Polymorphic Forms of Valinomycin Investigated by NMR Crystallography
Abstract
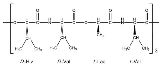
1. Introduction
2. Results
2.1. General Considerations
2.2. The Triclinic Polymorph
2.3. The Monoclinic Polymorph
2.4. The “Symmetric” Structural Motif
2.5. The “Propeller” Structural Motif
3. Discussion
4. Materials and Methods
Supplementary Materials
Author Contributions
Funding
Acknowledgments
Conflicts of Interest
References
- Wang, X.; Xia, S.; Wang, Q.; Xu, W.; Li, W.; Lu, L.; Jiang, S. Broad-Spectrum Coronavirus Fusion Inhibitors to Combat COVID-19 and Other Emerging Coronavirus Diseases. Int. J. Mol. Sci. 2020, 21, 3843. [Google Scholar] [CrossRef] [PubMed]
- Morse, J.S.; Lalonde, T.; Xu, S.; Liu, W.R. Learning from the Past: Possible Urgent Prevention and Treatment Options for Severe Acute Respiratory Infections Caused by 2019-nCoV. ChemBioChem 2020, 21, 730–738. [Google Scholar] [CrossRef] [PubMed]
- Martinez, M.A. Compounds with Therapeutic Potential against Novel Respiratory 2019 Coronavirus. Antimicrob. Agents Chem. 2020, 64, e00399-20. [Google Scholar] [CrossRef] [PubMed]
- Yao, T.-T.; Qian, J.-D.; Zhu, W.-Y.; Wang, Y.; Wang, G.-Q. A systematic review of lopinavir therapy for SARS coronavirus and MERS coronavirus-A possible for coronavirus disease-19 treatment options. J. Med. Virol. 2020, 92, 556–563. [Google Scholar] [CrossRef] [PubMed]
- Northwestern University. Super-charging drug development for COVID-19: Cell-free production method scales up yield by 5000 times. ScienceDaily. 13 April 2020. Available online: www.sciencedaily.com/releases/2020/04/200413140505.htm (accessed on 10 July 2020).
- Sivanathan, S.; Scherkenbeck, J. Cyclodepsipeptides: A Rich Source of Biologically Active Compounds for Drug Research. Molecules 2014, 19, 12368–12420. [Google Scholar] [CrossRef] [PubMed]
- Zhuang, L.; Huang, S.; Liu, W.-Q.; Karim, A.S.; Jewett, M.C.; Li, J. Total in vitro biosynthesis of the nonribosomal macrolactone peptide valinomycin. Metab. Eng. 2020, 60, 37–44. [Google Scholar] [CrossRef] [PubMed]
- Cheng, Y.-Q. Deciphering the Biosynthetic Codes for the Potent Anti-SARS-CoV Cyclodepsipeptide Valinomycin in Streptomyces tsusimaensis ATCC 15141. ChemBioChem 2006, 7, 471–477. [Google Scholar] [CrossRef] [PubMed]
- Su, Z.F.; Ran, X.Q.; Leitch, J.J.; Schwan, A.L.; Faragher, R.; Lipkowski, J. How Valinomycin Ionophores Enter and Transport K+ across Model Lipid Bilayer Membranes. Langmuir 2019, 35, 16935–16943. [Google Scholar] [CrossRef]
- Hilfkier, R.; Von Raumer, M. Polymorphism in the Pharmaceutical Industry: Solid Form and Drug Development; Wiley-VCH: Hoboken, NJ, USA, 2019. [Google Scholar]
- Harris, R.K.; Wasylishen, R.E.; Duer, M.J. NMR Crystallography; Wiley: Chichester, UK, 2009. [Google Scholar]
- Hodgkinson, P. NMR Crystallography of Molecular Organics. Prog. Nucl. Mag. Res. Sp. 2020, 118, 10–53. [Google Scholar] [CrossRef]
- Bonhomme, C.; Gervais, C.; Babonneau, F.; Coelho, C.; Pourpoint, F.; Azais, T.; Asbrook, S.E.; Griffin, J.M.; Yates, J.R.; Pickard, J.C. First-Principles Calculation of NMR Parameters Using the Gauge Including Projector Augmented Wave Method: A Chemist’s Point of View. Chem. Rev. 2012, 112, 5733–5779. [Google Scholar] [CrossRef]
