Relationship between IL-8 Circulating Levels and TLR2 Hepatic Expression in Women with Morbid Obesity and Nonalcoholic Steatohepatitis
Abstract
1. Introduction
2. Results
2.1. Baseline Characteristics of Subjects
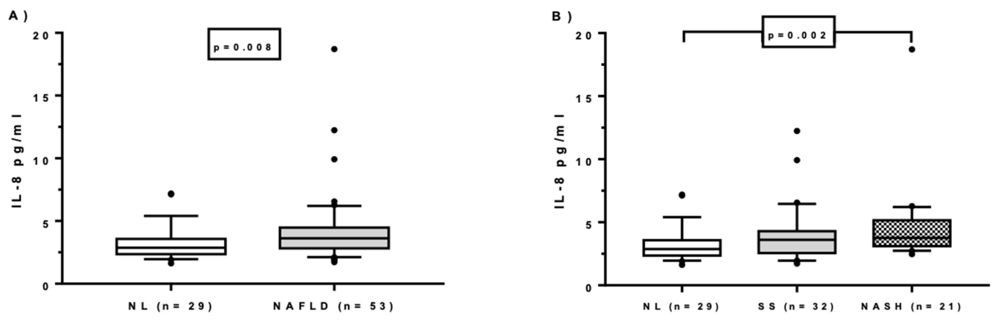
2.2. Circulating Levels of Adipocytokines in the Population Studied
2.3. Correlations between Circulating Cytokine Levels, TLR4 Levels, and TLRs Hepatic Expression
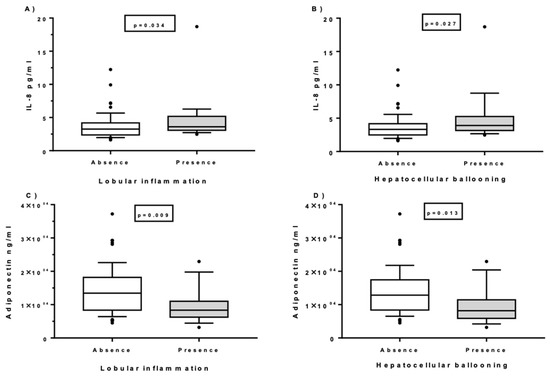
2.4. Circulating Levels of Cytokines and Histopathological Features
2.5. Evaluation of Circulating Cytokine Levels as Biomarkers of Nonalcoholic Steatohepatitis
3. Discussion
4. Materials and Methods
4.1. Study Subjects
4.2. Sample Size
4.3. Liver Pathology
4.4. Biochemical Analyses
4.5. Gene Expression in the Liver
4.6. Statistical Analysis
5. Conclusions
Author Contributions
Funding
Conflicts of Interest
Abbreviations
| NAFLD | Nonalcoholic fatty liver disease |
| SS | Simple steatosis |
| NASH | Nonalcoholic steatohepatitis |
| NW | Normal-weight |
| MO | Morbid obesity |
| NL | Normal liver |
| TLR2 | Toll-like receptor 2 |
| TLR4 | Toll-like receptor 4 |
| TLR9 | Toll-like receptor 9 |
| BMI | Body mass index |
| HOMA2-IR | Homeostatic model assessment method-insulin resistance |
| HbA1c | Glycosylated hemoglobin |
| HDL-C | High-density lipoprotein cholesterol |
| LDL-C | Low-density lipoprotein cholesterol |
| AST | Aspartate aminotransferase |
| ALT | Alanine aminotransferase |
| GGT | Gamma-glutamyl transferase |
| ALP | Alkaline phosphatase |
| IL-1β | Interleukin 1beta |
| IL-6 | Interleukin 6 |
| IL-7 | Interleukin 7 |
| IL-8 | Interleukin 8 |
| IL-10 | Interleukin 10 |
| IL-13 | Interleukin 13 |
| IL-17 | Interleukin 17 |
| IL-22 | Interleukin 22 |
| TNF-α | Tumor necrosis factor alpha |
| tPAI-1 | Total plasminogen activator inhibitor 1 |
| MCP-1 | Monocyte chemo attractant protein 1 |
| TGF-β | Transforming growth factor beta |
References
- Chalasani, N.; Younossi, Z.; Lavine, J.E.; Diehl, A.M.A.E. The Diagnosis and Management of Non-alcoholic Fatty Liver Disease: Practice Guideline by the American Gastroenterological Association, American Association for the Study of Liver Diseases, and American College of Gastroenterology. Gastroenterology 2012, 142, 1592–1609. [Google Scholar] [CrossRef]
- Blachier, M.; Leleu, H.; Peck-Radosavljevic, M.; Valla, D.C.; Roudot-Thoraval, F. The burden of liver disease in Europe: A review of available epidemiological data. J. Hepatol. 2013, 58, 593–608. [Google Scholar] [CrossRef] [PubMed]
- Younossi, Z.M.; Koenig, A.B.; Abdelatif, D.; Fazel, Y.; Henry, L.; Wymer, M. Global Epidemiology of Nonalcoholic Fatty Liver Disease-Meta-Analytic Assessment of Prevalence, Incidence, and Outcomes. Hepathology 2016, 64, 73–84. [Google Scholar] [CrossRef]
- Dulai, P.S.; Singh, S.; Patel, J.; Soni, M.; Prokop, L.J.; Younossi, Z.; Sebastiani, G.; Ekstedt, M.; Hagstrom, H.; Nasr, P.; et al. Increased Risk of Mortality by Fibrosis Stage in Nonalcoholic Fatty Liver Disease: Systematic Review and Meta-analysis. Hepathology 2017, 65, 1557–1565. [Google Scholar] [CrossRef] [PubMed]
- Fazel, Y.; Koenig, A.B.; Sayiner, M.; Goodman, Z.D.; Younossi, Z.M. Epidemiology and natural history of non-alcoholic fatty liver disease. Metabolism 2016, 65, 1017–1025. [Google Scholar] [CrossRef] [PubMed]
