Zheng, W.; Shu, X.O. Dietary calcium and magnesium intakes and the risk of type 2 diabetes: The Shanghai Women’s Health Study. Am. J. Clin. Nutr. 2009, 89, 1059–1067. [Google Scholar] [CrossRef] [PubMed]
- DiNicolantonio, J.J.; Liu, J.; O’Keefe, J.H. Magnesium for the prevention and treatment of cardiovascular disease. Open Heart 2018, 5, e000775. [Google Scholar] [CrossRef]
- Vormann, J.; Kolisek, M. Chapter 30: Magnesium. In Biochemical, Physiological, and Molecular Aspects of Human Nutrition, 4th ed.; Stipanuk, M.H., Caudill, M.A., Eds.; Elsevier: St. Luis, MO, USA, 2018. [Google Scholar]
- Tashiro, M.; Inoue, H.; Konishi, M. Magnesium homeostasis in cardiac myocytes of Mg-deficient rats. PLoS ONE 2013, 8, e73171. [Google Scholar] [CrossRef]
- Romani, A. Regulation of magnesium homeostasis and transport in mammalian cells. Arch. Biochem. Biophys. 2007, 458, 90–102. [Google Scholar] [CrossRef]
- Shi, J.; Krishnamoorthy, G.; Yang, Y.; Hu, L.; Chaturvedi, N.; Harilal, D.; Qin, J.; Cui, J. Mechanism of magnesium activation of calcium-activated potassium channels. Nature 2002, 418, 876–880. [Google Scholar] [CrossRef]
- Agus, Z.S.; Kelepouris, E.; Dukes, I.; Morad, M. Cytosolic magnesium modulates calcium channel activity in mammalian ventricular cells. Am. J. Physiol. 1989, 256, C452–C455. [Google Scholar] [CrossRef] [PubMed]
- Iotti, S.; Malucelli, E. Free magnesium concentration in the human brain. In Magnesium in the Central Nervous System; Vink, R., Nechifor, M., Eds.; University of Adelaide Press: Adelaide, Australia, 2011. [Google Scholar]
- de Baaij, J.H.; Hoenderop, J.G.; Bindels, R.J. Magnesium in man: Implications for health and disease. Physiol. Rev. 2015, 95. [Google Scholar] [CrossRef]
- Mastrototaro, L.; Tietjen, U.; Sponder, G.; Vormann, J.; Aschenbach, J.R.; Kolisek, M. Insulin Modulates the Na+/Mg2+ Exchanger SLC41A1 and Influences Mg2+ Efflux from Intracellular Stores in Transgenic HEK293 Cells. J. Nutr. 2015, 145, 2440–2447. [Google Scholar] [CrossRef] [PubMed]
- Kolisek, M.; Montezano, A.C.; Sponder, G.; Anagnostopoulou, A.; Vormann, J.; Touyz, R.M.; Aschenbach, J.R. PARK7/DJ-1 dysregulation by oxidative stress leads to magnesium deficiency: Implications in degenerative and chronic diseases. Clin. Sci. 2015, 129, 1143–1150. [Google Scholar] [CrossRef]
- Kubota, T.; Shindo, Y.; Tokuno, K.; Komatsu, H.; Ogawa, H.; Kudo, S.; Kitamura, Y.; Suzuki, K.; Oka, K. Mitochondria are intracellular magnesium stores: Investigation by simultaneous fluorescent imagings in PC12 cells. Biochim. Biophys. Acta 2005, 1744, 19–28. [Google Scholar] [CrossRef]
- Yamanaka, R.; Tabata, S.; Shindo, Y.; Hotta, K.; Suzuki, K.; Soga, T.; Oka, K. Mitochondrial Mg2+ homeostasis decides cellular energy metabolism and vulnerability to stress. Sci. Rep. 2016, 6, 30027. [Google Scholar] [CrossRef]
- Kolisek, M.; Sponder, G.; Pilchova, I.; Cibulka, M.; Tatarkova, Z.; Werner, T.; Racay, P. Magnesium Extravaganza: A Critical Compendium of Current Research into Cellular Mg2+ Transporters Other than TRPM6/7. Rev. Physiol. Biochem. Pharmacol. 2019, 176, 65–105. [Google Scholar]
- Kolisek, M.; Launay, P.; Beck, A.; Sponder, G.; Serafini, N.; Brenkus, M.; Froschauer, E.M.; Martens, H.; Fleig, A.; Schweigel, M. SLC41A1 is a novel mammalian Mg2+ carrier. J. Biol. Chem. 2008, 283, 16235–16247. [Google Scholar] [CrossRef]