- Karle, I.L. Conformation of Valinomycin in a Triclinic Crystal Form. J. Am. Chem. Soc. 1975, 97, 4379–4386. [Google Scholar] [CrossRef] [PubMed]
- Smith, G.D.; Duax, D.L.; Langs, D.A.; DeTitta, G.T.; Edmonds, J.W.; Rohrer, D.C.; Weeks, C.M. The Crystal and Molecular Structure of the Triclinic and Monoclinic Forms of Valinomycin, C54H90N6O18. J. Am. Chem. Soc. 1975, 97, 7242–7247. [Google Scholar] [CrossRef] [PubMed]
- Kameda, T.; McGeorge, G.; Orendt, A.; Grant, D.M. 13C NMR chemical shifts of the triclinic and monoclinic crystal forms of valinomycin. J. Biomol. NMR 2004, 29, 281–288. [Google Scholar] [CrossRef]
- Neupert-Laves, K.; Dobler, M. The Crystal Structure of a K+ Complex of Valinomycin. Helv. Chim. Acta 1975, 58, 432–442. [Google Scholar] [CrossRef] [PubMed]
- Karle, I.L.; Flippen-Anderson, J.L. New conformation exhibiting near three-fold symmetry for uncomplexed valinomycin in crystals from dimethyl sulfoxide. J. Am. Chem. Soc. 1988, 110, 3253–3257. [Google Scholar] [CrossRef]
- Wu, K.; Gore, A.; Graham, R. A New Hydrate of Cyclosporin: Structural and Physicochemical Characterization. J. Pharm. Sci. 2018, 107, 3070–3079. [Google Scholar] [CrossRef] [PubMed]
- Carnevale, D.; Grosjean, B.; Bodenhausen, G. Dipolar couplings in solid polypeptides probed by 14N NMR spectroscopy. Chem. Sci. 2018, 1, 1–9. [Google Scholar] [CrossRef]
- Paruzzo, F.M.; Hofstetter, A.; Musil, F.; De, S.; Ceriotti, M.; Emsley, L. Chemical shifts in molecular solids by machine learning. Nat. Commun. 2018, 9, 1–10. [Google Scholar] [CrossRef]
- Czernek, J.; Brus, J. Monitoring the Site-Specific Solid-State NMR Data in Oligopeptides. Int. J. Mol. Sci. 2020, 21, 2700. [Google Scholar] [CrossRef]
- Czernek, J.; Pawlak, T.; Potrzebowski, M.J. Benchmarks for the 13C NMR chemical shielding tensors in peptides in the solid state. Chem. Phys. Lett. 2012, 527, 31–35. [Google Scholar] [CrossRef]
- Xu, Y.; Szell, P.M.J.; Kumar, V.; Bryce, D.L. Solid-state NMR spectroscopy for the analysis of element-based non-covalent interactions. Coord. Chem. Rev. 2020, 411, 213237. [Google Scholar] [CrossRef]
- Czernek, J.; Urbanova, M.; Brus, J. NMR Crystallography of the Polymorphs of Metergoline. Crystals 2018, 8, 378. [Google Scholar] [CrossRef]
- Ahn, J.-M.; Kassees, K.; Lee, T.-K.; Manadhar, B.; Yousif, A.M. Strategy and Tactics for Designing Analogs: Biochemical Characterization of the Large Molecules. In Comprehensive Medicinal Chemistry, 3rd ed.; Chackalamannil, S., Rotella, E., Ward, S.E., Eds.; Elsevier: Amsterdam, The Netherlands, 2017; pp. 66–115. [Google Scholar]
- Tatton, A.S.; Pham, T.N.; Vogt, F.G.; Iuga, D.; Edwards, A.J.; Brown, S.P. Probing Hydrogen Bonding in Cocrystals and Amorphous Dispersions Using 14N–1H HMQC Solid-State NMR. Mol. Pharm. 2013, 10, 999–1007. [Google Scholar] [CrossRef] [PubMed]
- Kong, X.Q.; Shan, M.; Terskikh, V.; Hung, I.; Gan, Z.H.; Wu, G. Solid-State 17O NMR of Pharmaceutical Compounds: Salicylic Acid and Aspirin. J. Phys. Chem. B 2013, 117, 9643–9654. [Google Scholar] [CrossRef] [PubMed]
