Abstract
The genus Lycoris (about 20 species) includes important medicinal and ornamental plants. Due to the similar morphological features and insufficient genomic resources, germplasm identification and molecular phylogeny analysis are very limited. Here, we sequenced the complete chloroplast genomes of L. chinensis, L. anhuiensis, and L. aurea; they have very similar morphological traits that make it difficult to identify. The full length of their cp genomes was nearly 158k bp with the same guanine-cytosine content of 37.8%. A total of 137 genes were annotated, including 87 protein-coding genes, 42 tRNAs, and eight rRNAs. A comparative analysis revealed the conservation in sequence size, GC content, and gene content. Some variations were observed in repeat structures, gene expansion on the IR-SC (Inverted Repeat-Single-Copy) boundary regions. Together with the cpSSR (chloroplast simple sequence repeats), these genetic variations are useful to develop molecular markers for germplasm identification. Phylogenetic analysis showed that seven Lycoris species were clustered into a monophyletic group, and closed to Narcissus in Amaryllidaceae. L. chinensis, L. anhuiensis, and L. longituba were clustered together, suggesting that they were very likely to be derived from one species, and had the same ancestor with L. squamigera. Our results provided information on the study of genetic diversity, origins or relatedness of native species, and the identification of cultivars.
1. Introduction
The monocot genus Lycoris (Amaryllidaceae) is a herbaceous perennial species and commonly used as an important medicinal and ornamental plant. It is rich in Amaryllidaceae-type alkaloids that have been used in immunostimulatory, anti-malarial, tumor-suppressing, and viral activity studies [1,2]. It also has been used as a garden flower due to the colorful and special flowers; another feature is the absence of leaves while flowering, so it is also called the lily [3]. Lycoris is native to eastern Asia and confined to temperate China, Japan, and Korea [4].
Lycoris consists of about 20 species, of which 15 species and one variety are distributed in China according to the record of “Flora of China”, which represents the most comprehensive catalog. However, several new species continue to be reported, such as L. hunanensis [5], L. hubeiensis [6], and some hybrids, suggesting that more species are present in the genus than we now recognize. Highly frequent natural hybridization caused the wide morphological variation in the genus, so there was a general assumption that Lycoris is of hybrid origin [7], and L. radiata was considered to be a possible ancestor of the genus Lycori, according to the phylogenetic analysis using chloroplast genome regions, but it is not consistent with the karyotype evolution study [8]. The complex genetic background makes it difficult to identify some species with high similarity on morphology and clarify the phylogenetic analysis. In the past years, to understand the genetic diversity, possible origin species, maternal donors, and an evolutionary relationship of Lycoris, morphological characters [9], plastid DNA sequences (such as matk, rbcL, atpB-rbcL IGS, trnL-F, trnS-trnfM, and trnC-ycf6) [8,10,11] and molecular markers, such as random amplification of polymorphic DNA (RAPD) markers [12], inter-simple sequence repeat (ISSR) markers [13], and Start codon targeted polymorphism (SCoT) markers [14] were reported. However, compared to the results of each method, some results were conflicting, suggesting that these selected loci and fragments were not sufficient for the phylogenetic information to elucidate the evolutionary relationships among Lycoris species.
In the past decade, the technology of Next Generation Sequencing (NGS) and the application of DNA barcodes have helped to improve our understanding of the species and relationships in many groups of plants [15,16]. In eukaryotes, the chloroplast is the core organelle for photosynthesis and carbon fixation [17]. Their genome sequences are becoming a very useful tool in identifying closely related plant species, and have been widely used for plant evolution and phylogeny [18,19,20]. The complete chloroplast genome information has enhanced our understanding of plant biology, diversity, and evolutionary relationships. Moreover, it could reveal considerable variation within species in terms of both sequence and structural variation. It has been widely used in many genera and family analysis, such as Prunus [21], Aristolochia [22], and Araceae [23]. Therefore, a more species’ complete chloroplast genome will offer especially valuable information for species identification and conservation of valuable traits, then facilitate the breeding of closely related species and phylogenetic analysis [24]. To date, five Lycoris chloroplast genomes have been reported, with published whole sequences and simple clustering but there have been no reports on the structure and comparative analysis of the cp genomes, which need to be paid more attention to analyze their difference by interspecific comparison.
Here, we sequenced three complete chloroplast genomes of Lycoris species, L. chinensis, L. anhuiensis, and L. aurea, which have highly similar flowers and are difficult to identify by leaf and bulb morphology. To explore their genetic divergence and phylogenetic relationships, we compared the different characteristics of the cp genomes of these three species and other four reported Lycoris species, they were L. squamigera [25], L. radiata [26], L. longitube [27], and L. sprengeri [28]. An interspecific comparative analyses of the cp genomes provide valuable molecular markers for germplasm identification, and the phylogenetic analysis may significantly improve the low resolution in evolutionary relationships and contribute to the conservation, domestication, and utilization of Lycoris plants.
2. Results and Discussion
2.1. General Features of the Lycoris Chloroplast Genomes
Using next-generation sequencing technology, the total DNA of L. chinensis, L. anhuiensis, and L. aurea were sequenced. As a result, a total of 14 million, 8 million, and 7 million paired-end reads of 150 bp were used for chloroplast genome assembly, and the average organelle coverage reached 14,255×, 8624×, and 7497× sequencing depth, respectively. The organelle assembly NOVOPlasty Version 3.3 [29] was conducted to de novo assemble the cp genomes where the sizes of L. chinensis, L. anhuiensis, and L. aurea were 158,484 bp, 158,490 bp, and 158,367 bp, respectively (Table 1). The other four reported species are also presented in Table 1. The length of L. radiata and L. aurea was close, L. sprengeri was the longest, and the other four species were ranging from 158,480 to 158,490 bp. Their GC contents were 37.8%. Compared with Allium (Amaryllidaceae) [30], most of their genome size was between 152k bp and 155k bp, the GC content varied from 36.7% to 37.0%. Here, longer cp genome sequences and higher GC content were observed in Lycoris species. They exhibited the typical quadripartite structure, consisting of a large single-copy region (LSC) (86,458–86,612 bp), a small single-copy region (SSC) (16,620–18,540 bp), and a pair of inverted repeats (IRs) (26,731–27,568 bp) (Table 1 and Figure 1).