- Corey, K.E.; Kaplan, L.M. Obesity and liver disease: The epidemic of the twenty-first century. Clin. Liver Dis. 2014, 18, 1–18. [Google Scholar] [CrossRef] [PubMed]
- Dixon, J.B.; Bhathal, P.S.; O’Brien, P.E. Nonalcoholic fatty liver disease: Predictors of nonalcoholic steatohepatitis and liver fibrosis in the severely obese. Gastroenterology 2001, 121, 91–100. [Google Scholar] [CrossRef] [PubMed]
- Chang, Y.; Jung, H.-S.; Cho, J.; Zhang, Y.; Yun, K.E.; Lazo, M.; Pastor-Barriuso, R.; Ahn, J.; Kim, C.-W.; Rampal, S.; et al. Metabolically Healthy Obesity and the Development of Nonalcoholic Fatty Liver Disease. Am. J. Gastroenterol. 2016, 111, 1133–1140. [Google Scholar] [CrossRef] [PubMed]
- Shoelson, S.E.; Lee, J.; Goldfine, A.B. Inflammation and insulin resistance. J. Clin. Invest. 2006, 116, 1793–1801. [Google Scholar] [CrossRef] [PubMed]
- Hotamisligil, G.S.; Shargill, N.S.; Spiegelman, B.M. Adipose expression of tumor necrosis factor-alpha: Direct role in obesity-linked insulin resistance. Science 1993, 259, 87–91. [Google Scholar] [CrossRef]
- Buzzetti, E.; Pinzani, M.; Tsochatzis, E.A. The multiple-hit pathogenesis of non-alcoholic fatty liver disease (NAFLD). Metabolism 2016, 65, 1038–1048. [Google Scholar] [CrossRef] [PubMed]
- Falck-Ytter, Y.; Younossi, Z.M.; Marchesini, G.; McCullough, A.J. Clinical features and natural history of nonalcoholic steatosis syndromes. Semin. Liver Dis. 2001, 21, 17–26. [Google Scholar] [CrossRef] [PubMed]
- Younossi, Z.M.; Diehl, A.M.; Ong, J.P. Nonalcoholic fatty liver disease: An agenda for clinical research. Hepatology 2002, 35, 746–752. [Google Scholar] [CrossRef] [PubMed]
- Shen, C.; Zhao, C.-Y.; Wang, W.; Wang, Y.-D.; Sun, H.; Cao, W.; Yu, W.-Y.; Zhang, L.; Ji, R.; Li, M.; et al. The relationship between hepatic resistin overexpression and inflammation in patients with nonalcoholic steatohepatitis. BMC Gastroenterol. 2014, 14, 1–8. [Google Scholar] [CrossRef] [PubMed]
- Tilg, H.; Moschen, A.R. Evolution of inflammation in nonalcoholic fatty liver disease: The multiple parallel hits hypothesis. Hepatology 2010, 52, 1836–1846. [Google Scholar] [CrossRef] [PubMed]
- Aragonès, G.; Carmen, M.C.; Esther, A.; Martínez, G.S.; Sabench, F.; Antonio, J.; David, P.; Daniel, R.; Castillo, D.; Richart, C.; et al. Circulating microbiota-derived metabolites: A “ liquid biopsy? Int. J. Obes. 2019, 44, 875–885. [Google Scholar] [CrossRef] [PubMed]
- Liaskou, E.; Wilson, D.V.; Oo, Y.H. Innate immune cells in liver inflammation. Mediators Inflamm. 2012, 2012, 949157. [Google Scholar] [CrossRef]
- Wan, X.; Xu, C.; Yu, C.; Li, Y. Role of NLRP3 Inflammasome in the Progression of NAFLD to NASH. Can. J. Gastroenterol. Hepatol. 2016, 2016, 1–7. [Google Scholar] [CrossRef] [PubMed]
- Marra, F.; Tacke, F. Roles for chemokines in liver disease. Gastroenterology 2014, 147, 577–594. [Google Scholar] [CrossRef]
- Trayhurn, P.; Wood, I.S. Adipokines: Inflammation and the pleiotropic role of white adipose tissue. Br. J. Nutr. 2004, 92, 347–355. [Google Scholar] [CrossRef]