- Kolisek, M.; Nestler, A.; Vormann, J.; Schweigel-Röntgen, M. Human gene SLC41A1 encodes for the Na+/Mg2+ exchanger. Am. J. Physiol. Cell Physiol. 2012, 302, C318–C326. [Google Scholar] [CrossRef]
- Arjona, F.J.; Latta, F.; Mohammed, S.G.; Thomassen, M.; van Wijk, E.; Bindels, R.J.M.; Hoenderop, J.G.J.; de Baaij, J.H.F. SLC41A1 is essential for magnesium homeostasis in vivo. Pflug. Arch. Eur. J. Physiol. 2019, 471, 845–860. [Google Scholar] [CrossRef] [PubMed]
- Mandt, T.; Song, Y.; Scharenberg, A.M.; Sahni, J. SLC41A1 Mg2+ transport is regulated via Mg2+-dependent endosomal recycling through its N-terminal cytoplasmic domain. Biochem. J. 2011, 439, 129–139. [Google Scholar] [CrossRef] [PubMed]
- Kolisek, M.; Sponder, G.; Mastrototaro, L.; Smorodchenko, A.; Launay, P.; Vormann, J.; Schweigel-Röntgen, M. Substitution p.A350V in Na+/Mg2+ exchanger SLC41A1, potentially associated with Parkinson’s disease, is a gain-of-function mutation. PLoS ONE 2013, 8, e71096. [Google Scholar] [CrossRef]
- Sponder, G.; Abdulhanan, N.; Fröhlich, N.; Mastrototaro, L.; Aschenbach, J.R.; Röntgen, M.; Pilchova, I.; Cibulka, M.; Racay, P.; Kolisek, M. Overexpression of Na+/Mg2+exchanger SLC41A1 attenuates pro-survival signaling. Oncotarget 2017, 9, 5084–5104. [Google Scholar] [CrossRef]
- Taegtmeyer, H.; Lam, T.; Davogustto, G. Cardiac Metabolism in Perspective. Compr. Physiol. 2016, 6, 1675–1699. [Google Scholar]
- Rosique-Esteban, N.; Guasch-Ferré, M.; Hernández-Alonso, P.; Salas-Salvadó, J. Dietary Magnesium and Cardiovascular Disease: A Review with Emphasis in Epidemiological Studies. Nutrients 2018, 10, 168. [Google Scholar] [CrossRef]
- Grynberg, A.; Demayson, L. Fatty Acid Oxidation in the Heart. J. Cardiovasc. Pharmacol. 1996, 28, 11–17. [Google Scholar]
- Garfinkel, L.; Garfinkel, D. Magnesium regulation of the glycolytic pathway and the enzymes involved. Magnesium 1985, 4, 60–72. [Google Scholar]
- Pilchova, I.; Klacanova, K.; Tatarkova, Z.; Kaplan, P.; Racay, P. The Involvement of Mg2+ in Regulation of Cellular and Mitochondrial Functions. Oxid. Med. Cell. Longev. 2017, 2017, 6797460. [Google Scholar] [CrossRef]
- Willson, V.J.; Tipton, K.F. The activation of Ox-brain NAD+-dependent isocitrate dehydrogenase by magnesium ions. Eur. J. Biochem. 1981, 113, 477–483. [Google Scholar] [CrossRef]
- Panov, A.; Scarpa, A. Independent modulation of the activity of alpha-ketoglutarate dehydrogenase complex by Ca2+ and Mg2+. Biochemistry 1996, 35, 427–432. [Google Scholar] [CrossRef] [PubMed]
- Thomas, A.P.; Diggle, T.A.; Denton, R.M. Sensitivity of pyruvate dehydrogenase phosphate phosphatase to magnesium ions. Similar effects of spermine and insulin. Biochem. J. 1986, 238, 83–91. [Google Scholar] [CrossRef]
- Syroeshkin, A.V.; Galkin, M.A.; Sedlov, A.V.; Vinogradov, A.D. Kinetic mechanism of F0×F1 mitochondrial ATPase: Mg2+ requirement for Mg×ATP hydrolysis. Biochemistry 1999, 64, 1128–1137. [Google Scholar]
- Galkin, M.A.; Syroeshkin, A.V. Kinetic mechanism of ATP synthesis catalized by mitochondrial Fo×F1-ATPase. Biochemistry 1999, 64, 1176–1185. [Google Scholar]
- Dudev, T.; Grauffel, C.; Lim, C. How Native and Alien Metal Cations Bind ATP: Implications for Lithium as a Therapeutic Agent. Sci. Rep. 2017, 7, 42377. [Google Scholar] [CrossRef]
- Kolisek, M.; Zsurka, G.; Samaj, J.; Weghuber, J.; Schweyen, R.J.; Schweigel, M. Mrs2p is an essential component of the major electrophoretic Mg2+ influx system in mitochondria. EMBO J. 2003, 22, 1235–1244. [Google Scholar] [CrossRef]