- Lu, J.S.; Hung, I.; Brinkmann, A.; Gan, Z.H.; Kong, X.Q.; Wu, G. Solid-State 17O NMR Reveals Hydrogen-Bonding Energetics: Not All Low-Barrier Hydrogen Bonds Are Strong. Angew. Chem. 2017, 129, 6262–6266. [Google Scholar] [CrossRef]
- Vibhute, A.M.; Priyakumar, U.D.; Ravi, A.; Sureshan, K.M. Model molecules to classify C–H…O hydrogen-bonds. Chem. Commun. 2018, 54, 4629–4632. [Google Scholar] [CrossRef] [PubMed]
- Wu, G. 17O NMR studies of organic and biological molecules in aqueous solution and in the solid state. Prog. Nucl. Mag. Res. Sp. 2019, 114, 135–191. [Google Scholar] [CrossRef]
- Awosanya, E.O.; Lapin, J.; Nevzorov, A.A. NMR “crystallography” for uniformly (13C, 15N)-labeled oriented membrane proteins. Angew. Chem. 2020, 59, 3554–3557. [Google Scholar] [CrossRef]
- Rossi, F.; Duong, N.T.; Pandey, M.K.; Chierotti, M.R.; Gobetto, R.; Nishiyama, Y. Determination of the 15N chemical shift anisotropy in natural abundance samples by proton-detected 3D solid-state NMR under ultrafast MAS of 70 kHz. Magn. Reson. Chem. 2019, 57, 294–303. [Google Scholar] [CrossRef]
- Czernek, J.; Brus, J. Exploring Accuracy Limits of Predictions of the 1H NMR Chemical Shielding Anisotropy in the Solid State. Molecules 2019, 24, 1731. [Google Scholar] [CrossRef]
- Kraus, J.; Gupta, R.; Lu, M.; Gronenborn, A.M.; Akke, M.; Polenova, T. Accurate Backbone 13C and 15N Chemical Shift Tensors in Galectin-3 Determined by MAS NMR and QM/MM: Details of Structure and Environment Matter. ChemPhysChem 2020, 21, 1436–1443. [Google Scholar] [CrossRef] [PubMed]
- Quinn, C.M.; Wang, M.; Polenova, T. NMR of Macromolecular Assemblies and Machines at 1 GHz and Beyond: New Transformative Opportunities for Molecular Structural Biology. Methods Mol. Biol. 2018, 1688, 1–35. [Google Scholar] [CrossRef] [PubMed]
- Bonhomme, C.; Wang, X.L.; Hung, I.; Gan, Z.H.; Gervais, C.; Sassoye, C.; Rimsza, J.; Du, J.C.; Smith, M.E.; Hanna, J.V.; et al. Pushing the limits of sensitivity and resolution for natural abundance 43Ca NMR using ultra-high magnetic field (35.2 T). Chem. Commun. 2018, 54, 9591–9594. [Google Scholar] [CrossRef] [PubMed]
- Paulino, J.; Yi, M.; Hung, I.; Gan, Z.H.; Wang, X.L.; Chekmenev, E.Y.; Zhou, H.X.; Cross, T.A. Functional stability of water wire-carbonyl interactions in an ion channel. Proc. Natl. Acad. Sci. USA 2020, 117, 11908–11915. [Google Scholar] [CrossRef] [PubMed]
- Kresse, G.; Joubert, D. From ultrasoft pseudopotentials to the projector augmented-wave method. Phys. Rev. B 1999, 59, 1758–1775. [Google Scholar] [CrossRef]
- Segall, M.D.; Lindan, P.J.D.; Probert, M.J.; Pickard, C.J.; Hasnip, P.J.; Clark, S.J.; Payne, M.C. First principles simulation: Ideas, illustrations, and the CASTEP code. J. Phys. Condens. Matter 2002, 14, 2717–2744. [Google Scholar] [CrossRef]
- Clark, S.J.; Segall, M.D.; Pickard, C.J.; Hasnip, P.J.; Probert, M.J.; Refson, K.; Payne, M.C. First principles methods using CASTEP. Z. Kristallogr 2005, 220, 567–570. [Google Scholar] [CrossRef]
- BIOVIA Materials Studio. Dassault Systèmes, Vélizy-Villacoublay: Paris, France. Available online: https://www.3ds.com/products-services/biovia/products/molecular-modeling-simulation/biovia-materials-studio/ (accessed on 10 July 2020).