- Mirea, A.M.; Stienstra, R.; Kanneganti, T.D.; Tack, C.J.; Chavakis, T.; Toonen, E.J.M.; Joosten, L.A.B. Mice Deficient in the IL-1β Activation Genes Prtn3, Elane, and Casp1 Are Protected Against the Development of Obesity-Induced NAFLD. Inflammation 2020, 43, 1054–1064. [Google Scholar] [CrossRef] [PubMed]
- Jamali, R.; Razavizade, M.; Arj, A.; Aarabi, M.H. Serum adipokines might predict liver histology findings in non-alcoholic fatty liver disease. World J. Gastroenterol. 2016, 22, 5096–5103. [Google Scholar] [CrossRef] [PubMed]
- Tarantino, G.; Savastano, S.; Colao, A. Hepatic steatosis, low-grade chronic inflammation and hormone/growth factor/adipokine imbalance. World J. Gastroenterol. 2010, 16, 4773–4783. [Google Scholar] [CrossRef] [PubMed]
- Hart, K.M.; Fabre, T.; Sciurba, J.C.; Gieseck, R.L.; Borthwick, L.A.; Vannella, K.M.; Acciani, T.H.; De Queiroz Prado, R.; Thompson, R.W.; White, S.; et al. Type 2 immunity is protective in metabolic disease but exacerbates NAFLD collaboratively with TGF-b. Sci. Transl. Med. 2017, 9, 1–14. [Google Scholar] [CrossRef]
- Ajmera, V.; Perito, E.R.; Bass, N.M.; Terrault, N.A.; Yates, K.P.; Gill, R.; Loomba, R.; Diehl, A.M.; Aouizerat, B.E. Novel plasma biomarkers associated with liver disease severity in adults with nonalcoholic fatty liver disease. Hepatology 2018, 65, 65–77. [Google Scholar] [CrossRef]
- Vonghia, L.; Magrone, T.; Verrijken, A.; Michielsen, P.; Van Gaal, L.; Jirillo, E.; Francque, S. Peripheral and hepatic vein cytokine levels in correlation with Non-Alcoholic Fatty Liver Disease (NAFLD)-related metabolic, histological, and haemodynamic features. PLoS ONE 2015, 10, e0143380. [Google Scholar] [CrossRef]
- Estep, M.; Abawi, M.; Jarrar, M.; Wang, L.; Stepanova, M.; Elariny, H.; Moazez, A.; Goodman, Z.; Chandhoke, V.; Baranova, A.; et al. Association of obestatin, ghrelin, and inflammatory cytokines in obese patients with non-alcoholic fatty liver disease. Obes. Surg. 2011, 21, 1750–1757. [Google Scholar] [CrossRef]
- Pusl, T.; Wild, N.; Vennegeerts, T.; Wimmer, R.; Göke, B.; Brand, S.; Rust, C. Free fatty acids sensitize hepatocytes to bile acid-induced apoptosis. Biochem. Biophys. Res. Commun. 2008, 371, 441–445. [Google Scholar] [CrossRef] [PubMed]
- Kawelke, N.; Vasel, M.; Sens, C.; von Au, A.; Dooley, S.; Nakchbandi, I.A. Fibronectin Protects from Excessive Liver Fibrosis by Modulating the Availability of and Responsiveness of Stellate Cells to Active TGF-β. PLoS ONE 2011, 6, e28181. [Google Scholar] [CrossRef]
- Altrock, E.; Sens, C.; Wuerfel, C.; Vasel, M.; Kawelke, N.; Dooley, S.; Sottile, J.; Nakchbandi, I.A. Inhibition of fibronectin deposition improves experimental liver fibrosis. J. Hepatol. 2015, 62, 625–633. [Google Scholar] [CrossRef] [PubMed]
- Mirea, A.M.; Tack, C.J.; Chavakis, T.; Joosten, L.A.B.; Toonen, E.J.M. IL-1 Family Cytokine Pathways Underlying NAFLD: Towards New Treatment Strategies. Trends Mol. Med. 2018, 24, 458–471. [Google Scholar] [CrossRef] [PubMed]
- Westerbacka, J.; Kolak, M.; Kiviluoto, T.; Arkkila, P.; Sire, J.; Hamsten, A.; Fisher, R.M.; Yki-ja, H. Genes involved in fatty acid partitioning and binding, inflammation are overexpressed in the human fatty liver of insulin-resistant subjects. Diabetes 2007, 56, 2759–2765. [Google Scholar] [CrossRef] [PubMed]
