Targeted Capture of Chinese Hamster Ovary Host Cell Proteins: Peptide Ligand Discovery
Abstract
1. Introduction
2. Results
2.1. Library Design, Synthesis, and Screening
2.2. Sequencing of HCP-Binding Ligand Candidates
2.3. Secondary Screening of HCP-Binding Ligand Groups by Static Binding Evaluation
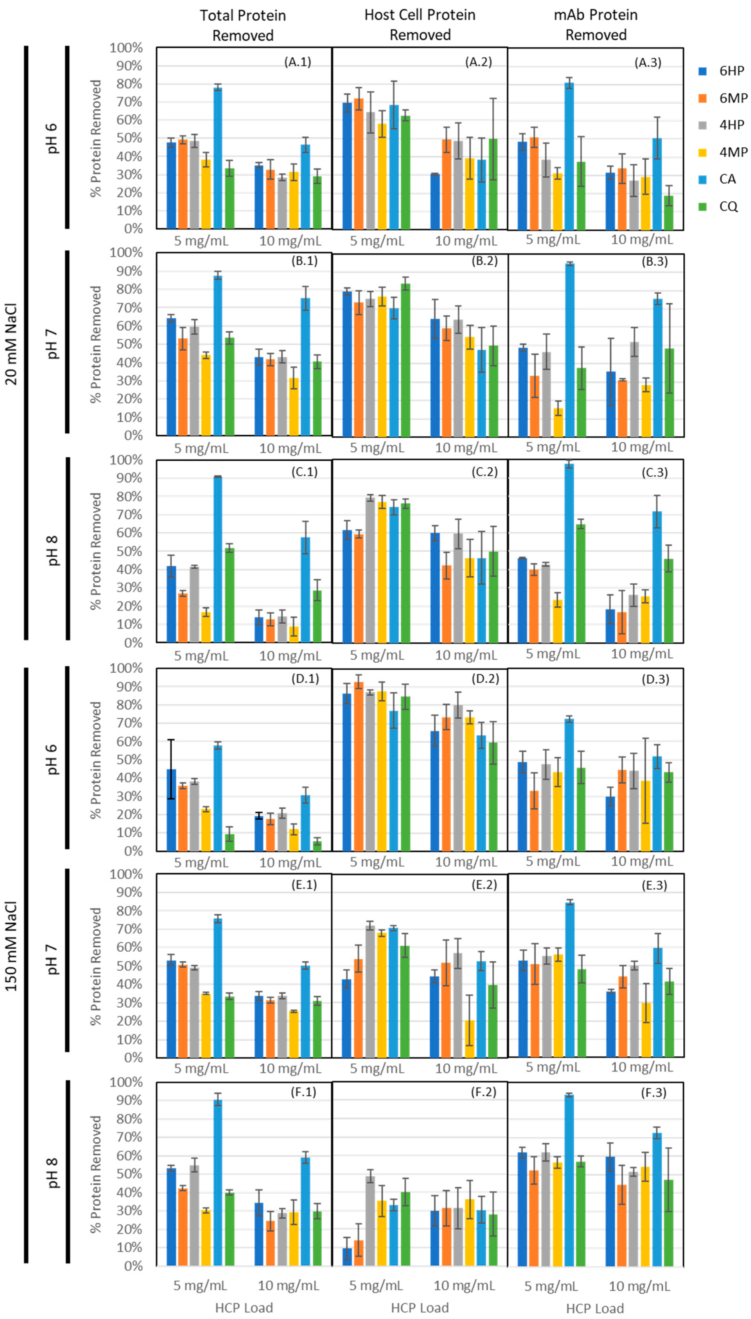
2.4. Resin Targeted Binding
3. Discussion
4. Materials and Methods
4.1. Materials
4.2. Methods
4.2.1. Solid Phase Peptide Synthesis and Deprotection
4.2.2. CHO-S Culture and Harvest for Host Cell Protein Production
4.2.3. Fluorescent Labeling of IgG and CHO-S HCPs
4.2.4. Fluorescence Screening of Solid Phase Peptide Libraries Against IgG and CHO-S HCPs
4.2.5. Lead Peptide Sequencing by LC/MS/MS
4.2.6. Secondary Screening Static Binding Studies
4.2.7. Quantification of Total Protein, Host Cell Protein, and IgG Removal
- C: protein concentration in mg/mL
- V: Volume from the relevant fraction in mL
5. Patents
Author Contributions
Funding
Acknowledgments
Conflicts of Interest
Abbreviations
| HCP | Host cell protein |
| CHO | Chinese hamster ovary |
| SPARC | Secreted protein acidic and cysteine-rich |
| FT | Flow-through |
| HMBA | Hydroxymethylbenzoic acid |
| SPPS | Solid phase peptide synthesis |
| LC/MS/MS | Liquid chromatography-tandem mass spectrometry |
| OBOP | One-bead-one-peptide |
| DMF | N′,N′-dimethylformamide |
| Fmoc | fluorenylmethyloxycarbonyl |
| HATU | 7-Azabenzotriazol-1-yloxy)tripyrrolidino-phosphonium hexafluorophosphate |
| DIPEA | diisopropylethylamine |
| NMP | N-methyl-2-pyrrolidone |
| TFA | Trifluoroacetic acid |
| EDT | Ethanedithiol |
| TIPS | triisopropylsilane |
| mAb | Monoclonal antibody |
| IgG | Immunoglobulin |
| PES | Polyethersulfone |
| Q-ToF | Quadrupole time-of-flight mass spectrometer |
| UPLC | Ultra performance liquid chromatography |
| ESI | Electrospray ionization |
Appendix A

Appendix B
| Sample | Output | Low Load (≈5 mg HCP/mL Resin) | High Load (≈10 mg HCP/mL Resin) | ||||||||||
|---|---|---|---|---|---|---|---|---|---|---|---|---|---|
| 20 mM NaCl | 150 mM NaCl | 20 mM NaCl | 150 mM NaCl | ||||||||||
| pH 6 | pH 7 | pH 8 | pH 6 | pH 7 | pH 8 | pH 6 | pH 7 | pH 8 | pH 6 | pH 7 | pH 8 | ||
| Load | TP Mass (mg) | 1.3 ± 0.038 | 1.1 ± 0.038 | 1.0 ± 0.015 | 1.1 ± 0.032 | 1.3 ± 0.027 | 0.9 ± 0.023 | 2.6 ± 0.048 | 2.2 ± 0.034 | 2.0 ± 0.048 | 2.1 ± 0.012 | 2.6 ± 0.041 | 1.8 ± 0.065 |
| HCP Mass (mg) | 0.14 ± 0.0042 | 0.12 ± 0.0042 | 0.11 ± 0.0016 | 0.073 ± 0.0022 | 0.15 ± 0.0029 | 0.099 ± 0.0025 | 0.28 ± 0.0053 | 0.25 ± 0.0039 | 0.22 ± 0.0053 | 0.15 ± 0.00084 | 0.28 ± 0.0046 | 0.20 ± 0.0072 | |