Table 1.
Summary of seven chloroplast genomes of Lycoris species.
Figure 1.
The plastome features and morphological characteristics of L. chinensis, L. anhuiensis, and L. aurea. (A,D) are the plastome features and morphological characteristics of L. chinensis. (B,E) are L. anhuiensis. (C,F) are L. aurea. The schematic map contain four circles from the center going outward, the first circle shows the forward and reverse repeats connected with red and green arcs, respectively. The next circle shows the tandem repeats marked with short bars. The third circle shows the microsatellite sequences. The fourth circle shows the gene structure on the plastome. The genes were colored based on their functional categories. (A–C) represented the L. chinensis, L. anhuiensis, and L. aurea, respectively.
In seven Lycoris species, a total of 137 genes were identified, including 87 protein-coding genes (PCGs), 42 tRNA genes, and eight rRNA genes, of these, 20 genes were duplicated in the different regions (Table 1 and Table 2), suggesting the high conservation of cp genes in Lycoris. In the three species we provided in this study, the gene distribution in L. aurea was slightly different from L. chinensis and L. anhuiensis. In L. aurea, the LSC region contained 63 protein-coding genes (rps12 duplicated) and 21 tRNA genes, of these genes, rps19 distributed in the LSC and IR regions. In L. chinensis and L. anhuiensis, 62 PCGs (rps12 duplicated) and 22 tRNA genes were distributed in the LSC region, which had no rps19 but one more trnN-GUU. In three species, the gene distribution in the SSC region was consistent, which contained 13 PCGs (ycf1 duplicated) and one tRNA, two ycf1 and ndhF spanned the SSC and IR regions (Figure 1). The comparative analysis showed the various number of PCGs and tRNAs in different species, but the rRNA number was conserved, where there were 81–87 PCGs in Allium [30], 79 in Amomum [31], 80 in Croomia and Stemona [20], but they all had eight rRNA genes (duplicated four rRNAs in the IR regions).
Table 2.
Gene composition of seven Lycoris chloroplast genomes.
In most plant chloroplast genomes, Group II (G2) introns comprise the majority of noncoding DNA and could provide rich sequence characters for infrageneric and intrafamilial comparative analysis and phylogeny construction [32,33]. The sole group I intron, trnL intron, was not detected in Lycoris species, and the trnL gene itself was lost in their plastomes. In Lycoris, there were 17 same-splitting genes in L. chinensis, L. anhuiensis, L. aurea, and L. longituba, 18 in L. radiata and L. sprengeri, including one more ndhF, where the 5′ end exon was located in the IR region and the 3′ end exon and intron were located in the SSR regions. Compared with other Lycoris species, there were only 14 splitting genes in L. squamigera; however, it contained four specific genes (trnS-CGA, rpoC2, trnC-ACA, and trnE-UUC). In all seven cp genomes, there were nine identical splitting genes, which were atpF, rpoC1, ycf3, trnL-UAA, clpP, rpl2, ndhB, trnA-UGC, and ndhA; two of them (ycf3 and clpP) contained two introns and three exons, and others consisted of one intron and two exons (Table S1). In seven Lycoris species, the rps12 intron was lost, which was the same as the three members of Anemone [34]. In L. squamigera, the rpl16 intron was absent, that also occurred in some members of Geraniaceae, Goodeniaceae, and Plumbaginaceae [35,36]. In Lycoris, the rpoC1 intron was located in the LSC region, but it was missing in members of the Poaceae, Aizoaceae, Fabaceae, and in [37,38,39]. The differences of introns between species and conservation in the genus provided information on evolutionary relationships in infrageneric and intergeneric studies.
2.2. cpSSRs Analyses and Repeat Structures
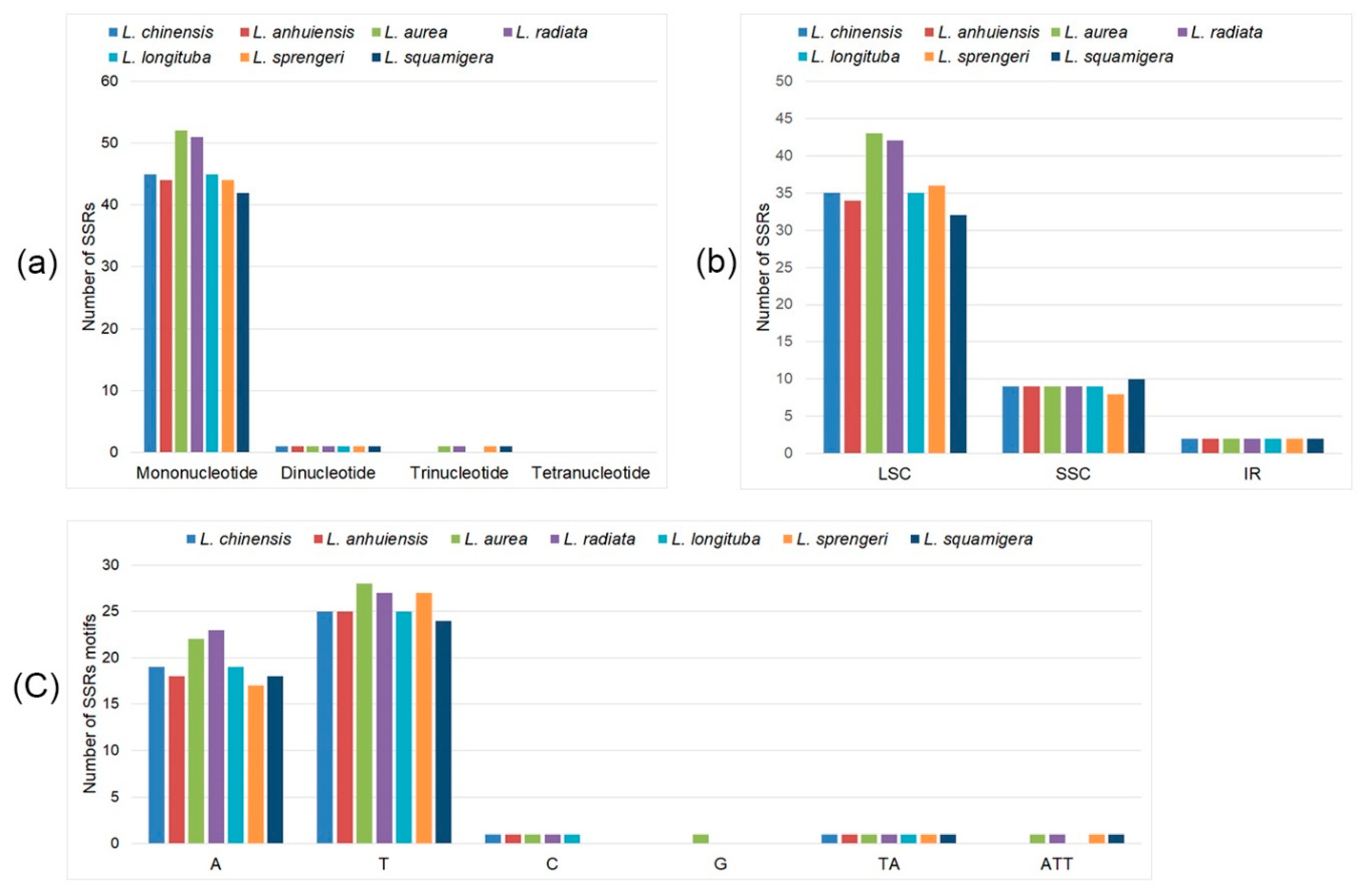