- Bugianesi, E.; Pagotto, U.; Manini, R.; Vanni, E.; Gastaldelli, A.; De Iasio, R.; Gentilcore, E.; Natale, S.; Cassader, M.; Rizzetto, M.; et al. Plasma Adiponectin in nonalcoholic fatty liver is related to hepatic insulin resistance and hepatic fat content, not to liver disease severity. J. Clin. Endocrinol. Metab. 2005, 90, 3498–3504. [Google Scholar] [CrossRef]
- Radaeva, S.; Sun, R.; Pan, H.N.; Hong, F.; Gao, B. Interleukin 22 (IL-22) Plays a Protective Role in T Cell-mediated Murine Hepatitis: IL-22 Is a Survival Factor for Hepatocytes via STAT3 Activation. Hepatology 2004, 39, 1332–1342. [Google Scholar] [CrossRef] [PubMed]
- Kubes, P.; Mehal, W.Z. Sterile Inflammation in the Liver. Gastroenterology 2012, 143, 1158–1172. [Google Scholar] [CrossRef]
- Szabo, G.; Csak, T. Inflammasomes in liver diseases. J. Hepatol. 2012, 57, 642–654. [Google Scholar] [CrossRef] [PubMed]
- Byun, J.-S.; Yi, H.-S. Hepatic Immune Microenvironment in Alcoholic and Nonalcoholic Liver Disease. BioMed Res. Int. 2017, 2017, 6862439. [Google Scholar] [CrossRef]
- Grigorescu, M.; Crisan, D.; Radu, C.; Grigorescu, M.D.; Sparchez, Z.; Serban, A. A novel pathophysiological-based panel of biomarkers for the diagnosis of nonalcoholic steatohepatitis. J. Physiol. Pharmacol. 2012, 63, 347–353. [Google Scholar] [PubMed]
- Du Plessis, J.; Korf, H.; van Pelt, J.; Windmolders, P.; Vander Elst, I.; Verrijken, A.; Hubens, G.; Van Gaal, L.; Cassiman, D.; Nevens, F.; et al. Pro-Inflammatory Cytokines but Not Endotoxin-Related Parameters Associate with Disease Severity in Patients with NAFLD. PLoS ONE 2016, 11, e0166048. [Google Scholar] [CrossRef]
- Jarrar, M.H.; Baranova, A.; Collantes, R.; Ranard, B.; Stepanova, M.; Bennet, C.; Fang, Y.; Elariny, H.; Goodman, Z.; Chandhoke, V.; et al. Adipokines and Cytokines in Non-Alcoholic Fatty Liver Disease. Aliment. Pharmacol. Ther. 2008, 27, 412–421. [Google Scholar] [CrossRef]
- Roh, Y.S.; Seki, E. Toll-like receptors in alcoholic liver disease, non-alcoholic steatohepatitis and carcinogenesis: The role of TLR in ALD, NASH and HCC. J. Gastroenterol. Hepatol. 2013, 28, 38–42. [Google Scholar] [CrossRef]
- Rivera, C.A.; Adegboyega, P.; van Rooijen, N.; Tagalicud, A.; Allman, M.; Wallace, M. Toll-like receptor-4 signaling and Kupffer cells play pivotal roles in the pathogenesis of non-alcoholic steatohepatitis. J. Hepatol. 2007, 47, 571–579. [Google Scholar] [CrossRef] [PubMed]
- Miura, K.; Kodama, Y.; Inokuchi, S.; Schnabl, B.; Aoyama, T.; Ohnishi, H.; Olefsky, J.M.; Brenner, D.A.; Seki, E. Toll-Like Receptor 9 Promotes Steatohepatitis by Induction of Interleukin-1β in Mice. Gastroenterology 2010, 139, 323–334. [Google Scholar] [CrossRef]
- Miura, K.; Yang, L.; van Rooijen, N.; Brenner, D.A.; Ohnishi, H.; Seki, E. Toll-like receptor 2 and palmitic acid cooperatively contribute to the development of nonalcoholic steatohepatitis through inflammasome activation in mice. Hepatology 2013, 57, 577–589. [Google Scholar] [CrossRef]
- Chu, H.; Williams, B.; Schnabl, B. Gut microbiota, fatty liver disease, and hepatocellular carcinoma. Liver Res. 2018, 2, 43–51. [Google Scholar] [CrossRef]