| mAb Mass (mg) | 1.1 ± 0.034 | 0.91 ± 0.032 | 1.1 ± 0.015 | 1.3 ± 0.038 | 1.6 ± 0.031 | 1.1 ± 0.028 | 2.3 ± 0.042 | 0.8 ± 0.300 | 2.1 ± 0.050 | 2.5 ± 0.015 | 3.0 ± 0.048 | 2.2 ± 0.080 | |
| 6HP | TP Mass (mg) | 0.65 ± 0.020 | 0.42 ± 0.021 | 0.60 ± 0.074 | 0.58 ± 0.19 | 0.63 ± 0.042 | 0.42 ± 0.028 | 1.7 ± 0.021 | 1.3 ± 0.077 | 1.8 ± 0.11 | 1.7 ± 0.030 | 1.7 ± 0.057 | 1.2 ± 0.17 |
| TP Removed (%) | 48% ± 2.6% | 62% ± 1.9% | 42% ± 5.9% | 45% ± 16% | 53% ± 2.9% | 53% ± 1.4% | 35% ± 1.3% | 43% ± 4.4% | 14% ± 3.9% | 19% ± 1.8% | 34% ± 2.5% | 35% ± 7.1% | |
| HCP Mass (mg) | 0.042 ± 0.0061 | 0.025 ± 0.0024 | 0.044 ± 0.0047 | 0.016 ± 0.0068 | 0.084 ± 0.0079 | 0.090 ± 0.0039 | 0.20 ± 0.0073 | 0.089 ± 0.027 | 0.090 ± 0.0078 | 0.078 ± 0.019 | 0.160 ± 0.0090 | 0.14 ± 0.021 | |
| HCP Removed (%) | 70% ± 4.8% | 79% ± 2.0% | 62% ± 5.1% | 86% ± 5.5% | 43% ± 5.0% | 9.4% ± 5.9% | 30% ± 0.53% | 64% ± 11% | 60% ± 4.1% | 66% ± 8.5% | 44% ± 3.6% | 30% ± 8.2% | |
| mAb Mass (mg) | 0.57 ± 0.056 | 0.48 ± 0.018 | 0.58 ± 0.010 | 0.63 ± 0.078 | 0.74 ± 0.091 | 0.42 ± 0.040 | 1.6 ± 0.035 | 0.99 ± 0.28 | 1.7 ± 0.18 | 1.74 ± 0.089 | 2.0 ± 0.15 | 1.0 ± 0.26 | |
| mAb Removed (%) | 48% ± 4.4% | 49% ± 1.9% | 46% ± 0.5% | 49% ± 6.0% | 53% ± 5.5% | 62% ± 3.0% | 30% ± 3.6% | 36% ± 18% | 21% ± 7.2% | 31% ± 3.8% | 34% ± 4.1% | 54% ± 11% | |
| HCP TBR | 1.4 ± 0.11 | 1.6 ± 0.03 | 1.3 ± 0.10 | 1.8 ± 0.20 | 0.8 ± 0.03 | 0.2 ± 0.09 | 1.0 ± 0.13 | 2.0 ± 0.73 | 3.2 ± 1.6 | 2.2 ± 0.045 | 1.3 ± 0.29 | 0.55 ± 0.11 | |
| 6MP | TP Mass (mg) | 0.66 ± 0.031 | 0.58 ± 0.068 | 0.75 ± 0.016 | 0.68 ± 0.025 | 0.66 ± 0.021 | 0.53 ± 0.016 | 1.7 ± 0.18 | 1.3 ± 0.054 | 1.8 ± 0.026 | 1.7 ± 0.056 | 1.8 ± 0.054 | 1.3 ± 0.087 |
| TP Removed (%) | 49% ± 2.2% | 48% ± 6.1% | 27% ± 1.5% | 36% ± 1.6% | 51% ± 1.4% | 42% ± 1.3% | 33% ± 5.3% | 42% ± 3.2% | 13% ± 3.5% | 18% ± 3.0% | 31% ± 1.6% | 24% ± 5.2% | |
| HCP Mass (mg) | 0.040 ± 0.010 | 0.033 ± 0.0083 | 0.046 ± 0.0034 | 0.0084 ± 0.0046 | 0.068 ± 0.011 | 0.086 ± 0.0093 | 0.14 ± 0.016 | 0.099 ± 0.015 | 0.13 ± 0.016 | 0.061 ± 0.016 | 0.14 ± 0.034 | 0.13 ± 0.018 | |
| HCP Removed (%) | 72% ± 6.0% | 73% ± 6.5% | 59% ± 2.3% | 93% ± 3.8% | 54% ± 7.3% | 14% ± 8.8% | 49.4% ± 6.9% | 59.3% ± 6.7% | 42.2% ± 7.4% | 73.5% ± 6.9% | 51.7% ± 12.4% | 31.3% ± 9.6% | |
| mAb Mass (mg) | 0.565 ± 0.054 | 0.620 ± 0.110 | 0.642 ± 0.036 | 0.853 ± 0.128 | 0.770 ± 0.169 | 0.530 ± 0.087 | 1.5 ± 0.19 | 1.0 ± 0.022 | 1.7 ± 0.24 | 1.4 ± 0.17 | 1.7 ± 0.20 | 1.2 ± 0.22 | |
| mAb Removed (%) | 51% ± 5.4% | 33% ± 12% | 40% ± 3.3% | 33% ± 10% | 51% ± 11% | 52% ± 7.5% | 34% ± 8.2% | 31% ± 0.56% | 17% ± 12% | 44% ± 6.9% | 44% ± 6.2% | 44% ± 10% | |
| HCP TBR | 1.4 ± 0.26 | 2.4 ± 1.1 | 1.5 ± 0.086 | 3.0 ± 0.74 | 1.1 ± 0.37 | 0.27 ± 0.17 | 1.5 ± 0.36 | 1.9 ± 0.25 | 5.3 ± 6.1 | 1.7 ± 0.12 | 1.2 ± 0.37 | 0.70 ± 0.063 | |