- Merolle, L.; Sponder, G.; Sargenti, A.; Mastrototaro, L.; Cappadone, C.; Farruggia, G.; Procopio, A.; Malucelli, E.; Parisse, P.; Gianoncelli, A.; et al. Overexpression of the mitochondrial Mg channel MRS2 increases total cellular Mg concentration and influences sensitivity to apoptosis. Metallomics 2018, 10, 917–928. [Google Scholar] [CrossRef]
- Singh, K.K.; Desouki, M.M.; Franklin, R.B.; Costello, L.C. Mitochondrial aconitase and citrate metabolism in malignant and nonmalignant human prostate tissues. Mol. Cancer 2006, 5, 14. [Google Scholar] [CrossRef]
- Rutter, G.A.; Denton, R.M. Rapid purification of pig heart NAD+-isocitrate dehydrogenase. Studies on the regulation of activity by Ca2+, adenine nucleotides, Mg2+ and other metal ions. Biochem. J. 1989, 263, 445–452. [Google Scholar] [CrossRef]
- Berg, J.M.; Tymoczko, J.L.; Stryer, L.; Auth, W. (Eds.) Section 17.2. Entry to the Citric Acid Cycle and Metabolism Through It Are Controlled. In Biochemistry, 5th ed.; H Freeman: New York, NY, USA, 2002. [Google Scholar]
- Tretter, L.; Adam-Vizi, V. Alpha-ketoglutarate dehydrogenase: A target and generator of oxidative stress. Philos. Trans. R. Soc. Lond. B Biol. Sci. 2005, 360, 2335–2345. [Google Scholar] [CrossRef]
- Cibulka, M.; Brodnanova, M.; Grendar, M.; Grofik, M.; Kurca, E.; Pilchova, I.; Osina, O.; Tatarkova, Z.; Dobrota, D.; Kolisek, M. SNPs rs11240569, rs708727, and rs823156 in SLC41A1 Do Not Discriminate Between Slovak Patients with Idiopathic Parkinson’s Disease and Healthy Controls: Statistics and Machine-Learning Evidence. Int. J. Mol. Sci. 2019, 20, 4688. [Google Scholar] [CrossRef]
- Siasos, G.; Tsigkou, V.; Kosmopoulos, M.; Theodosiadis, D.; Simantiris, S.; Tagkou, N.M.; Tsimpiktsioglou, A.; Stampouloglou, P.K.; Oikonomou, E.; Mourouzis, K.; et al. Mitochondria and cardiovascular diseases—From pathophysiology to treatment. Ann. Transl. Med. 2018, 6, 256. [Google Scholar] [CrossRef]
- Liu, M.; Jeong, E.-M.; Liu, H.; Xie, A.; So, E.Y.; Shi, G.; Jeong, G.E.; Zhou, A.; Dudley, S.C., Jr. Magnesium supplementation improves diabetic mitochondrial and cardiac diastolic function. JCI Insight 2019, 4, e123182. [Google Scholar] [CrossRef]
- Lin, J.; Pan, L.-P.; Chan, S.I. The subunit location of magnesium in cytochrome c oxidase. J. Biol. Chem. 1993, 268, 22210–22214. [Google Scholar]
- Chakyrov, S.; Grancharova, E.; Minkov, I. Effect of magnesium ions on the inhibition of the mitochondrial ATPase (ATP-synthetase) complex by azide. Biokhimiia 1987, 52, 2029–2032. [Google Scholar]
- Martínez-Reyes, I.; Chandel, N.S. Mitochondrial TCA cycle metabolites control physiology and disease. Nat. Commun. 2020, 11, 102. [Google Scholar] [CrossRef]
- Liu, Y.X.; Guo, Y.M.; Wang, Z. Effect of magnesium on reactive oxygen species production in the thigh muscles of broiler chickens. Br. Poult. Sci. 2007, 48, 84–89. [Google Scholar] [CrossRef]
- Jung, D.W.; Panzeter, E.; Baysal, K.; Brierley, G.P. On the relationship between matrix free Mg2+ concentration and total Mg2+ in heart mitochondria. Biochim. Biophys. Acta 1997, 1320, 310–320. [Google Scholar] [CrossRef]
- Garcia, G.C.; Bartol, T.M.; Phan, S.; Bushong, E.A.; Perkins, G.; Sejnowski, T.J.; Ellisman, M.H.; Skupin, A. Mitochondrial morphology provides a mechanism for energy buffering at synapses. Sci. Rep. 2019, 9, 18306. [Google Scholar] [CrossRef]