Chloroplast simple sequence repeats (cpSSRs) are typically mononucleotide tandem repeat DNA sequences that are widely used as an important molecular marker for ecological and evolutionary processes in plants [40,41]. When there are no effective genomic resources, the simplicity of PCR amplification and the polymorphism of cpSSRs make it easy to use as a marker for characterizing genetic variation. They commonly show intraspecific variation in repeat numbers when located in the noncoding regions of the cp genome [42,43]. Here, we analyzed the number and type of cpSSRs in seven Lycoris species. There were 46, 45, 54, 53, 46, 46, and 44 SSRs in the L. chinensis, L. anhuiensis, L. aurea, L. radiata, L. longaituba, L. sprengeri, and L. squamigera cp genomes, respectively (Figure 2a and Table S2). The SSRs were largely distributed in LSC regions (72.7–79.6%), 9–10 SSRs were in the SSC region, and two SSRs in IR regions in seven species that were analyzed in the present study (Figure 2b). For the different unit size, the mononucleotide was the most frequent, accounting more than 95% of all types in the seven species, in which base T and A were the primary elements, one C motif in five species, and one G only in L. aurea (Figure 2c). There was one dinucleotide (TA) and no tetranucleotide repetition in seven species, showing the conservation among species. However, the trinucleotide (ATT) was detected in only four species, which were L. aurea, L. radiata, L. sprengeri, and L. squamigera, suggesting some variation in different species. Our results showed the intraspecific variation in repeat number, repeats distribution, and repeat motifs, the highly similar morphological characteristics of L. chinensis and L. anhuiensis presented minor SSRs changes. Compared with other published species, the cpSSR loci number ranged from a few to several hundred, such as nice in Cryptomeria japonica [44], 237 in Magnolia kwangsiensis [45]. The cpSSRs number of Lycoris was between 40 and 60, and the cpSSRs were primarily composed of short polyadenine or polythymine repeats but rarely tandem guanine or cytosine repeats, which was consistent with the previous hypothesis [45]. It is the first report about the SSRs of Lycoris complete cp genome, in the absence of genome resources of Lycoris, the cpSSRs were available markers for characterizing genetic variation and could offer unique insights into the evolutionary processes of Lycoris species and their relatives.
Figure 2.
Analyses of simple sequence repeats of plastome in seven Lycoris species. (a) Numbers of different repeat types; (b) Frequency of repeat types in LSC, SSC, and IR regions. (c) Numbers of identified SSRs motifs.
2.3. Codon Usage
Codon usage patterns and nucleotide composition of the cp genome could provide a theoretical basis for genetic modification of the chloroplast genome. We deduced the amino acid frequency, the number of codon usage, and the relative synonymous codon usage (RSCU) in the seven Lycoris species (Table S3). Seven species presented the 64 RSCU, and the number of codons ranged from 33,640 to 49,982 in seven species, the least in L. squamigera. L. chinensis and L. anhuiensis had the same patterns of codon usage of numbers and types. Leucine and cysteine were the most and least prevalent amino acids, ATT (encoding isoleucine), and TGA (encoding translational stop) were the most and least used codons in Lycoris, respectively. Except for methionine and tryptophan, almost all amino acids had more than one synonymous codon; of these, leucine, arginine and serine had the most (six codon usages). When the RSCU value was >1.00, we defined that it was preferred, and vice versa. There were 32 preferred and 30 non-preferred (RSCU < 1.00) codon usages were identified in five species, which were L. chinensis, L. anhuiensis, L. aurea, L. radiata, and L. longituba, 31 preferred and 30 non-preferred in L. sprengeri, 30 preferred and 31 non-preferred in L. squamigera (Table S3). All seven species had the three same stop codons (TAA, TAG, and TGA). Most of the preferred codon usages end with base A or T, and non-preferred codon usages end with base C or G.
