Synthesis of Fluorescent Dansyl Derivatives of Methoxyamine and Diphenylhydrazine as Free Radical Precursors
Abstract
1. Introduction
2. Results and Discussion
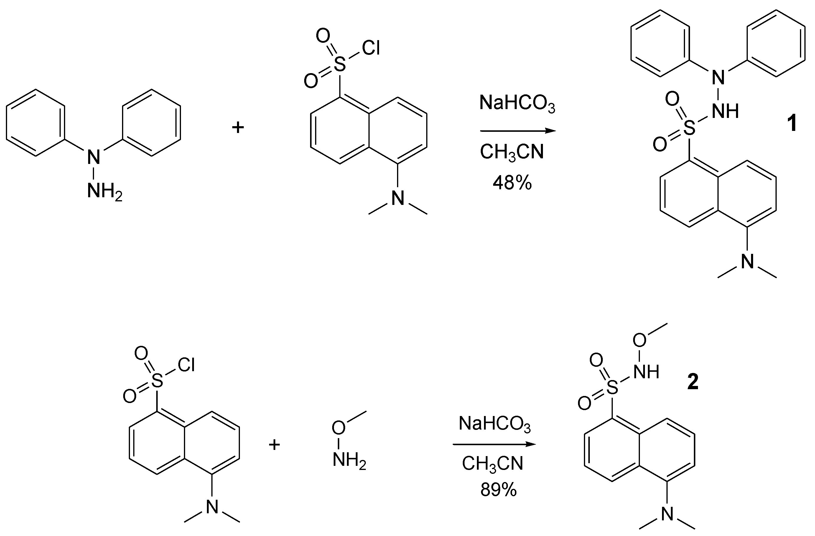
2.1. Synthesis of Dansyl Derivatives 1 and 2 and Structural Characterization
2.2. Photo-Physical Properties
2.3. Formation of Free Radicals
3. Materials and Methods
3.1. Chemicals and Apparatus
3.2. Synthesis
4. Conclusions
Author Contributions
Funding
Conflicts of Interest
References
- Forrester, A.R.; Hay, J.M.; Thomson, R.H. Organic Chemistry of Stable Free Radicals; Academic Press: London, UK, 1968. [Google Scholar]
- Chechik, V.; Carter, E.; Murphy, D. Electron Paramagnetic Resonance; Oxford University Press: Oxford, UK, 2016. [Google Scholar]
- Goldschmidt, S.; Renn, K. Zweiwertiger Stickstoff: Über das α,α-Diphenyl-β-trinitrophenylhydrazyl. Ber. Dtsch. Chem. Ges. 1922, 55, 628–643. [Google Scholar] [CrossRef]
- Hicks, R.G. Stable radicals. In Fundamentals and Applied Aspects of Odd-Electron Compounds; John Wiley Sons: Chichester, UK, 2010. [Google Scholar]
- Likhtenshtein, G. Nitroxides-Brief History, Fundamentals, and Recent Developments; Springer International Publishing: Cham, Switzerland, 2020. [Google Scholar] [CrossRef]
- Negoita, N.; Baican, R.; Balaban, A.T. N-(2,4,6-tricarbomethoxyphenyl)-alkoxyaminyls, new push-pull stable nitrogen free radicals. Tetrah. Lett. 1973, 21, 1877–1878. [Google Scholar] [CrossRef]
- Stanciuc, G.; Caproiu, M.T.; Caragheorgheopol, A.; Caldararu, H.; Balaban, A.T.; Walter, R.I. Factors affecting the stability and equilibria of free radicals. XIII. N-alkoxy- and N-aralkoxypicrylamines and ESR spectra of the corresponding capto-dative persistent aminyls. J. Mag. Res. 1987, 75, 63–72. [Google Scholar] [CrossRef]
- Balaban, A.T.; Constantinescu, T.; Caproiu, M.T.; Giorgi, M.; Balaban, T.S. Crystal and molecular structure of 1-picryl-2-phenyl-2-(4-picrylamidophenyl)-diazenium betaine: Analogy between a picramido group and an oxygen atom. Zeits. Naturforschung B 2017, 72, 89–94. [Google Scholar] [CrossRef]
- Walker, J.M. The dansyl method for identifying N-terminal amino acids. Methods Mol. Biol. 1994, 32, 321–328. [Google Scholar] [CrossRef]
- Maciążek-Jurczyk, M.; Janas, K.; Pożycka, J.; Szkudlarek, A.; Rogóż, W.; Owczarzy, A.; Kulig, K. Human serum albumin aggregation/fibrillation and its abilities to drugs binding. Molecules 2020, 25, 618. [Google Scholar] [CrossRef]
- Ndzibongwana, S.; Ngobese, S.; Sayed, A.; Shongwe, C.; White-Phillips, S.; Joubert, J. Structural analysis, molecular modelling and preliminary competition binding studies of AM-DAN as a NMDA receptor PCP-site fluorescent ligand. Molecules 2019, 24, 4092. [Google Scholar] [CrossRef]