- Nulton-Persson, A.C.; Szweda, L.I. Modulation of mitochondrial function by hydrogen peroxide. J. Biol. Chem. 2001, 276, 23357–23361. [Google Scholar] [CrossRef]
- Powell, C.S.; Jackson, R.M. Mitochondrial complex I, aconitase, and succinate dehydrogenase during hypoxia-reoxygenation: Modulation of enzyme activities by MnSOD. Am. J. Physiol. Lung Cell. Mol. Physiol. 2003, 285, 189. [Google Scholar] [CrossRef]
- Cocco, T.; Sgobbo, P.; Clemente, M.; Lopriore, B.; Grattagliano, I.; Di Paola, M.; Villani, G. Tissue-specific changes of mitochondrial functions in aged rats: Effect of a long-term dietary treatment with N-acetylcysteine. Free Radic. Biol. Med. 2005, 38, 796–805. [Google Scholar] [CrossRef]
- Choksi, K.B.; Papaconstantinou, J. Age-related alterations in oxidatively damaged proteins of mouse heart mitochondrial electron transport chain complexes. Free Radic. Biol. Med. 2008, 44, 1795–1805. [Google Scholar] [CrossRef][Green Version]










| gnt. | Diet | Comparison | ACON | ICDH | KGDH | CI | CII | CIII | CIV | CV |
|---|---|---|---|---|---|---|---|---|---|---|
| bal. | (LMgD/NMgD) | ↓ | ↓ | ↓ | ↑ | – | – | ↑ | ↑ | |
| bal. | (A1−/−/A1+/+) | ↑ | ξ↑ | – | ↑ | ↓ | ↑ | ↑ | ↑ | |
| A1 genotype × Mg diet | NS | NS | ⦿ | NS | NS | NS | *** | * | ||
| A1−/− | (LMgD/NMgD) | ⦿↓ | ↓ | ↓ | ↑ | – | – | ↑ | ↑ | |
| A1+/+ | (LMgD/NMgD) | – | ↓ | – | ↑ | – | – | ⦿↑ | ↑ | |
| LMgD | (A1−/−/A1+/+) | – | – | – | – | ⦿↓ | ↑ | ↑ | ↑ | |
| NMgD | (A1−/−/A1+/+) | ↑ | – | – | – | ↓ | ↑ | ↓ | – | |
Publisher’s Note: MDPI stays neutral with regard to jurisdictional claims in published maps and institutional affiliations. |
© 2020 by the authors. Licensee MDPI, Basel, Switzerland. This article is an open access article distributed under the terms and conditions of the Creative Commons Attribution (CC BY) license (http://creativecommons.org/licenses/by/4.0/).
Share and Cite
Tatarkova, Z.; de Baaij, J.H.F.; Grendar, M.; Aschenbach, J.R.; Racay, P.; Bos, C.; Sponder, G.; Hoenderop, J.G.J.; Röntgen, M.; Turcanova Koprusakova, M.; et al. Dietary Mg2+ Intake and the Na+/Mg2+ Exchanger SLC41A1 Influence Components of Mitochondrial Energetics in Murine Cardiomyocytes. Int. J. Mol. Sci. 2020, 21, 8221. https://doi.org/10.3390/ijms21218221
Tatarkova Z, de Baaij JHF, Grendar M, Aschenbach JR, Racay P, Bos C, Sponder G, Hoenderop JGJ, Röntgen M, Turcanova Koprusakova M, et al. Dietary Mg2+ Intake and the Na+/Mg2+ Exchanger SLC41A1 Influence Components of Mitochondrial Energetics in Murine Cardiomyocytes. International Journal of Molecular Sciences. 2020; 21(21):8221. https://doi.org/10.3390/ijms21218221
Chicago/Turabian StyleTatarkova, Zuzana, Jeroen H. F. de Baaij, Marian Grendar, Jörg R. Aschenbach, Peter Racay, Caro Bos, Gerhard Sponder, Joost G. J. Hoenderop, Monika Röntgen, Monika Turcanova Koprusakova, and et al. 2020. "Dietary Mg2+ Intake and the Na+/Mg2+ Exchanger SLC41A1 Influence Components of Mitochondrial Energetics in Murine Cardiomyocytes" International Journal of Molecular Sciences 21, no. 21: 8221. https://doi.org/10.3390/ijms21218221
APA StyleTatarkova, Z., de Baaij, J. H. F., Grendar, M., Aschenbach, J. R., Racay, P., Bos, C., Sponder, G., Hoenderop, J. G. J., Röntgen, M., Turcanova Koprusakova, M., & Kolisek, M. (2020). Dietary Mg2+ Intake and the Na+/Mg2+ Exchanger SLC41A1 Influence Components of Mitochondrial Energetics in Murine Cardiomyocytes. International Journal of Molecular Sciences, 21(21), 8221. https://doi.org/10.3390/ijms21218221