- Segal-Salto, M.; Barashi, N.; Katav, A.; Edelshtein, V.; Aharon, A.; Hashmueli, S.; George, J.; Maor, Y.; Pinzani, M.; Haberman, D.; et al. A blocking monoclonal antibody to CCL24 alleviates liver fibrosis and inflammation in experimental models of liver damage. JHEP Rep. 2020, 2, 100064. [Google Scholar] [CrossRef]
- Wada, N.; Takaki, A.; Ikeda, F.; Yasunaka, T.; Onji, M.; Nouso, K.; Nakatsuka, A.; Wada, J.; Koike, K.; Miyahara, K.; et al. Serum-inducible protein (IP)-10 is a disease progression-related marker for non-alcoholic fatty liver disease. Hepatol. Int. 2017, 11, 115–124. [Google Scholar] [CrossRef] [PubMed]
- Merriman, R.B.; Ferrell, L.D.; Patti, M.G.; Weston, S.R.; Pabst, M.S.; Aouizerat, B.E.; Bass, N.M. Correlation of paired liver biopsies in morbidly obese patients with suspected nonalcoholic fatty liver disease. Hepatology 2006, 44, 874–880. [Google Scholar] [CrossRef] [PubMed]
- Rinella, M.E.; Sanyal, A.J. Management of NAFLD: A stage-based approach. Nat. Rev. Gastroenterol. Hepatol. 2016, 13, 196–205. [Google Scholar] [CrossRef]
- Contos, M.J.; Sanyal, A.J.; Clinical, N. Use of the Fib4 Index for Non-Invasive Evaluation of Fibrosis in Nonalcoholic Fatty Liver Disease. Clin. Gastroenterol. Hepatol. 2009, 7, 1104–1112. [Google Scholar] [CrossRef]
- Illán-Gómez, F.; Gonzálvez-Ortega, M.; Orea-Soler, I.; Alcaraz-Tafalla, M.S.; Aragón-Alonso, A.; Pascual-Díaz, M.; Pérez-Paredes, M.; Lozano-Almela, M.L. Obesity and inflammation: Change in adiponectin, C-reactive protein, tumour necrosis factor-alpha and interleukin-6 after bariatric surgery. Obes. Surg. 2012, 22, 950–955. [Google Scholar] [CrossRef] [PubMed]
- García de la Torre, N.; Rubio, M.A.; Bordiú, E.; Cabrerizo, L.; Aparicio, E.; Hernández, C.; Sánchez-Pernaute, A.; Díez-Valladares, L.; Torres, A.J.; Puente, M.; et al. Effects of weight loss after bariatric surgery for morbid obesity on vascular endothelial growth factor-A, adipocytokines, and insulin. J. Clin. Endocrinol. Metab. 2008, 93, 4276–4281. [Google Scholar] [CrossRef] [PubMed]
- Tsochatzis, E.A.; Papatheodoridis, G.V.; Archimandritis, A.J. Adipokines in Nonalcoholic Steatohepatitis: From Pathogenesis to Implications in Diagnosis and Therapy. Mediators Inflamm. 2009, 2009, 1–8. [Google Scholar] [CrossRef]
- Sabio, G.; Das, M.; Mora, A.; Zhang, Z.; Jun, J.Y.; Ko, H.J.; Barrett, T.; Kim, J.K.; Davis, R.J. A Stress Signaling Pathway in Adipose Tissue Regulates Hepatic Insulin Resistance. Science 2008, 322, 1539–1543. [Google Scholar] [CrossRef]
- Terra, X.; Quintero, Y.; Auguet, T.; Porras, J.A.; Hernández, M.; Sabench, F.; Aguilar, C.; Luna, A.M.; Castillo, D.D.; Richart, C. FABP 4 is associated with inflammatory markers and metabolic syndrome in morbidly obese women. Eur. J. Endocrinol. 2011, 164, 539–547. [Google Scholar] [CrossRef]
- Suganami, T.; Nishida, J.; Ogawa, Y. A paracrine loop between adipocytes and macrophages aggravates inflammatory changes: Role of free fatty acids and tumor necrosis factor α. Arterioscler. Thromb. Vasc. Biol. 2005, 25, 2062–2068. [Google Scholar] [CrossRef]
- Uysal, S.; Armutcu, F.; Aydogan, T.; Akin, K.; Ikizek, M.; Yigitoglu, M.R. Some inflammatory cytokine levels, iron metabolism and oxidan stress markers in subjects with nonalcoholic steatohepatitis. Clin. Biochem. 2011, 44, 1375–1379. [Google Scholar] [CrossRef]