- Kinoshita, T.; Iinuma, F.; Tsuji, A. Microanalysis of Proteins and Peptides. I. Enhancement of the fluorescence intensity of dansylaminoacids and dansylproteins in aqueous media and its application to assay of aminoacids and proteins. Chem. Pharm. Bull. 1974, 22, 2413–2420. [Google Scholar] [CrossRef][Green Version]
- Streyer, L.; Griffith, O.H. A spin-labeled hapten. Proc. Natl. Acad. Sci. USA 1965, 54, 1785–1791. [Google Scholar] [CrossRef]
- Borozdina, Y.B.; Kamm, V.; Laquai, F.; Baumgarten, M. Tuning the sensitivity of fluorophore–nitroxide radicals. J. Mater. Chem. 2012, 22, 13260–13267. [Google Scholar] [CrossRef]
- Ahn, H.-Y.; Fairfull-Smith, K.E.; Morrow, B.J.; Lussini, V.; Kim, B.; Bondar, M.V.; Bottle, S.E.; Belfield, K.D. Two-photon fluorescence microscopy imaging of cellular oxidative stress using profluorescentnitroxides. J. Am. Chem. Soc. 2012, 134, 4721–4730. [Google Scholar] [CrossRef] [PubMed]
- Tudose, M.; Angelescu, D.; Ionita, G.; Caproiu, M.T.; Ionita, P. New hydrazyl derivatives with multiple properties. Lett. Org. Chem. 2010, 7, 182–185. [Google Scholar] [CrossRef]
- Tudose, M.; Badea, F.D.; Ionita, G.; Maganu, M.; Caproiu, M.T.; Ionita, P.; Constantinescu, T.; Balaban, A.T. N-Alkoxy-3,5-dinitro-4-aminobenzoic acid derivatives with controlled physico-chemical properties. Struct. Chem. 2010, 21, 1227–1234. [Google Scholar] [CrossRef]
- Hristea, E.N.; Bem, M.; Balaban, T.S.; Eichhöfer, A.; Caproiu, M.T.; Draghici, C.; Ionita, G.; Spataru, T.; Enache, C.; Maganu, M.; et al. Novel 1,1-diphenylhydrazine derivatives of benzofurazanand their dimerization. Arkivoc 2011, 198–221. [Google Scholar] [CrossRef]
- Balaban, A.T.; Negoita, N. Factors affecting stability and equilibria of free radicals. VII. Arenesulphonyl-phenyl-nitroxides and 1-arenesuphonyl-2,2-diphenyl-hydrazyls. Rev. Roum. Chim. 1972, 17, 1227–1234. [Google Scholar]
- Balaban, A.T.; Caproiu, M.T.; Negoita, N.; Baican, R. Factors affecting stability and equilibria of free radicals-IX: Non-equivalence of aryl groups in 1,1-diaryl-2-benzenesulphonyl-hydrazyls and related compounds. Tetrahedron 1977, 33, 2249–2952. [Google Scholar] [CrossRef]
- Balaban, A.T.; Negoita, N.; Baican, R. 2,2-diphenyl-1-(trifluoromethanesulphonyl)-hydrazyl. Chem. Phys. Lett. 1974, 24, 30–32. [Google Scholar] [CrossRef]
- Bem, M.; Baratoiu, R.; Radutiu, C.; Lete, C.; Mocanu, S.; Ionita, G.; Lupu, S.; Caproiu, M.T.; Madalan, A.M.; Patrascu, B.; et al. Synthesis and structural characterization of some novel methoxyamino derivatives with acid-base and redox behavior. J. Molec. Struct. 2018, 1173, 291–299. [Google Scholar] [CrossRef]
- Srivastava, P.; Ali, R.; Razi, S.S.; Shahid, M.; Patnaik, S.; Misra, A. A simple blue fluorescent probe to detect Hg2+ in semiaqueous environment by intramolecular charge transfer mechanism. Tetrah. Lett. 2013, 54, 3688–3693. [Google Scholar] [CrossRef]