2.4. Inverted Repeats Contraction, Expansion, and Interspecific Comparison
The circular structure of chloroplast genome makes four boundaries among IR, LSC and SSC, which are IRB- LSC, IRB-SSC, IRA-SSC, and IRA-LSC. With the evolution of the genome, the shrinkage and expansion of the IR boundary causes the different sizes of the cp genomes and certain genes to enter the IR region or single-copy region [46]. The IR regions of the seven Lycoris species are shown in Figure 3, where the gene number and order were conserved, but minor differences were still exhibited at the boundaries. The IR-LSC borders of L. radiate and L. aurea were within the rps19, where some of the sequences were in the LSC region, showing a partial duplication, but the other five species exhibited IR expansion, leading to the entire rps19 duplication in the IR regions, which is consistent with some species, such as Vigna radiata [47] and Phaseolus vulgaris [48]. The IR-SSC boundaries of all species are on the ycf1, which is common in angiosperms whose complete copy of ycf1 spanned the SSC-IR regions [49], 925 bp ycf1 duplicated at the IR regions in four species, which were L. chinensis, L. anhuiensis, L. longituba, and L. squamigera. The trnH gene is duplicated at the IR regions in all seven species, but there is variation in trnR and trnN genes, which were not detected at the IRa region in L. aurea. By comparing the IRb/SSC and SSC/IRa regions of ndhF, and ycf1, high similarity was revealed in the L. chinensis, L. anhuiensis, L. longituba and L. squamigera, L. aurea showed the most obvious difference at IR-SSC boundary (Figure 3).
Figure 3.
Comparison of boundary distance of large single-copy regions (LSC), small single-copy regions (SSC), and an inverted repeat (IR) among seven Lycoris chloroplast genomes.
To reveal the conservation and divergence in Lycoris species, interspecific comparisons were performed using online software mVISTA [50,51], which was commonly used to compare the cp genome sequences from two or more species and visualize the alignment results [31,52]. Here, we compared seven species using annotated L. squamigera plastome as a reference, including three species we offered in this study and four species previously reported (Figure 4). The alignment revealed high sequence conservation of the seven Lycoris species, especially in the IR regions, but non-coding regions showed more divergence than the coding regions. The exons of ndhF and ycf1 were presented the most obvious difference with others, which was the same as the IR boundary analysis.
Figure 4.
mVISTA identity plot based on the complete cp sequence alignment by Shuffle-LAGAN for seven Lycoris species. L. squamigera was selected as a reference. The pink regions are Conserved Non-Coding Sequences (CNS), the dark blue regions are exons, and the light-blue regions are UTRs. Arrows signifying genes are drawn above the graphs, pointing in the direction of the gene. 70% cut-off identity was used for the plots, and the Y-scale represents the percent identity from 50% to 100%.
2.5. Phylogenetic Analysis
To explore the phylogenetic positions and evolutionary relationships of Lycoris species, we selected 16 species from five families for the construction of maximum likelihood (ML) tree (Figure 5). The complete cp genome sequences and 72 common protein-coding genes were used for analysis, respectively. On the basis of the topologic structure, each of the five selected families (Amaryllidaceae, Asparagaceae, Orchidaceae, Liliaceae, Iridaceae) was clustered into a monophyletic branch respectively. Seven Lycoris species formed a monophyletic clade in both trees. They were close to Narcissus in the Amaryllidaceae. Our previous analysis using four complete cp sequences presented the close relationship between L. longituba and L. squamigera [27], here, because of the addition of three species, it showed a closer relationship among the L. longituba, L. chinensis, and L. anhuiensis, but it was still on a subclade with L. squamigera. The complete cp genome analysis supported a closer relationship between L. chinensis and L. longituba (Figure 5a), but the tree constructed by the PCGs showed a closer relationship between L. chinensis and L. anhuiensis (Figure 5b), which was same with the morphological feature classification. The previous study considered that L. anhuiensis might be another variety of L. longituba [27]. In the present study, two phylogenetic trees showed a tiny difference in their relationship, suggesting that L. anhuiensis, L. longituba and L. chinensis were very likely to be derived from one species, and had the same ancestor with L. squamigera. The flower of L. aurea was similar to L. chinensis, but it was clustered with L. radiata, which shared a similar growth habit. L. sprengeri was separated into an independent branch, which was the same as our previous result [27]. Here, the three species with the most similar morphological characteristics were not clustered together, suggesting the inconsistent of phylogenetic relationships in morphology and genomics.
Figure 5.
Phylogenetic relationships of the 16 species by maximum likelihood (ML) analyses. (a) The topology was constructed by the complete cp genome sequences. (b) the tree was constructed based on 72 protein-coding genes.
Before the complete cp sequences were published, interspecific relationship and phylogenetic analysis of Lycoris was commonly relied on rDNA internal transcribed spacer (ITS) sequences [53,54] and some specific plastid gene sequences, such as matK, atpB, rbcL [8], trnS-trnfM, and trnC-ycf6 [11]. However, the result of ITS analysis was different from plastid DNA phylogeny, and different plastid fragments also derived differences in results, natural hybridization, and reticulation of Lycoris may be the initial cause. Considering the Lycoris hybrid origin, maternal inheritance characteristics of chloroplast genome could provide more evidence to clarify their intraspecific evolution. In this study, we sequenced three cp genome of Lycoris, and performed the comparative and phylogenetic analyses with four reported sequences, the result revealed the more accurate relationship of these species. Although it was not included all species in the genus, our result provides more cp genome information of Lycoris, and makes sure the closest relationship between L. chinensis, L. anhuiensis and L. longituba.
3. Materials and Methods
3.1. Sample Collection, DNA Extraction, and Sequencing
L. chinensis, L. anhuiensis and L. aurea were planted in Nanjing Botanical Garden, Mem. Sun Yat-sen (E118_83, N32_06), Nanjing, China. Their specimens were stored at the herbarium of Institute of Botany, Jiangsu Province and Chinese Academy of Sciences with the no. of NAS00591936, NAS00585494, and NAS00585496, respectively. Fresh leaves were collected, quick-freezed in liquid nitrogen, and stored at −80 °C for DNA extraction. Genomic DNA was isolated using the Plant Genomic DNA Kit (Huayueyang, Beijing, China) according to the instructions. DNA integrity was examined by electrophoresis in 1% (w/v) agarose gel, the concentration was measured, and quantified accurately using NanoDrop spectrophotometer 2000 (Thermo Scientific; Waltham, MA, USA) and Qubit 2.0 respectively. Finally, high-quality DNA was used for libraries’ construction and sequencing, which was sequenced at Novogene (Tianjin, China) using Nova-PE150 strategy with an insert size of 350 bp for high-throughput sequencing following the manufacturer’s protocol.