| 4HP | TP Mass (mg) | 0.67 ± 0.050 | 0.43 ± 0.011 | 0.61 ± 0.010 | 0.66 ± 0.017 | 0.66 ± 0.043 | 0.40 ± 0.033 | 1.8 ± 0.035 | 1.2 ± 0.046 | 1.8 ± 0.103 | 1.7 ± 0.057 | 1.7 ± 0.067 | 1.2 ± 0.071 |
| TP Removed (%) | 48% ± 3.6% | 58% ± 3.9% | 42% ± 0.8% | 38% ± 1.5% | 49% ± 1.3% | 55% ± 3.6% | 28% ± 1.7% | 43% ± 3.4% | 14% ± 3.7% | 21% ± 2.7% | 34% ± 1.6% | 29% ± 2.7% | |
| HCP Mass (mg) | 0.051 ± 0.016 | 0.028 ± 0.0065 | 0.024 ± 0.0021 | 0.015 ± 0.0015 | 0.040 ± 0.0046 | 0.051 ± 0.0034 | 0.14 ± 0.026 | 0.088 ± 0.016 | 0.092 ± 0.019 | 0.046 ± 0.016 | 0.12 ± 0.022 | 0.13 ± 0.018 | |
| HCP Removed (%) | 64% ± 11% | 75% ± 4.2% | 79% ± 1.8% | 87% ± 1.3% | 72% ± 2.3% | 49% ± 3.4% | 49% ± 9.7% | 64% ± 7.4% | 59% ± 8.2% | 80% ± 7.1% | 57% ± 7.9% | 31% ± 11% | |
| mAb Mass (mg) | 0.71 ± 0.11 | 0.46 ± 0.050 | 0.62 ± 0.010 | 0.67 ± 0.11 | 0.68 ± 0.091 | 0.41 ± 0.045 | 1.6 ± 0.21 | 0.7 ± 0.12 | 1.6 ± 0.14 | 1.4 ± 0.24 | 1.5 ± 0.090 | 1.0 ± 0.088 | |
| mAb Removed (%) | 39% ± 9.4% | 47% ± 9.5% | 43% ± 1.0% | 47% ± 8.1% | 55% ± 4.3% | 62% ± 4.7% | 27% ± 8.9% | 52% ± 8.0% | 26% ± 6.2% | 44% ± 9.5% | 50% ± 2.4% | 51% ± 2.4% | |
| HCP TBR | 1.7 ± 0.30 | 1.6 ± 0.2 | 1.9 ± 0.032 | 1.8 ± 0.17 | 1.3 ± 0.084 | 0.78 ± 0.10 | 1.8 ± 0.38 | 1.2 ± 0.19 | 2.3 ± 0.27 | 1.8 ± 0.23 | 1.1 ± 0.15 | 0.61 ± 0.36 | |
| 4MP | TP Mass (mg) | 0.82 ± 0.073 | 0.64 ± 0.017 | 0.88 ± 0.025 | 0.83 ± 0.020 | 0.87 ± 0.006 | 0.62 ± 0.013 | 1.8 ± 0.15 | 1.5 ± 0.15 | 1.9 ± 0.14 | 1.8 ± 0.065 | 1.9 ± 0.03 | 1.3 ± 0.13 |
| TP Removed (%) | 38% ± 3.9% | 42% ± 1.7% | 17% ± 2.2% | 23% ± 1.4% | 35% ± 0.6% | 30% ± 1.5% | 31% ± 4.5% | 32% ± 6.0% | 9% ± 5.3% | 12% ± 3.0% | 25% ± 0.6% | 29% ± 6.7% | |
| HCP Mass (mg) | 0.061 ± 0.011 | 0.028 ± 0.0061 | 0.027 ± 0.0042 | 0.014 ± 0.0059 | 0.047 ± 0.0032 | 0.064 ± 0.0070 | 0.17 ± 0.035 | 0.11 ± 0.017 | 0.12 ± 0.023 | 0.061 ± 0.0081 | 0.23 ± 0.041 | 0.13 ± 0.021 | |
| HCP Removed (%) | 58% ± 7.3% | 77% ± 5.1% | 77% ± 3.6% | 88% ± 5.1% | 68% ± 1.8% | 35% ± 8.4% | 39% ± 11% | 55% ± 6.5% | 46% ± 10% | 73% ± 3.5% | 20% ± 14% | 36% ± 10% | |
| mAb Mass (mg) | 0.80 ± 0.017 | 0.77 ± 0.039 | 0.84 ± 0.047 | 0.73 ± 0.095 | 0.69 ± 0.059 | 0.47 ± 0.024 | 1.6 ± 0.23 | 1.1 ± 0.046 | 1.6 ± 0.080 | 1.5 ± 0.58 | 2.1 ± 0.28 | 1.0 ± 0.17 | |
| mAb Removed (%) | 31% ± 3.1% | 16% ± 4.1% | 23% ± 4.0% | 43% ± 7.8% | 56% ± 3.6% | 57% ± 3.0% | 29% ± 9.6% | 28% ± 3.9% | 25% ± 3.6% | 39% ± 23.4% | 30% ± 10.7% | 54% ± 7.8% | |
| HCP TBR | 1.9 ± 0.16 | 4.9 ± 0.27 | 3.3 ± 0.18 | 2.0 ± 0.19 | 1.2 ± 0.069 | 0.63 ± 0.24 | 1.3 ± 0.44 | 1.9 ± 0.18 | 1.8 ± 0.27 | 1.9 ± 0.61 | 0.68 ± 0.77 | 0.66 ± 0.32 | |