- Perdew, J.P.; Burke, K.; Ernzerhof, M. Generalized gradient approximation made simple. Phys. Rev. Lett. 1996, 77, 3865–3868. [Google Scholar] [CrossRef]
- Tkatchenko, A.; Scheffler, M. Accurate Molecular Van Der Waals Interactions from Ground-State Electron Density and Free-Atom Reference Data. Phys. Rev. Lett. 2009, 102, 073005. [Google Scholar] [CrossRef]
- Pickard, C.J.; Mauri, F. All-electron magnetic response with pseudopotentials: NMR chemical shifts. Phys. Rev. B 2001, 63, 245101. [Google Scholar] [CrossRef]
- Yates, J.R.; Pickard, C.J.; Mauri, F. Calculations of NMR chemical shifts for extended systems using ultrasoft pseudopotentials. Phys. Rev. B 2007, 76, 024401. [Google Scholar] [CrossRef]
- Profeta, M.; Mauri, F.; Pickard, C.J. Accurate First Principles Predictions of 17O NMR Parameters in SiO2: Assignment of the Zeolite Ferrierite Spectrum. J. Am. Chem. Soc. 2003, 125, 541–548. [Google Scholar] [CrossRef]
- Boys, S.F.; Bernardi, F. The calculation of small molecular interactions by the differences of separate total energies. Some procedures with reduced errors. Mol. Phys. 1970, 19, 553–556. [Google Scholar] [CrossRef]
- Vahtras, O.; Almlof, J.; Feyereisen, M.W. Integral Approximations for LCAO-SCF Calculations. Chem. Phys. Lett. 1993, 213, 514–518. [Google Scholar] [CrossRef]
- Eichkorn, K.; Weigend, F.; Treutler, O.; Ahlrichs, R. Auxiliary basis sets for main row atoms and transition metals and their use to approximate Coulomb potentials. Theor. Chem. Acc. 1997, 97, 119–124. [Google Scholar] [CrossRef]
- Ahlrichs, R.; Bär, M.; Häser, M.; Horn, H.; Kŏlmel, C. Electronic-Structure Calculations on Workstation Computers: The Program System Turbomole. Chem. Phys. Lett. 1989, 162, 165–169. [Google Scholar] [CrossRef]
- Peterson, K.A.; Woon, D.E.; Dunnig, T.J., Jr. Benchmark calculations with correlated wave functions. J. Chem. Phys. 1994, 100, 7410–7415. [Google Scholar] [CrossRef]
- Ditchfield, R. Self-consistent perturbation theory of diamagnetism. Mol. Phys. 1974, 27, 789–807. [Google Scholar] [CrossRef]
- Wolinski, K.; Hinton, J.F.; Pulay, P. Efficient implementation of the gauge-independent atomic orbital method for NMR chemical shift calculation. J. Am. Chem. Soc. 1990, 112, 8251–8260. [Google Scholar] [CrossRef]
- Frish, M.J.; Trucks, J.W.; Schlegel, H.B.; Scuseria, G.E.; Robb, M.A.; Cheeseman, J.R.; Scalmani, G.; Barone, V.; Mennucci, B.; Petersson, G.A.; et al. Gaussian 09; Revision D.01; Gaussian, Inc.: Wallingford, UK, 2013. [Google Scholar]





| Residue | H-Bonding Scheme | Corresponding {13C/15N/1H} NMR Chemical Shift (in ppm) | Dihedral Angle (in Degrees) | |||||
|---|---|---|---|---|---|---|---|---|