3.2. Cp Genome Assembly, Annotation and Structure Analysis
The complete cp genomes were assembled by the organelle assembly NOVOPlasty Version 3.3 [29]. The complete cp genome sequence of L. radiata (accession no. MN158120) was selected as a reference [26]. Assembled sequences were manually corrected and circularized by BLASTn comparison with the cp genome of L. radiata. GC content was analyzed using Geneious software (version R11, http://www.geneious.com). Then, the web server CPGAVAS2 (http://www.herbalgenomics.org/cpgavas2) [55] was used for cp genome annotation and visualization with the default parameters. The relative synonymous codon usage (RSCU) values were calculated using MEGAX [56]. The obtained cp genome of L. chinensis, L. anhuiensis, and L. aurea were deposited in the National Center for Biotechnology Information (NCBI), under the accession numbers of L. chinensis (MT700549), L. anhuiensis (MT700550) and L. aurea (MN158985).
3.3. Interspecific Genome Comparison
Four reported complete cp genomes of Lycoris were downloaded from the NCBI database, which were L. squamigera (MH118290), L. radiata (MN158120), L. sprengeri (MN158986), and L. longituba (MN096601). Chloroplast simple sequence repeat (cpSSR) markers were identified using MISA [43]. The definition of microsatellites (unit size/minimum repeats) was (1/10) (2/6) (3/5) (4/5) (5/5) (6/5) and the maximum length of sequence between two SSRs was set as 100. IRscope (https://irscope.shinyapps.io/irapp/) was used for visualizing the genes’ differences on the boundaries of the junction sites of the seven chloroplast genomes [57]. mVISTA web-interface [50] was performed to align and compare the seven Lycoris cp genome sequences. Shuffle-LAGAN was selected as the alignment program for detecting the rearrangements and inversions in sequences.
3.4. Phylogenetic Analyses
In this study, we obtained three Lycoris cp genome sequences, and 13 complete cp sequences of related species were downloaded from the NCBI database, including four Lycoris species, four species in Amaryllidaceae, and five species in the other four families. Their Genbank accession number are shown in Table S4. Both the complete cp genome sequences and 72 common PCGs were used for tree construction. The 72 common PCGs were rps12, psbA, matK, psbK, psbI, atpA, atpF, atpH, atpI, rpoC2, rpoC1, rpoB, petN, psbM, psbD, psbC, psbZ, rps14, psaB, psaA, ycf3, rps4, ndhJ, ndhK, ndhC, atpE, atpB, rbcL, accD, psaI, ycf4, cemA, petA, psbJ, psbL, psbF, psbE, petL, petG, psaJ, rpl33, rps18, rpl20, clpP, psbB, psbT, psbN, psbH, petB, petD, rpoA, rpl36, rps8, rpl14, rpl16, rps3, rpl22, rpl2, rpl23, ycf2, ndhB, rps7, ndhF, ccsA, psaC, ndhE, ndhG, ndhI, ndhA, ndhH, rps15, ycf1, which were extracted and aligned using MAFFT v7.458 [58,59], and manually verified. Maximum likelihood (ML) phylogenies based on the best-fit model of TVM+F+R2 was conducted using IQ-TREE v. 2.0.3 [60]. The Best-fit model by ModelFinder [61], according to Bayesian information criterion (BIC) and the robustness of the topology, was estimated using 1000 bootstrap replicates.
4. Conclusions
In this study, the complete cp genome sequences of L. chinensis, L. anhuiensis, and L. aurea were reported, and interspecific comparison of complete cp genome sequences was analyzed for the first time in the genus Lycoris. Compared with the published four cp genome of Lycoris species, we found that the genome size, genomic structure, and gene content of the genus Lycoris were comparatively conserved, but the IR-SC boundary regions were distinct in seven cp genomes. In all seven species, trnH gene was duplicated at the IR regions, but the trnR and trnN genes were variations. Phylogenetic analyses clarified the interspecific relationship among the Lycoris species with whole cp genome sequences. Moreover, we identified the cpSSR sites in different species, together with the highly variable regions identified in interspecific comparison, which could be as useful barcoding markers for the species identification and improve the resolution of phylogenetic relationships within Lycoris.
Supplementary Materials
The following are available online at https://www.mdpi.com/1422-0067/21/16/5729/s1, Table S1: Splitting genes with introns and exons in the chloroplast genomes of seven Lycoris species, Table S2: Chloroplast simple sequence repeats (cpSSRs) of seven Lycoris species, Table S3: Relative synonymous codon usage (RSCU) in the Lycoris chloroplast genomes, Table S4: The GenBank accession numbers of complete chloroplast genome sequences used for phylogenetic analysis.
Author Contributions
F.Z. designed the experiment and wrote the manuscript. T.W. contributed to the sampling. N.W. analyzed the data. X.S. and W.Z. performed the experiment. Z.W. proofed the manuscript. All authors have read and agreed to the published version of the manuscript.
Funding
This research was funded by the Natural Science Foundation of Jiangsu Province (Grant No. BK20180310) and Jiangsu Agricultural Science and Technology Innovation Fund (Grand No. CX(19)3033).
Acknowledgments
We thank Feng Peng, Shulan He and Jianliang Wang helped to collect and plant the materials used for the experiments.
Conflicts of Interest
The authors declare no conflict of interest.