| CA | TP Mass (mg) | 0.29 ± 0.032 | 0.11 ± 0.030 | 0.095 ± 0.0036 | 0.45 ± 0.016 | 0.32 ± 0.028 | 0.083 ± 0.027 | 1.4 ± 0.097 | 0.54 ± 0.14 | 0.86 ± 0.21 | 1.5 ± 0.091 | 1.3 ± 0.067 | 0.74 ± 0.067 |
| TP Removed (%) | 78% ± 1.9% | 90% ± 2.7% | 91% ± 0.40% | 58% ± 2.0% | 76% ± 2.0% | 91% ± 3.3% | 46% ± 4.1% | 75% ± 6.6% | 57% ± 8.8% | 31% ± 4.4% | 50% ± 1.9% | 59% ± 3.1% | |
| HCP Mass (mg) | 0.046 ± 0.020 | 0.036 ± 0.0072 | 0.030 ± 0.0045 | 0.027 ± 0.011 | 0.043 ± 0.0032 | 0.065 ± 0.0063 | 0.17 ± 0.033 | 0.13 ± 0.028 | 0.12 ± 0.037 | 0.084 ± 0.016 | 0.13 ± 0.017 | 0.14 ± 0.016 | |
| HCP Removed (%) | 69% ± 13% | 70% ± 5.9% | 74% ± 4.0% | 77% ± 9.9% | 71% ± 1.5% | 33% ± 3.3% | 38% ± 12.1% | 48% ± 12% | 46% ± 14% | 64% ± 7.0% | 53% ± 5.1% | 30% ± 7.3% | |
| mAb Mass (mg) | 0.22 ± 0.034 | 0.048 ± 0.0087 | 0.025 ± 0.024 | 0.35 ± 0.028 | 0.24 ± 0.023 | 0.075 ± 0.011 | 1.1 ± 0.26 | 0.37 ± 0.052 | 0.60 ± 0.21 | 1.2 ± 0.16 | 1.2 ± 0.22 | 0.61 ± 0.079 | |
| mAb Removed (%) | 81% ± 3.0% | 95% ± 1.0% | 98% ± 2.2% | 72% ± 1.8% | 85% ± 1.5% | 93% ± 1.1% | 51% ± 12% | 76% ± 3.3% | 72% ± 9.0% | 52% ± 6.5% | 59% ± 8.0% | 73% ± 3.2% | |
| HCP TBR | 0.85 ± 0.19 | 0.74 ± 0.085 | 0.76 ± 0.058 | 1.1 ± 0.13 | 0.84 ± 0.028 | 0.36 ± 0.10 | 0.76 ± 0.39 | 0.63 ± 0.26 | 0.65 ± 0.33 | 1.2 ± 0.17 | 0.89 ± 0.17 | 0.42 ± 0.24 | |
| CQ | TP Mass (mg) | 0.86 ± 0.063 | 0.56 ± 0.035 | 0.51 ± 0.024 | 0.92 ± 0.031 | 0.88 ± 0.023 | 0.54 ± 0.012 | 1.8 ± 0.10 | 1.3 ± 0.087 | 1.5 ± 0.13 | 2.0 ± 0.043 | 1.8 ± 0.054 | 1.2 ± 0.080 |
| TP Removed (%) | 33% ± 4.3% | 50% ± 3.4% | 52% ± 2.3% | 9% ± 3.8% | 33% ± 1.8% | 40% ± 1.4% | 29% ± 4.0% | 41% ± 3.8% | 29% ± 5.8% | 5% ± 1.9% | 31% ± 2.5% | 30% ± 4.2% | |
| HCP Mass (mg) | 0.053 ± 0.0033 | 0.020 ± 0.0043 | 0.028 ± 0.0031 | 0.017 ± 0.0074 | 0.056 ± 0.0093 | 0.059 ± 0.0077 | 0.14 ± 0.064 | 0.12 ± 0.026 | 0.11 ± 0.031 | 0.09 ± 0.027 | 0.17 ± 0.034 | 0.14 ± 0.016 | |
| HCP Removed (%) | 63% ± 2.9% | 84% ± 3.4% | 76% ± 2.6% | 85% ± 6.8% | 61% ± 6.4% | 40% ± 7.5% | 50% ± 22% | 50% ± 11% | 50% ± 14% | 59% ± 12% | 40% ± 13% | 28% ± 12% | |
| mAb Mass (mg) | 0.72 ± 0.17 | 0.58 ± 0.11 | 0.38 ± 0.027 | 0.66 ± 0.10 | 0.80 ± 0.11 | 0.47 ± 0.029 | 1.9 ± 0.13 | 0.79 ± 0.37 | 1.1 ± 0.16 | 1.4 ± 0.13 | 1.7 ± 0.20 | 1.1 ± 0.31 | |
| mAb Removed (%) | 38% ± 14% | 38% ± 12% | 65% ± 2.6% | 46% ± 8.9% | 48% ± 7.5% | 57% ± 2.9% | 19% ± 5.5% | 48% ± 24% | 46% ± 7.2% | 43% ± 5.3% | 41% ± 7.0% | 47% ± 17% | |
| HCP TBR | 1.7 ± 0.37 | 2.2 ± 0.31 | 1.2 ± 0.052 | 1.9 ± 0.21 | 1.3 ± 0.19 | 0.71 ± 0.19 | 2.6 ± 0.54 | 1.0 ± 0.55 | 1.1 ± 0.31 | 1.4 ± 0.23 | 0.95 ± 0.36 | 0.60 ± 0.56 | |
Appendix C

References