| CO | Cα | Namid | Hamid | Hα | φ | ψ | ||
| D-Hyv1 | a ← d4 (a ← d4) | 170.2 (171.0) | 76.6 (75.1) | – | – | 5.8 (6.2) | −2 (−7) | +94 (+102) |
| D-Val2 | d → a11, a ← d6 (d → a11, a ← d6) | 176.4 (175.9) | 60.7 (58.5) | 123 (114) | 9.2 (8.6) | 3.7 (4.8) | −124 (−135) | +65 (+64) |
| L-Lac3 | none (none) | 166.8 (166.3) | 74.9 (75.6) | – | – | 5.5 (5.2) | −11 (−11) | −68 (−68) |
| L-Val4 | d → a1 (d → a1) | 171.7 (172.3) | 54.2 (53.8) | 113 (112) | 9.1 (8.3) | 5.7 (5.9) | +68 (+76) | −109 (−107) |
| D-Hyv5 | a ← d8 (a ← d8) | 168.4 (169.6) | 78.0 (78.3) | – | – | 6.1 (6.3) | −6 (−11) | +153 (+142) |
| D-Val6 | d → a2 (d → a2) | 173.7 (173.7) | 60.2 (61.1) | 117 (116) | 7.5 (8.0) | 3.7 (3.7) | −130 (−129) | +57 (+62) |
| L-Lac7 | a ← d10 (a ← d10) | 171.8 (171.8) | 70.3 (70.0) | – | – | 6.1 (6.0) | +9 (+9) | −96 (−96) |
| L-Val8 | d → a5, a ← d12 (d → a5, a ← d12) | 177.9 (177.7) | 61.5 (61.7) | 120 (120) | 9.3 (9.5) | 4.0 (3.9) | +128 (+129) | −68 (−65) |
| D-Hyv9 | none (none) | 166.1 (166.3) | 83.4 (83.2) | – | – | 5.7 (5.6) | +3 (+4) | +82 (+81) |
| D-Val10 | d → a7 (d → a7) | 173.1 (173.3) | 55.2 (54.6) | 115 (116) | 8.5 (8.6) | 5.6 (5.9) | −66 (−66) | +106 (+104) |
| L-Lac11 | a ← d2 (a ← d2) | 171.3 (170.5) | 72.9 (72.5) | – | – | 6.7 (6.2) | +26 (+21) | −161 (−159) |
| L-Val12 | d → a8 (d → a8) | 173.7 (173.5) | 60.8 (61.1) | 116 (115) | 8.5 (8.2) | 4.0 (3.7) | +128 (+125) | −68 (−68) |
| Residue | H-Bonding Scheme | Corresponding {13C/15N/1H} NMR Chemical Shift (in ppm) | Dihedral Angle (in Degrees) | |||||
|---|---|---|---|---|---|---|---|---|
| CO | Cα | Namid | Hamid | Hα | φ | ψ | ||
| D-Hyv1 | a ← d4 | 168.9 | 76.2 | – | – | 6.3 | −7 | +142 |
| D-Val2 | d → a10 | 172.7 | 61.4 | 116 | 7.2 | 3.7 | −130 | +59 |
| L-Lac3 | a ← d6 | 171.5 | 71.1 | – | – | 6.1 | +9 | −96 |
| L-Val4 | d → a1, a ← d8 | 177.7 | 61.1 | 119 | 9.6 | 4.0 | +127 | −67 |
| D-Hyv5 | none | 165.8 | 82.7 | – | – | 5.7 | +2 | +81 |
| D-Val6 | d → a3 | 172.7 | 54.8 | 115 | 8.5 | 5.6 | −68 | +106 |
| L-Lac7 | a ← d10 | 170.0 | 70.3 | – | – | 6.3 | +22 | −155 |
| L-Val8 | d → a4 | 173.2 | 61.5 | 115 | 7.9 | 3.6 | +128 | −67 |
| D-Hyv9 | a ← d12 | 171.2 | 74.2 | – | – | 6.0 | −3 | +95 |
| D-Val10 | d → a7, a ← d2 | 176.5 | 59.3 | 122 | 9.0 | 4.0 | −125 | +66 |
| L-Lac11 | none | 166.9 | 73.6 | – | – | 5.5 | −11 | −77 |
| L-Val12 | d → a9 | 171.7 | 54.1 | 113 | 8.9 | 5.8 | +74 | −105 |
| Residue | H-Bonding Scheme | Corresponding {13C/15N/1H} NMR Chemical Shift (in ppm) | Dihedral Angle (in Degrees) | |||||
|---|---|---|---|---|---|---|---|---|
| CO | Cα | Namid | Hamid | Hα | φ | ψ | ||
| D-Hyv1 | a ← d4 | 170.3 | 75.9 | – | – | 5.8 | +1 | +101 |