- Takehira, K.; Suzuki, K.; Hiratsuka, H.; Tobita, S. Fast internal conversion in 1-(dimethylamino)naphthalene: Effects of methoxy substitution on the naphthalene ring. Chem. Phys. Lett. 2005, 413, 52–58. [Google Scholar] [CrossRef]
- Buettner, G.R. Spin Trapping: ESR parameters of spin adducts. Free Rad. Biol. Med. 1987, 3, 259–303. [Google Scholar] [CrossRef]









| S1-O1 = 1.4201(14) | C1-C2 = 1.364(2) | C3-C4 = 1.361(2) |
| S1-O2 = 1.4229(14) | C2-C3 = 1.395(2) | C4-C5 = 1.407(2) |
| S1-N1 = 1.6601(16) | C1-C10 = 1.433(2) | C5-C6 = 1.440(2) |
| S1-C1 = 1.7842(16) | C9-C10 = 1.415(2) | C5-C10 = 1.432(2) |
| N2-C6 = 1.4301(19) | C6-C7 = 1.366(2) | C7-C8 = 1.402(2) |
| N2-C13 = 1.462(2) | N1-O3 = 1.4192(19) | C8-C9 = 1.359(2) |
| N2-C12 = 1.467(2) | N1-H1N = 0.91(2) | O3-C11 = 1.407(3) |
| Compound | 2 |
|---|---|
| Chemical formula | C13H16N2O3S |
| M (g mol−1) | 280.34 |
| Temperature, (K) | 293(2) |
| Wavelength, (Å) | 0.71073 |
| Crystal system | Monoclinic |
| Space group | P21/n |
| a(Å) | 12.6867(8) |
| b(Å) | 7.6790(7) |
| c(Å) | 14.6837(10) |
| α(°) | 90 |
| β(°) | 109.485(5) |
| γ(°) | 90 |
| V(Å3) | 1348.58(18) |
| Z | 4 |
| Dc (g cm–3) | 1.381 |
| μ (mm–1) | 0.246 |
| F(000) | 592 |
| Goodness-of-fit on F2 | 1.031 |
| Final R1, wR2 [I > 2σ(I)] | 0.0354, 0.0966 |
| R1, wR2(all data) | 0.0480, 0.1035 |
| Largest diff. peak and hole (eÅ–3) | 0.352, −0.277 |
© 2020 by the authors. Licensee MDPI, Basel, Switzerland. This article is an open access article distributed under the terms and conditions of the Creative Commons Attribution (CC BY) license (http://creativecommons.org/licenses/by/4.0/).
Share and Cite
Patrascu, B.; Mocanu, S.; Coman, A.; Madalan, A.M.; Popescu, C.; Paun, A.; Matache, M.; Ionita, P. Synthesis of Fluorescent Dansyl Derivatives of Methoxyamine and Diphenylhydrazine as Free Radical Precursors. Int. J. Mol. Sci. 2020, 21, 3559. https://doi.org/10.3390/ijms21103559
Patrascu B, Mocanu S, Coman A, Madalan AM, Popescu C, Paun A, Matache M, Ionita P. Synthesis of Fluorescent Dansyl Derivatives of Methoxyamine and Diphenylhydrazine as Free Radical Precursors. International Journal of Molecular Sciences. 2020; 21(10):3559. https://doi.org/10.3390/ijms21103559
Chicago/Turabian StylePatrascu, Bianca, Sorin Mocanu, Anca Coman, Augustin M. Madalan, Codruta Popescu, Anca Paun, Mihaela Matache, and Petre Ionita. 2020. "Synthesis of Fluorescent Dansyl Derivatives of Methoxyamine and Diphenylhydrazine as Free Radical Precursors" International Journal of Molecular Sciences 21, no. 10: 3559. https://doi.org/10.3390/ijms21103559
APA StylePatrascu, B., Mocanu, S., Coman, A., Madalan, A. M., Popescu, C., Paun, A., Matache, M., & Ionita, P. (2020). Synthesis of Fluorescent Dansyl Derivatives of Methoxyamine and Diphenylhydrazine as Free Radical Precursors. International Journal of Molecular Sciences, 21(10), 3559. https://doi.org/10.3390/ijms21103559