- Shahrokh, Z.; Schmalzing, D.; Rawat, R.; Sluzky, V.; Ho, K.; Engelbergs, J.; Bishop, J.; Friedl, E.; Meiklejohn, B.; Ritter, N. Science, risks, and regulations: Current perspectives on host cell protein analysis and control. BioProcess Int. 2016, 14, 40–51. [Google Scholar]
- Wang, X.; Hunter, A.K.; Mozier, N.M. Host cell proteins in biologics development: Identification, quantitation and risk assessment. Biotechnol. Bioeng. 2009, 103, 446–458. [Google Scholar] [CrossRef] [PubMed]
- Mechetner, L.; Sood, R.; Nguyen, V.; Gagnon, P.; Parseghian, M.H. The effects of hitchhiker antigens co-eluting with affinity-purified research antibodies. J. Chromatogr. B 2011, 879, 2583–2594. [Google Scholar] [CrossRef]
- Shukla, A.A.; Hinckley, P. Host cell protein clearance during Protein A chromatography: Development of an improved column wash step. Biotechnol. Prog. 2008, 24, 1115–1121. [Google Scholar] [CrossRef]
- Goey, C.H.; Alhuthali, S.; Kontoravdi, C. Host cell protein removal from biopharmaceutical preparations: Towards the implementation of quality by design. Biotechnol. Adv. 2018, 36, 1223–1237. [Google Scholar] [CrossRef] [PubMed]
- Zhang, Q.; Goetze, A.M.; Cui, H.; Wylie, J.; Trimble, S.; Hewig, A.; Flynn, G.C. Comprehensive tracking of host cell proteins during monoclonal antibody purifications using mass spectrometry Comprehensive tracking of host cell proteins during monoclonal antibody purifications using mass spectrometry. mAbs 2014, 6, 659–670. [Google Scholar] [CrossRef]
- Park, J.H.; Jin, J.H.; Lim, M.S.; An, H.J.; Kim, J.W.; Lee, G.M. Proteomic analysis of host cell protein dynamics in the culture supernatants of antibody-producing CHO cells. Sci. Rep. 2017, 7, 44246. [Google Scholar] [CrossRef] [PubMed]
- Hogwood CE, M.; Ahmad, S.S.; Tarrant, R.D.; Bracewell, D.G.; Smales, C.M. An ultra scale-down approach identifies host cell protein differences across a panel of mAb producing CHO cell line variants. Biotechnol. J. 2016, 11, 415–424. [Google Scholar] [CrossRef]
- Shukla, A.A.; Kandula, J.R. Harvest and Recovery of Monoclonal Antibodies from Large- Scale Mammalian Cell Culture. BioPharm Intl. 2008, 21, 1–10. [Google Scholar]
- Shukla, A.A.; Hubbard, B.; Tressel, T.; Guhan, S.; Low, D. Downstream processing of monoclonal antibodies—Application of platform approaches. J. Chromatogr. B 2007, 848, 28–39. [Google Scholar] [CrossRef]
- Shukla, A.A.; Thömmes, J. Recent advances in large-scale production of monoclonal antibodies and related proteins. Trends Biotechnol. 2010, 28, 253–261. [Google Scholar] [CrossRef]
- Tao, Y.; Ibraheem, A.; Conley, L.; Cecchini, D.; Ghose, S. Evaluation of high-capacity cation exchange chromatography for direct capture of monoclonal antibodies from high-titer cell culture processes. Biotechnol. Bioeng. 2014, 111, 1354–1364. [Google Scholar] [CrossRef]