- Kumar, R.; Prakash, S.; Chhabra, S.; Singla, V.; Madan, K.; Gupta, S.D.; Panda, S.K.; Khanal, S.; Acharya, S.K. Association of pro-inflammatory cytokines, adipokines & oxidative stress with insulin resistance & non-alcoholic fatty liver disease. Indian J. Med. Res. 2012, 136, 229–236. [Google Scholar]
- Bahcecioglu, I.H.; Yalniz, M.; Ataseven, H.; Ilhan, N.; Ozercan, I.H.; Seckin, D.; Sahin, K. Levels of serum hyaluronic acid, TNF-alpha and IL-8 in patients with nonalcoholic steatohepatitis. Hepatogastroenterology 2005, 52, 1549–1553. [Google Scholar]
- Stojsavljević, S.; Gomerčić Palčić, M.; Virović Jukić, L.; Smirčić Duvnjak, L.; Duvnjak, M. Adipokines and proinflammatory cytokines, the key mediators in the pathogenesis of nonalcoholic fatty liver disease. World J. Gastroenterol. 2014, 20, 18070–18091. [Google Scholar] [CrossRef]
- Torer, N.; Ozenirler, S.; Yucel, A.; Bukan, N.; Erdem, O. Importance of cytokines, oxidative stress and expression of BCL-2 in the pathogenesis of non-alcoholic steatohepatitis. Scand. J. Gastroenterol. 2007, 42, 1095–1101. [Google Scholar] [CrossRef]
- Kim, J.S.; Lê, K.-A.; Mahurkar, S.; Davis, J.N.; Goran, M.I. Influence of elevated liver fat on circulating adipocytokines and insulin resistance in obese Hispanic adolescents. Pediatr. Obes. 2012, 7, 158–164. [Google Scholar] [CrossRef]
- Koca, S.S.; Bahcecioglu, I.H.; Poyrazoglu, O.K.; Ozercan, I.H.; Sahin, K.; Ustundag, B. The Treatment with Antibody of TNF-α Reduces the Inflammation, Necrosis and Fibrosis in the Non-alcoholic Steatohepatitis Induced by Methionine- and Choline-deficient Diet. Inflammation 2008, 31, 91–98. [Google Scholar] [CrossRef]
- Kamari, Y.; Shaish, A.; Vax, E.; Shemesh, S.; Kandel-Kfir, M.; Arbel, Y.; Olteanu, S.; Barshack, I.; Dotan, S.; Voronov, E.; et al. Lack of interleukin-1α or interleukin-1β inhibits transformation of steatosis to steatohepatitis and liver fibrosis in hypercholesterolemic mice. J. Hepatol. 2011, 55, 1086–1094. [Google Scholar] [CrossRef]
- Jamali, R.; Arj, A.; Razavizade, M.; Aarabi, M.H. Prediction of Nonalcoholic Fatty Liver Disease Via a Novel Panel of Serum Adipokines. Medicine (Baltimore) 2016, 95, e2630. [Google Scholar] [CrossRef]
- Chu, C.-J.; Lu, R.-H.; Wang, S.-S.; Chang, F.-Y.; Lin, S.-Y.; Yang, C.-Y.; Lin, H.-C.; Chang, C.-Y.; Wu, M.-Y.; Lee, S.-D. Plasma levels of interleukin-6 and interleukin-8 in Chinese patients with non-alcoholic fatty liver disease. Hepatogastroenterology 2007, 54, 2045–2048. [Google Scholar]
- Mantovani, A.; Bonecchi, R.; Locati, M. Tuning inflammation and immunity by chemokine sequestration: Decoys and more. Nat. Rev. Immunol. 2006, 6, 907–918. [Google Scholar] [CrossRef] [PubMed]
- Polyzos, S.A.; Toulis, K.A.; Goulis, D.G.; Zavos, C.; Kountouras, J. Serum total adiponectin in nonalcoholic fatty liver disease: A systematic review and meta-analysis. Metabolism 2011, 60, 313–326. [Google Scholar] [CrossRef]
- Chiu, C.-C.; Ching, Y.-H.; Li, Y.-P.; Liu, J.-Y.; Huang, Y.-T.; Huang, Y.-W.; Yang, S.-S.; Huang, W.-C.; Chuang, H.-L. Nonalcoholic Fatty Liver Disease Is Exacerbated in High-Fat Diet-Fed Gnotobiotic Mice by Colonization with the Gut Microbiota from Patients with Nonalcoholic Steatohepatitis. Nutrients 2017, 9, 1220. [Google Scholar] [CrossRef]