Abbreviations
| CP | Chloroplast |
| NGS | Next-generation sequencing |
| LSC | Large single copy |
| SSC | Small single copy |
| IR | Inverted repeat |
| GC | Guanine-cytosine |
| PCGs | Protein-coding genes |
| cpSSRs | Chloroplast simple sequence repeats |
| ISSR | inter-simple sequence repeat |
| RSCU | Relative synonymous codon usage |
| CNS | Conserved non-coding sequences |
| RAPD | Random amplification of polymorphic DNA |
| SCoT | Start codon targeted polymorphism |
| ML | Maximum likelihood |
| BIC | Bayesian information criterion |
References
- Jin, Z. Amaryllidaceae and Sceletium alkaloids. Nat. Prod. Rep. 2003, 20, 606–614. [Google Scholar] [CrossRef] [PubMed]
- Wang, R.; Xu, S.; Wang, N.; Xia, B.; Jiang, Y.; Wang, R. Transcriptome analysis of secondary metabolism pathway, transcription factors, and transporters in response to methyl jasmonate in Lycoris aurea. Front. Plant Sci. 2017, 7, 1971. [Google Scholar] [CrossRef] [PubMed]
- Benqi, Y.; Shoubiao, Z.; Qi, L.; Weihua, Q. Medicinal and ornamental values of genus Lycoris. Chin. Wild Plant Resour. 2006, 2, 29–32. [Google Scholar]
- Tsi, Z.; Meerow, A. Amaryllidaceae. Flora of China; Beijing Science Press & Missouri Botanical Garden Press: Beijing, China, 2000; Volume 24, p. 264. [Google Scholar]
- Quan, M.; Ou, L.; She, C. A new species of Lycoris (Amaryllidaceae) from Hunan, China. Novon 2013, 22, 307–310. [Google Scholar] [CrossRef]
- Meng, W.; Zheng, L.; Shao, J.; Zhou, S.; Liu, K. A new natural allotriploid, Lycoris × hubeiensis hybr. nov. (Amaryllidaceae), identified by morphological, karyological and molecular data. Nord. J. Bot. 2018, 36. [Google Scholar] [CrossRef]
- Shi, S.; Qiu, Y.; Li, E.; Wu, L.; Fu, C. Phylogenetic relationships and possible hybrid origin of Lycoris species (Amaryllidaceae) revealed by ITS sequences. Biochem. Genet. 2006, 44, 198–208. [Google Scholar] [CrossRef]
- Hori, T.; Hayashi, A.; Sasanuma, T.; Kurita, S. Genetic variations in the chloroplast genome and phylogenetic clustering of Lycoris species. Genes. Genet. Syst. 2006, 81, 243–253. [Google Scholar] [CrossRef]
- Tae, K.H.; Ko, S.C. A taxonomic study of the genus Lycoris (Amaryllidaceae) based on morphological characters. Trop. Med. Int. Health 1995, 9, 41–46. [Google Scholar] [CrossRef]
- Yuan, J.; Sun, S.; Peng, F.; Feng, X.; Zheng, Y.; Xia, B. Genetic variations in trnL-F sequence and phylogenetic clustering of Lycoris species. China J. Chin. Mater. Med. 2008, 33, 1523–1527. [Google Scholar]
- Shi, S.; Sun, Y.; Wei, L.; Lei, X.; Cameron, K.M.; Fu, C. Plastid DNA sequence data help to clarify phylogenetic relationships and reticulate evolution in Lycoris (Amaryllidaceae). Bot. J. Linn. Soc. 2014, 176, 115–126. [Google Scholar]
- Yoo, Y.K.; Yuan, T.; Lee, J.S.; Lee, A.K.; Roh, M.S.; Kurita, S.; Suh, J.K. Species relationships of Lycoris endemic to Korea evaluated by RAPD and SNPs of nrDNA-ITS regions. Hortic. Environ. Biote. 2011, 52, 145–151. [Google Scholar] [CrossRef]
- Shi, S.; Qiu, Y.; Wu, L.; Fu, C. Interspecific relationships of Lycoris (Amaryllidaceae) inferred from inter-simple sequence repeat data. Sci. Hortic-amsterdam 2006, 110, 285–291. [Google Scholar] [CrossRef]
- Gao, Y.; Zhu, Y.; Tong, Z.; Xu, Z.; Jiang, X.; Huang, C. Analysis of genetic diversity and relationships among genus Lycoris based on start codon targeted (SCoT) marker. Biochem. Syst. Ecol. 2014, 57, 221–226. [Google Scholar] [CrossRef]
- Kress, W.J.; Wurdack, K.J.; Zimmer, E.A.; Weigt, L.A.; Janzen, D.H. Use of DNA barcodes to identify flowering plants. Proc. Natl. Acad. Sci. USA 2005, 102, 8369–8374. [Google Scholar] [CrossRef]
- Hollingsworth, P.M.; Li, D.; Der Bank, M.V.; Twyford, A.D. Telling plant species apart with DNA: From barcodes to genomes. Philos. Trans. R. Soc. Lond. B Biol. Sci. 2016, 371, 20150338. [Google Scholar] [CrossRef] [PubMed]
- Palmer, J.D. Chloroplast DNA evolution and biosystematic uses of chloroplast DNA variation. Am. Nat. 1987, 130. [Google Scholar] [CrossRef]
- Moore, M.J.; Bell, C.D.; Soltis, P.S.; Soltis, D.E. Using plastid genome-scale data to resolve enigmatic relationships among basal angiosperms. Proc. Natl. Acad. Sci. USA 2007, 104, 19363–19368. [Google Scholar] [CrossRef]
- Shaw, J.; Shafer, H.L.; Leonard, O.R.; Kovach, M.J.; Schorr, M.S.; Morris, A.B. Chloroplast DNA sequence utility for the lowest phylogenetic and phylogeographic inferences in angiosperms: The tortoise and the hare IV. Am. J. Bot. 2014, 101, 1987–2004. [Google Scholar] [CrossRef]
- Lu, Q.; Ye, W.; Lu, R.; Xu, W.; Qiu, Y. Phylogenomic and comparative analyses of complete plastomes of Croomia and Stemona (Stemonaceae). Int. J. Mol. Sci. 2018, 19, 2383. [Google Scholar] [CrossRef]