- Maria, S.; Joucla, G.; Garbay, B.; Dieryck, W.; Lomenech, A.M.; Santarelli, X.; Cabanne, C. Purification process of recombinant monoclonal antibodies with mixed mode chromatography. J. Chromatogr. A 2015, 1393, 57–64. [Google Scholar] [CrossRef]
- Levy, N.E.; Valente, K.N.; Choe, L.H.; Lee, K.H.; Lenhoff, A.M. Identification and characterization of host cell protein product-associated impurities in monoclonal antibody bioprocessing. Biotechnol. Bioeng. 2014, 111, 904–912. [Google Scholar] [CrossRef]
- Valente, K.N.; Lenhoff, A.M.; Lee, K.H. Expression of difficult-to-remove host cell protein impurities during extended Chinese hamster ovary cell culture and their impact on continuous bioprocessing. Biotechnol. Bioeng. 2015, 112, 1232–1242. [Google Scholar] [CrossRef]
- Aboulaich, N.; Chung, W.K.; Thompson, J.H.; Larkin, C.; Robbins, D.; Zhu, M. A novel approach to monitor clearance of host cell proteins associated with monoclonal antibodies. Biotechnol. Prog. 2014, 30, 1114–1124. [Google Scholar] [CrossRef]
- Nogal, B.; Chhiba, K.; Emery, J.C. Select host cell proteins coelute with monoclonal antibodies in protein a chromatography. Biotechnol. Prog. 2012, 28, 454–458. [Google Scholar] [CrossRef]
- Chiu, J.; Valente, K.N.; Levy, N.E.; Min, L.; Lenhoff, A.M.; Lee, K.H. Knockout of a difficult-to-remove CHO host cell protein, lipoprotein lipase, for improved polysorbate stability in monoclonal antibody formulations. Biotechnol. Bioeng. 2017, 114, 1006–1015. [Google Scholar] [CrossRef]
- Lee, K.; Lenhoff, A.; Valente, K.; Levy, N.; Gokarn, Y. Reduction of Lipase Activity in Product Formulations. US Patent and Trademark Office US 20160312226 A1, 25 June 2015. [Google Scholar]
- Prakash, K.; Chen, W. Analytical Methods for the Measurement of Host Cell Proteins and Other Process-Related Impurities. In State-of-the-Art and Emerging Technologies for Therapeutic Monoclonal Antibody Characterization Volume 2. Biopharmaceutical Characterization: The NISTmAb Case Study; American Chemical Society: Washington, DC, USA, 2015; Volume 2, pp. 387–404. [Google Scholar]
- Fischer, S.K.; Cheu, M.; Peng, K.; Lowe, J.; Araujo, J.; Murray, E.; McClintock, D.; Matthews, J.; Siguenza, P.; Song, A. Specific Immune Response to Phospholipase B-Like 2 Protein, a Host Cell Impurity in Lebrikizumab Clinical Material. AAPS J. 2017, 19, 254–263. [Google Scholar] [CrossRef]
- Wang, F.; Richardson, D.; Shameem, M. Host-Cell Protein Measurement and Control. BioPharm Int. 2015, 28, 32–38. [Google Scholar]
- Naik, A.D.; Menegatti, S.; Gurgel, P.V.; Carbonell, R.G. Performance of hexamer peptide ligands for affinity purification of immunoglobulin G from commercial cell culture media. J. Chromatogr. A 2011, 1218, 1691–1700. [Google Scholar] [CrossRef]