- Friedman, S.L.; Neuschwander-Tetri, B.A.; Rinella, M.; Sanyal, A.J. Mechanisms of NAFLD development and therapeutic strategies. Nat. Med. 2018, 24, 908–922. [Google Scholar] [CrossRef]
- Kleiner, D.E.; Brunt, E.M.; Van Natta, M.; Behling, C.; Contos, M.J.; Cummings, O.W.; Ferrell, L.D.; Liu, Y.C.; Torbenson, M.S.; Unalp-Arida, A.; et al. Design and validation of a histological scoring system for nonalcoholic fatty liver disease. Hepatology 2005, 41, 1313–1321. [Google Scholar] [CrossRef]
- Brunt, E.M.; Janney, C.G.; Di Bisceglie, M.A.; Neuschwander-Tetri, B.; Bacon, B.R. Nonalcoholic Steatohepatitis: A Proposal for Grading and Staging the Histological Lesions. Am. J. Gastroenterol. 1999, 94, 2467–2474. [Google Scholar] [CrossRef]




| Variables | NW (n = 29) | MO (n = 82) | NL (n = 29) | SS (n = 32) | NASH (n = 21) |
|---|---|---|---|---|---|
| Age (years) | 41.99 ± 9.20 | 46.31 ± 10.78 | 43.05 ± 10.35 | 47.49 ± 11.54 | 48.99 ± 9.45 |
| Weight (kg) | 57.01 ± 6.26 * | 118.19 ± 16.10 | 119.10 ± 19.88 | 119.81 ± 13.94 | 114.45 ± 13.23 |
| BMI (kg/m2) | 21.56 ± 2.17 * | 44.92 ± 5.03 | 44.38 ± 5.34 | 45.63 ± 5.42 | 44.57 ± 3.93 |
| GLUC (mg/dL) | 81.03 ± 6.79 * | 109.57 ± 60.97 | 91.86 ± 42.51 § | 135.15 ± 82.11 | 95.04 ± 18.79 |
| INS (mUI/L) | 6.15 ± 1.83 * | 15.93 ± 14.30 | 11.98 ± 8.68 | 19.36 ± 18.03 | 16.61 ± 14.23 |
| HOMA2-IR | 0.78 ± 0.23 * | 2.08 ± 1.87 | 1.54 ± 1.10 | 2.61 ± 2.42 | 2.10 ± 1.76 |
| HbA1c (%) | 5.34 ± 0.37 * | 6.00 ± 1.17 | 5.63 ± 0.72 | 6.42 ± 1.50 | 5.92 ± 1.00 |
| COL (mg/dl) | 180.88 ± 33.74 | 175.39 ± 36.65 | 172.60 ± 35.49 | 173.55 ± 35.54 | 181.11 ± 40.64 |
| HDL-C (mg/dL) | 71.30 ± 13.47 * | 41.85 ± 11.45 | 41.89 ± 10.84 | 43.96 ± 13.62 | 38.55 ± 7.84 |
| LDL-C (mg/dL) | 96.15 ± 28.20 | 103.79 ± 28.64 | 107.74 ± 27.33 | 100.90 ± 29.24 | 103.06 ± 30.59 |
| TGL (mg/dL) | 64.88 ± 27.92 * | 139.92 ± 70.17 | 114.36 ± 31.56 | 141.23 ± 59.13 | 167.73 ± 102.07 |
| AST (U/L) | 18.80 ± 5.15 * | 28.50 ± 17.37 | 26.22 ± 14.72 | 26.73 ± 15.72 | 33.95 ± 21.88 |
| ALT (U/L) | 17.50 ± 7.45 * | 30.81 ± 17.79 | 27.71 ± 15.34 | 32.19 ± 16.97 | 32.90 ± 21.89 |
| GGT (U/L) | 15.56 ± 8.12 * | 29.18 ± 28.71 | 27.32 ± 30.85 | 31.74 ± 32.09 | 27.74 ± 19.08 |
| ALP (U/L) | 54.15 ± 13.24 * | 67.45 ± 15.53 | 62.15 ± 14.90 § | 75.00 ± 15.35 # | 62.59 ± 12.36 |
| Variables | NW (n = 29) | MO (n = 82) | p-Value |
|---|---|---|---|
| IL-1β (pg/mL) | 2.85 (2.36–4.03) | 4.12 (2.93–5.93) | 0.004 |
| IL-6 (pg/mL) | 3.90 (2.57–6.09) | 3.63 (2.42–5.73) | 0.439 |
| IL-7 (pg/mL) | 6.53 (4.64–9.02) | 6.60 (4.45–8.95) | 0.788 |
| IL-8 (pg/mL) | 2.92 (1.81–3.46) | 3.44 (2.67–4.29) | 0.010 |
| IL-22 (pg/mL) | 2.69 (0.35–10.27) | 3.81 (0.46–9.11) | 0.669 |
| IL-13 (pg/mL) | 7.11 (1.31–10.78) | 5.15 (2.00–22.64) | 0.390 |
| IL-10 (pg/mL) | 1.33 (1.01–2.97) | 3.28 (1.51–6.49) | <0.001 |
| IL-17 (pg/mL) | 0.19 (0.04–0.37) | 0.23 (0.02–0.28) | 0.158 |
| TNF-α (pg/mL) | 6.59 (4.77–7.65) | 10.25 (7.68–12.22) | <0.001 |
| tPAI-1(ng/mL) | 13.02 (7.97–18.62) | 62.96 (44.09–101.15) | <0.001 |
| MCP-1 (pg/mL) | 47.59 (38.70–57.28) | 85.95 (66.49–110.49) | <0.001 |