- Xue, S.; Shi, T.; Luo, W.; Ni, X.; Iqbal, S.; Ni, Z.; Huang, X.; Yao, D.; Shen, Z.; Gao, Z. Comparative analysis of the complete chloroplast genome among Prunus mume, P. armeniaca, and P. salicina. Hortic. Res. Engl. 2019, 6, 89. [Google Scholar] [CrossRef]
- Li, X.; Zuo, Y.; Zhu, X.; Liao, S.; Ma, J. Complete chloroplast genomes and comparative analysis of sequences evolution among seven Aristolochia (Aristolochiaceae) medicinal species. Int. J. Mol. Sci. 2019, 20, 1045. [Google Scholar] [CrossRef] [PubMed]
- Kim, S.; Yang, J.; Park, J.; Yamada, T.; Maki, M.; Kim, S. Comparison of whole plastome sequences between thermogenic skunk cabbage Symplocarpus renifolius and Nonthermogenic S. nipponicus (Orontioideae; Araceae) in East Asia. Int. J. Mol. Sci. 2019, 20, 4678. [Google Scholar] [CrossRef] [PubMed]
- Daniell, H.; Lin, C.; Yu, M.; Chang, W. Chloroplast genomes: Diversity, evolution, and applications in genetic engineering. Genome Biol. 2016, 17, 134. [Google Scholar] [CrossRef]
- Jin, S.W.; Park, J.Y.; Kang, S.-J.; Park, H.-S.; Shim, H.; Lee, T.J.; Kang, J.H.; Sung, S.H.; Yang, T.-J. The complete chloroplast genome sequence of Magic Lily (Lycoris squamigera). Mitochondrial DNA B 2018, 3, 1210–1211. [Google Scholar] [CrossRef]
- Zhang, F.; Shu, X.; Wang, T.; Zhuang, W.; Wang, Z.L. The complete chloroplast genome sequence of Lycoris radiata. Mitochondrial DNA B 2019, 4, 2886–2887. [Google Scholar] [CrossRef]
- Zhang, F.; Tong, H.; Yang, H.; Wang, T.; Zhuang, W.; Shu, X.; Wang, Z.L. Characterisation of the complete chloroplast genome of Lycoris longituba (Amaryllidaceae). Mitochondrial DNA B 2019, 4, 3782–3783. [Google Scholar] [CrossRef]
- Zhang, F.; Zhuang, W.; Shu, X.; Wang, T.; Wang, Z.L. Complete chloroplast genome of Lycoris sprengeri (Amaryllidaceae) and genetic comparison. Mitochondrial DNA B 2019, 4, 3577–3578. [Google Scholar] [CrossRef]
- Dierckxsens, N.; Mardulyn, P.; Smits, G. NOVOPlasty: De novo assembly of organelle genomes from whole genome data. Nucleic Acids Res. 2016, 45, e18. [Google Scholar]
- Xie, D.-F.; Tan, J.-B.; Yu, Y.; Gui, L.-J.; Su, D.-M.; Zhou, S.-D.; He, X.-J. Insights into phylogeny, age and evolution of Allium (Amaryllidaceae) based on the whole plastome sequences. Ann. Bot. Lond. 2020, 125, 1039–1055. [Google Scholar] [CrossRef]
- Cui, Y.; Chen, X.; Nie, L.; Sun, W.; Hu, H.; Lin, Y.; Li, H.; Zheng, X.; Song, J.; Yao, H. Comparison and phylogenetic analysis of chloroplast genomes of three medicinal and edible Amomum species. Int. J. Mol. Sci. 2019, 20, 4040. [Google Scholar] [CrossRef]
- Jurica, M.S.; Stoddard, B.L. Homing endonucleases: Structure, function and evolution. Cell. Mol. Life Sci. 1999, 55, 1304–1326. [Google Scholar] [CrossRef] [PubMed]
- Kelchner, S.A. Group II introns as phylogenetic tools: Structure, function, and evolutionary constraints. Am. J. Bot 2002, 89, 1651–1669. [Google Scholar] [CrossRef] [PubMed]
- Hoot, S.B.; Palmer, J.D. Structural rearrangements, including parallel inversions, within the chloroplast genome of Anemone and related genera. J. Mol. Evol. 1994, 38, 274–281. [Google Scholar] [CrossRef] [PubMed]
- Downie, S.R.; Palmer, J.D. A chloroplast DNA phylogeny of the Caryophyllales based on structural and inverted repeat restriction site variation. Syst. Bot. 1994, 19, 236–252. [Google Scholar] [CrossRef]
- Campagna, M.; Downie, S. The intron in chloroplast gene rpl16 is missing from the flowering plant families Geraniaceae, Goodeniaceae, and Plumbaginaceae. T. Illinois State Acad. Sci. 1998, 91, 1–11. [Google Scholar]
- Katayama, H.; Ogihara, Y. Phylogenetic affinities of the grasses to other monocots as revealed by molecular analysis of chloroplast DNA. Curr. Genet. 1996, 29, 572–581. [Google Scholar] [CrossRef]
- Downie, S.R.; Llanas, E.; Katzdownie, D.S. Multiple independent losses of the rpoC1 intron in angiosperm chloroplast DNA’s. Syst. Bot. 1996, 21, 135–151. [Google Scholar] [CrossRef]
- Thiede, J.; Schmidt, S.A.; Rudolph, B. Phylogenetic implication of the chloroplast rpoC1 intron loss in the Aizoaceae (Caryophyllales). Biochem. Syst. Ecol. 2007, 35, 372–380. [Google Scholar] [CrossRef]
- Parks, M.; Cronn, R.; Liston, A. Increasing phylogenetic resolution at low taxonomic levels using massively parallel sequencing of chloroplast genomes. BMC Biol. 2009, 7, 84. [Google Scholar] [CrossRef]
- Wheeler, G.L.; Dorman, H.E.; Buchanan, A.T.; Challagundla, L.; Wallace, L.E. A review of the prevalence, utility, and caveats of using chloroplast simple sequence repeats for studies of plant biology. Appl. Plant Sci. 2014, 2, 1400059. [Google Scholar] [CrossRef]
- Ebert, D.; Peakall, R. Chloroplast simple sequence repeats (cpSSRs): Technical resources and recommendations for expanding cpSSR discovery and applications to a wide array of plant species. Mol. Ecol. Resour. 2009, 9, 673–690. [Google Scholar] [CrossRef] [PubMed]