- Yang, H.; Gurgel, P.V.; Carbonell, R.G. Hexamer peptide affinity resins that bind the Fc region of human immunoglobulin G. J. Pept. Res. 2005, 66, 120–137. [Google Scholar] [CrossRef]
- Kish, W.S.; Naik, A.D.; Menegatti, S.; Carbonell, R.G. Peptide-Based Affinity Adsorbents with High Binding Capacity for the Purification of Monoclonal Antibodies. Ind. Eng. Chem. Res. 2013, 52, 8800–8811. [Google Scholar] [CrossRef]
- Guerrier, L.; Righetti, P.G.; Boschetti, E. Reduction of dynamic protein concentration range of biological extracts for the discovery of low-abundance proteins by means of hexapeptide ligand library. Nat. Protoc. 2008, 3, 883–890. [Google Scholar] [CrossRef]
- Bio-Rad Laboratories Inc. ProteoMiner TM Protein Enrichment Kits. Available online: https://www.bio-rad.com/webroot/web/pdf/lsr/literature/Bulletin_5635B.pdf (accessed on 12 July 2016).
- Kish, W.S.; Sachi, H.; Naik, A.D.; Roach, M.K.; Bobay, B.G.; Blackburn, R.K.; Menegatti, S.; Carbonell, R.G. Design, selection, and development of cyclic peptide ligands for human erythropoietin. J. Chromatogr. A 2017, 1500, 105–120. [Google Scholar] [CrossRef]
- Menegatti, S.; Ward, K.L.; Naik, A.D.; Kish, W.S.; Blackburn, R.K.; Carbonell, R.G. Reversible cyclic peptide libraries for the discovery of affinity ligands. Anal. Chem. 2013, 85, 9229–9237. [Google Scholar] [CrossRef]
- Lam, K.S.; Salmon, S.E.; Hersh, E.M.; Hruby, V.J.; Kazmierski, W.M.; Knapp, R.J. A new type of synthetic peptide library for identifying ligand-binding activity. Nature 1991, 354, 82–84. [Google Scholar] [CrossRef]
- Marani, M.M.; Martínez Ceron, M.C.; Giudicessi, S.L.; de Oliveira, E.; Coté, S.; Erra-Balsells, R.; Albericio, F.; Cascone, O.; Camperi, S.A. Screening of One-Bead-One-Peptide Combinatorial Library Using Red Fluorescent Dyes. Presence of Positive and False Positive Beads. J. Comb. Chem. 2009, 11, 146–150. [Google Scholar] [CrossRef]
- Righetti, P.G.; Boschetti, E.; Fasoli, E. Capturing and Amplifying Impurities from Recombinant Therapeutic Proteins Via Combinatorial Peptide Libraries: A Proteomic Approach. Curr. Pharm. Biotechnol. 2011, 12, 1537–1547. [Google Scholar] [CrossRef]
- ThermoFisher Scientific. Alexa Fluor 546 Dye. Fluorophore Selection. Available online: https://www.thermofisher.com/us/en/home/life-science/cell-analysis/fluorophores/alexa-fluor-546.html (accessed on 16 August 2018).
- ThermoFisher Scientific. Alexa Fluor 594 Dye. Fluorophore Selection. Available online: https://www.thermofisher.com/us/en/home/life-science/cell-analysis/fluorophores/alexa-fluor-594.html. (accessed on 16 August 2018).