| Adiponectin (ng/mL) | 20,146.39 (9800.70–24,305.90) | 11,774.80 (7504–17,049.80) | 0.007 |
| TLR4 (ng/mL) | 2.80 (1.88–4.23) | 2.63 (1.61–3.26) | 0.152 |
| Variables | NL (n = 29) | SS (n = 32) | NASH (n = 21) | p-Value |
|---|---|---|---|---|
| IL-1β (pg/mL) | 3.59 (2.94–5.48) | 4.38 (2.53–6.33) | 4.47 (3.35–7.21) | 0.538 |
| IL-6 (pg/mL) | 3.99 (2.62–5.78) | 3.11 (2.33–4.41) | 4.16 (2.34–6.33) | 0.255 |
| IL-7 (pg/mL) | 6.46 (3.76–9.17) | 6.15 (4.52–8.25) | 7.39 (4.97–12.03) | 0.633 |
| IL-8 (pg/mL) | 2.87 (2.35–3.58) ¤ | 3.61 (2.56–4.29) | 3.75 (3.11–5.16) | 0.013 |
| IL-22 (pg/mL) | 2.34 (0.35–7.73) | 3.85 (1.40–11.13) | 3.84 (0.35–8.15) | 0.326 |
| IL-13 (pg/mL) | 5.15 (1.35–20.37) | 5.06 (2.01–21.19) | 6.682 (2.41–28.37) | 0.641 |
| IL-10 (pg/mL) | 3.72 (1.40–6.92) | 2.65 (1.78–4.59) | 3.36 (1.44–8.34) | 0.960 |
| IL-17 (pg/mL) | 0.11 (0.02–0.28) | 0.25 (0.02–0.33) | 0.25 (0.02–0.28) | 0.890 |
| TNF-α (pg/mL) | 10.15 (8.01–11.75) | 9.94 (7.22–11.44) | 11.11 (8.71–12.57) | 0.510 |
| tPAI-1 (ng/mL) | 59.26 (40.11–84.80) | 68.99 (47.19–117.70) | 66.86 (37.77–101.41) | 0.227 |
| MCP-1 (ng/mL) | 81.99 (54.57–97.84) | 99.48 (76.31–115.62) | 74.08 (61.24–103.72) | 0.130 |
| Adiponectin (ng/mL) | 13,807.08 (8189.6–19,471.4) ¤ | 12,698.42 (8114.50–16,986.45) | 8496.70 (6431.6–11,659) | 0.060 |
| TLR4 (ng/mL) | 2.62 (1.88–3.06) | 1.99(0.84–2.97) | 2.72(1.70–5.26) | 0.670 |
© 2020 by the authors. Licensee MDPI, Basel, Switzerland. This article is an open access article distributed under the terms and conditions of the Creative Commons Attribution (CC BY) license (http://creativecommons.org/licenses/by/4.0/).
Share and Cite
Auguet, T.; Bertran, L.; Binetti, J.; Aguilar, C.; Martínez, S.; Sabench, F.; Lopez-Dupla, J.M.; Porras, J.A.; Riesco, D.; Del Castillo, D.; et al. Relationship between IL-8 Circulating Levels and TLR2 Hepatic Expression in Women with Morbid Obesity and Nonalcoholic Steatohepatitis. Int. J. Mol. Sci. 2020, 21, 4189. https://doi.org/10.3390/ijms21114189
Auguet T, Bertran L, Binetti J, Aguilar C, Martínez S, Sabench F, Lopez-Dupla JM, Porras JA, Riesco D, Del Castillo D, et al. Relationship between IL-8 Circulating Levels and TLR2 Hepatic Expression in Women with Morbid Obesity and Nonalcoholic Steatohepatitis. International Journal of Molecular Sciences. 2020; 21(11):4189. https://doi.org/10.3390/ijms21114189
Chicago/Turabian StyleAuguet, Teresa, Laia Bertran, Jessica Binetti, Carmen Aguilar, Salomé Martínez, Fàtima Sabench, Jesús Miguel Lopez-Dupla, José Antonio Porras, David Riesco, Daniel Del Castillo, and et al. 2020. "Relationship between IL-8 Circulating Levels and TLR2 Hepatic Expression in Women with Morbid Obesity and Nonalcoholic Steatohepatitis" International Journal of Molecular Sciences 21, no. 11: 4189. https://doi.org/10.3390/ijms21114189
APA StyleAuguet, T., Bertran, L., Binetti, J., Aguilar, C., Martínez, S., Sabench, F., Lopez-Dupla, J. M., Porras, J. A., Riesco, D., Del Castillo, D., & Richart, C. (2020). Relationship between IL-8 Circulating Levels and TLR2 Hepatic Expression in Women with Morbid Obesity and Nonalcoholic Steatohepatitis. International Journal of Molecular Sciences, 21(11), 4189. https://doi.org/10.3390/ijms21114189