- Yang, A.; Zhang, J.; Yao, X.; Huang, H. Chloroplast microsatellite markers in Liriodendron tulipifera (Magnoliaceae) and cross-species amplification in L. chinense. Am. J. Bot 2011, 98. [Google Scholar] [CrossRef] [PubMed]
- Hirao, T.; Watanabe, A.; Kurita, M.; Kondo, T.; Takata, K. A frameshift mutation of the chloroplast matK coding region is associated with chlorophyll deficiency in the Cryptomeria japonica virescent mutant Wogon-Sugi. Curr. Genet. 2009, 55, 311–321. [Google Scholar] [CrossRef] [PubMed]
- Kuang, D.; Wu, H.; Wang, Y.; Gao, L.; Zhang, S.; Lu, L. Complete chloroplast genome sequence of Magnolia kwangsiensis (Magnoliaceae): Implication for DNA barcoding and population genetics. Genome 2011, 54, 663–673. [Google Scholar] [CrossRef] [PubMed]
- Lin, C.; Wu, C.; Huang, Y.; Chaw, S. The complete chloroplast genome of Ginkgo biloba reveals the mechanism of inverted repeat contraction. Genome Biol. Evol. 2012, 4, 374–381. [Google Scholar] [CrossRef]
- Tangphatsornruang, S.; Sangsrakru, D.; Chanprasert, J.; Uthaipaisanwong, P.; Yoocha, T.; Jomchai, N.; Tragoonrung, S. The chloroplast genome sequence of Mungbean (Vigna radiata) determined by high-throughput pyrosequencing: Structural organization and phylogenetic relationships. DNA Res. 2010, 17, 11–22. [Google Scholar] [CrossRef] [PubMed]
- Ma, P.; Zhang, Y.; Zeng, C.; Guo, Z.; Li, D. Chloroplast phylogenomic analyses resolve deep-level relationships of an intractable bamboo tribe Arundinarieae (poaceae). Syst. Biol. 2014, 63, 933–950. [Google Scholar] [CrossRef]
- Raubeson, L.A.; Peery, R.; Chumley, T.W.; Dziubek, C.; Fourcade, H.M.; Boore, J.L.; Jansen, R.K. Comparative chloroplast genomics: Analyses including new sequences from the angiosperms Nuphar advena and Ranunculus macranthus. BMC Genomics 2007, 8, 174. [Google Scholar] [CrossRef]
- Frazer, K.A.; Pachter, L.; Poliakov, A.; Rubin, E.M.; Dubchak, I. VISTA: Computational tools for comparative genomics. Nucleic Acids Res. 2004, 32, 273–279. [Google Scholar] [CrossRef]
- Mayor, C.; Brudno, M.; Schwartz, J.R.; Poliakov, A.; Rubin, E.M.; Frazer, K.A.; Pachter, L.; Dubchak, I. VISTA: Visualizing global DNA sequence alignments of arbitrary length. Bioinformatics 2000, 16, 1046–1047. [Google Scholar] [CrossRef]
- Silva, S.R.; Pinheiro, D.G.; Penha, H.A.; Plachno, B.J.; Michael, T.P.; Meer, E.J.; Miranda, V.F.O.; Varani, A.M. Intraspecific variation within the Utricularia amethystina Species morphotypes based on chloroplast genomes. Int. J. Mol. Sci. 2019, 20, 6130. [Google Scholar] [CrossRef]
- Chen, Y.; Gao, Y.; Liao, W.; Tong, Z. Analysis on rDNA-ITS sequence and research of intra-specific phylogeny of Lycoris albiflora. J. Plant Resour. Environ. 2009, 18, 25–31. [Google Scholar]
- Quan, M.; Ou, L.; She, C.; Wu, X.; Chen, D. rDNA internal transcribed spacer sequence analysis of Lycoris Hert. Afr. J. Biotechnol. 2012, 11, 7361–7365. [Google Scholar]
- Shi, L.; Chen, H.; Jiang, M.; Wang, L.; Wu, X.; Huang, L.; Liu, C. CPGAVAS2, an integrated plastome sequence annotator and analyzer. Nucleic Acids Res. 2019. [Google Scholar] [CrossRef] [PubMed]
- Kumar, S.; Stecher, G.; Li, M.; Knyaz, C.; Tamura, K. MEGA X: Molecular evolutionary genetics analysis across computing platforms. Mol. Biol. Evol. 2018, 35, 1547–1549. [Google Scholar] [CrossRef] [PubMed]
- Amiryousefi, A.; Hyvonen, J.; Poczai, P. IRscope: An online program to visualize the junction sites of chloroplast genomes. Bioinformatics 2018, 34, 3030–3031. [Google Scholar] [CrossRef]
- Kuraku, S.; Zmasek, C.M.; Nishimura, O.; Katoh, K. aLeaves facilitates on-demand exploration of metazoan gene family trees on MAFFT sequence alignment server with enhanced interactivity. Nucleic Acids Res. 2013, 41, 22–28. [Google Scholar] [CrossRef]
- Rozewicki, J.; Li, S.; Amada, K.M.; Standley, D.M.; Katoh, K. MAFFT-DASH: Integrated protein sequence and structural alignment. Nucleic Acids Res. 2019, 47, W5–W10. [Google Scholar] [CrossRef] [PubMed]
- Nguyen, L.; Schmidt, H.A.; Von Haeseler, A.; Minh, B.Q. IQ-TREE: A fast and effective stochastic algorithm for estimating maximum likelihood phylogenies. Mol. Biol. Evol. 2015, 32, 268–274. [Google Scholar] [CrossRef] [PubMed]
- Kalyaanamoorthy, S.; Bui, M.Q.; Wong, T.K.F.; Von Haeseler, A.; Jermiin, L.S. ModelFinder: Fast model selection for accurate phylogenetic estimates. Nat. Methods 2017, 14, 587–589. [Google Scholar] [CrossRef] [PubMed]
© 2020 by the authors. Licensee MDPI, Basel, Switzerland. This article is an open access article distributed under the terms and conditions of the Creative Commons Attribution (CC BY) license (http://creativecommons.org/licenses/by/4.0/).