- Hoffmann, C.V.; Pell, R.; Lämmerhofer, M.; Lindner, W. Synergistic effects on enantioselectivity of zwitterionic chiral stationary phases for separations of chiral acids, bases, and amino acids by HPLC. Anal. Chem. 2008, 80, 8780–8789. [Google Scholar] [CrossRef]
- Zhang, T.; Holder, E.; Franco, P.; Lämmerhofer, M.; Sievers-Engler, A.; Gerhardt, H.; Gross, H.; Lindner, W. Peptide Analysis: Zwitterionic Chiral Ion-Exchangers as Complementary Option to HILIC and to Reversed-Phase Chromatography. LCGC Eur. 2016, 29, 112–128. [Google Scholar]
- Yang, H.; Gurgel, P.V.; Williams, D.K., Jr.; Bobay, B.G.; Cavanagh, J.; Muddiman, D.C.; Carbonell, R.G. Binding site on human immunoglobulin G for the affinity ligand HWRGWV. J. Mol. Recognit. 2010, 23, 271–282. [Google Scholar] [CrossRef]
- D’Agostino, B.; Bellofiore, P.; De Martino, T.; Punzo, C.; Rivieccio, V.; Verdoliva, A. Affinity purification of IgG monoclonal antibodies using the D-PAM synthetic ligand: Chromatographic comparison with protein A and thermodynamic investigation of the D-PAM/IgG interaction. J. Immunol. Methods 2008, 333, 126–138. [Google Scholar] [CrossRef]
- Life Technologies Corporation. Amine-Reactive Probes. In Molecular Probes by Life Technologies; 1996; pp. 1–11. Available online: https://assets.thermofisher.com/TFS-Assets/LSG/manuals/mp00143.pdf (accessed on 25 May 2018).
- Wisniewski, J.R.; Zougman, A.; Nagaraj, N.; Mann, M. Universal sample preparation method for proteome analysis. Nat. Methods 2009, 6, 359–363. [Google Scholar] [CrossRef]
- Lee, K.A.; Farnsworth, C.; Yu, W.; Bonilla, L.E. 24-Hour Lock Mass Protection. J. Proteome Res. 2011, 10, 880–885. [Google Scholar] [CrossRef]
- Kyte, J.; Doolittle, R.F.; Diego, S.; Jolla, L. A Simple Method for Displaying the Hydropathic Character of a Protein. J. Mol. Biol. 1982, 157, 105–132. [Google Scholar] [CrossRef]
- Fuchs, S. GRAVY Calculator. Available online: http://www.gravy-calculator.de/index.php (accessed on 15 October 2016).
- Swiss Institute of Bioinformatics. Compute pI/Mw. ExPASy Bioinformatics Resource Portal. Available online: http://web.expasy.org/compute_pi/ (accessed on 15 October 2016).





| Library | Positive/Hydrophobic | Multipolar | Unclassified |
|---|---|---|---|
| Hexameric | AAHIYY-GSG GSRYRY-GSG HSKIYK-GSG IYRIGR-GSG RYYYAI-GSG | ADRYGH-GSG DKQRII-GSG DRIYYY-GSG RYYDYG-GSG YRIDRY-GSG | AAIIYY-GSG GIDQYY-GSG HQASSQ-GSG QQYIII-GSG |
| Tetrameric | AFNA-GSG KFFF-GSG AFYH-GSG KYGY-GSG FRYY-GSG KYFF-GSG HFFA-GSG HFIF-GSG RYFF-GSG HNFI-GSG YRFF-GSG YYFR-GSG HYAI-GSG HYFR-GSG HRRY-GSG | DKSI-GSG DRNI-GSG HYFD-GSG YRFD-GSG | AIYF-GSG NYRS-GSG DFNY-GSG GSIG-GSG GSSY-GSG GFYG-GSG IAFG-GSG IYYA-GSG SYIY-GSG YAFG-GSG |
© 2019 by the authors. Licensee MDPI, Basel, Switzerland. This article is an open access article distributed under the terms and conditions of the Creative Commons Attribution (CC BY) license (http://creativecommons.org/licenses/by/4.0/).
Share and Cite
Lavoie, R.A.; di Fazio, A.; Blackburn, R.K.; Goshe, M.B.; Carbonell, R.G.; Menegatti, S. Targeted Capture of Chinese Hamster Ovary Host Cell Proteins: Peptide Ligand Discovery. Int. J. Mol. Sci. 2019, 20, 1729. https://doi.org/10.3390/ijms20071729
Lavoie RA, di Fazio A, Blackburn RK, Goshe MB, Carbonell RG, Menegatti S. Targeted Capture of Chinese Hamster Ovary Host Cell Proteins: Peptide Ligand Discovery. International Journal of Molecular Sciences. 2019; 20(7):1729. https://doi.org/10.3390/ijms20071729
Chicago/Turabian StyleLavoie, R. Ashton, Alice di Fazio, R. Kevin Blackburn, Michael B. Goshe, Ruben G. Carbonell, and Stefano Menegatti. 2019. "Targeted Capture of Chinese Hamster Ovary Host Cell Proteins: Peptide Ligand Discovery" International Journal of Molecular Sciences 20, no. 7: 1729. https://doi.org/10.3390/ijms20071729
APA StyleLavoie, R. A., di Fazio, A., Blackburn, R. K., Goshe, M. B., Carbonell, R. G., & Menegatti, S. (2019). Targeted Capture of Chinese Hamster Ovary Host Cell Proteins: Peptide Ligand Discovery. International Journal of Molecular Sciences, 20(7), 1729. https://doi.org/10.3390/ijms20071729