| D-Val2 | d → a11 | 173.2 | 60.8 | 122 | 9.0 | 4.2 | −123 | +66 |
| L-Lac3 | a ← d6 | 172.5 | 72.3 | – | – | 5.4 | −17 | −79 |
| L-Val4 | d → a1 | 171.3 | 58.8 | 115 | 9.5 | 4.1 | +107 | −78 |
| D-Hyv5 | a ← d8 | 169.9 | 77.4 | – | – | 6.4 | −8 | +114 |
| D-Val6 | d → a3 | 169.7 | 59.0 | 121 | 9.0 | 4.3 | −101 | +83 |
| L-Lac7 | a ← d10 | 170.4 | 69.4 | – | – | 6.2 | +8 | −125 |
| L-Val8 | d → a5 | 170.8 | 59.2 | 119 | 9.8 | 4.3 | +106 | −80 |
| D-Hyv9 | a ← d12 | 170.3 | 75.5 | – | – | 6.2 | +3 | +115 |
| D-Val10 | d → a7 | 174.4 | 60.1 | 122 | 9.4 | 4.0 | −128 | +64 |
| L-Lac11 | a ← d2 | 171.3 | 71.8 | – | – | 5.2 | −18 | −76 |
| L-Val12 | d → a9 | 171.2 | 59.7 | 114 | 8.9 | 3.9 | +118 | −70 |
| Residue | H-Bonding Scheme | Corresponding {13C/15N/1H} NMR Chemical Shift (in ppm) | Dihedral Angle (in Degrees) | |||||
|---|---|---|---|---|---|---|---|---|
| CO | Cα | Namid | Hamid | Hα | φ | ψ | ||
| D-Hyv1 | none | 167.1 | 79.0 | – | – | 6.4 | 0 | +104 |
| D-Val2 | d → a11 | 173.0 | 52.2 | 101 | 9.0 | 6.1 | −177 | +125 |
| L-Lac3 | a ← d6 | 171.9 | 70.9 | – | – | 7.3 | +19 | −146 |
| L-Val4 | none | 173.5 | 59.9 | 113 | 7.2 | 4.6 | +116 | 72 |
| D-Hyv5 | none | 165.5 | 80.0 | – | – | 6.3 | −4 | +10 |
| D-Val6 | d → a3 | 174.5 | 53.7 | 100 | 8.5 | 6.5 | −170 | +121 |
| L-Lac7 | a ← d10 | 171.3 | 70.1 | – | – | 7.0 | +35 | −142 |
| L-Val8 | none | 174.2 | 68.6 | 113 | 6.9 | 4.7 | +122 | −70 |
| D-Hyv9 | none | 166.4 | 80.2 | – | – | 6.1 | +3 | +88 |
| D-Val10 | d → a7 | 172.5 | 53.4 | 99 | 8.3 | 6.0 | −177 | +121 |
| L-Lac11 | a ← d2 | 168.8 | 71.9 | – | – | 7.0 | +25 | −137 |
| L-Val12 | none | 172.3 | 58.5 | 112 | 6.7 | 4.4 | +110 | −72 |
© 2020 by the authors. Licensee MDPI, Basel, Switzerland. This article is an open access article distributed under the terms and conditions of the Creative Commons Attribution (CC BY) license (http://creativecommons.org/licenses/by/4.0/).
Share and Cite
Czernek, J.; Brus, J. Polymorphic Forms of Valinomycin Investigated by NMR Crystallography. Int. J. Mol. Sci. 2020, 21, 4907. https://doi.org/10.3390/ijms21144907
Czernek J, Brus J. Polymorphic Forms of Valinomycin Investigated by NMR Crystallography. International Journal of Molecular Sciences. 2020; 21(14):4907. https://doi.org/10.3390/ijms21144907
Chicago/Turabian StyleCzernek, Jiří, and Jiří Brus. 2020. "Polymorphic Forms of Valinomycin Investigated by NMR Crystallography" International Journal of Molecular Sciences 21, no. 14: 4907. https://doi.org/10.3390/ijms21144907
APA StyleCzernek, J., & Brus, J. (2020). Polymorphic Forms of Valinomycin Investigated by NMR Crystallography. International Journal of Molecular Sciences, 21(14), 4907. https://doi.org/10.3390/ijms21144907

