An Anabolic Signaling Response of Rat Soleus Muscle to Eccentric Contractions Following Hindlimb Unloading: A Potential Role of Stretch-Activated Ion Channels
Abstract
1. Introduction
2. Results
2.1. Experiment 1
2.1.1. Body Weight, Soleus Weight to Body Weight Ratio and Mean Maximal Eccentric Tetanic Force (P0) Normalized to Muscle Cross-Sectional Area
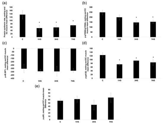
2.1.2. The Rate of Muscle Protein Synthesis
2.1.3. Phosphorylation of Key Signaling Proteins Involved in the Regulation of Muscle Protein Synthesis
2.2. Experiment 2
2.2.1. Body Weight, Soleus Weight to Body Weight Ratio and Mean Maximal Eccentric Tetanic Force (P0) Normalized to Muscle Cross-Sectional Area
2.2.2. The Rate of Muscle Protein Synthesis
2.2.3. Phosphorylation of Key Signaling Proteins Involved in the Regulation of Muscle Protein Synthesis
3. Discussion
4. Materials and Methods
4.1. Ethical Approval
4.2. Animals and Hindlimb Unloading
4.2.1. Experiment 1
4.2.2. Experiment 2
4.3. Eccentric Contractions of the Isolated Rat Soleus Muscle
4.4. SUnSET Technique for Measuring the Rate of PS
4.5. Western Blot Analysis
4.6. Statistical Analysis
5. Conclusions
Author Contributions
Funding
Acknowledgments
Conflicts of Interest
Abbreviations
| 4E-BP1 | Eukaryotic translation initiation factor 4E-binding protein 1 |
| CSA | Cross-sectional area |
| DGK-ζ | Diacylglycerol Kinase ζ |
| EC | Eccentric contractions |
| eIF2B | Eukaryotic initiation factor 2B |
| ERK1/2 | Extracellular signal-regulated kinase 1/2 |
| GSK-3β | Glycogen synthase kinase 3β |
| HU | Hindlimb unloading |
| L0 | Optimal muscle length |
| mTORC1 | Mammalian target of rapamycin complex 1 |
| P0 | Maximal muscle contraction tetanic force |
| p70S6K | Ribosomal protein S6 kinase p70 |
| PS | Protein synthesis |
| RPS6 | S6 ribosomal protein |
| SAC | Stretch-activated ion channels |
| SUnSET | Surface sensing of translation |
References
- Goldberg, A.L.; Etlinger, J.D.; Goldspink, D.F.; Jablecki, C. Mechanism of work-induced hypertrophy of skeletal muscle. Med. Sci. Sports 1975, 7, 185–198. [Google Scholar] [PubMed]
- Bodine, S.C.; Stitt, T.N.; Gonzalez, M.; Kline, W.O.; Stover, G.L.; Bauerlein, R.; Zlotchenko, E.; Scrimgeour, A.; Lawrence, J.C.; Glass, D.J.; et al. Akt/mTOR pathway is a crucial regulator of skeletal muscle hypertrophy and can prevent muscle atrophy in vivo. Nat. Cell Biol. 2001, 3, 1014–1019. [Google Scholar] [CrossRef] [PubMed]
- Drummond, M.J.; Fry, C.S.; Glynn, E.L.; Dreyer, H.C.; Dhanani, S.; Timmerman, K.L.; Volpi, E.; Rasmussen, B.B. Rapamycin administration in humans blocks the contraction-induced increase in skeletal muscle protein synthesis. J. Physiol. 2009, 587, 1535–1546. [Google Scholar] [CrossRef] [PubMed]
- Hornberger, T.A.; Stuppard, R.; Conley, K.E.; Fedele, M.J.; Fiorotto, M.L.; Chin, E.R.; Esser, K.A. Mechanical stimuli regulate rapamycin-sensitive signalling by a phosphoinositide 3-kinase-, protein kinase B- and growth factor-independent mechanism. Biochem. J. 2004, 380, 795–804. [Google Scholar] [CrossRef] [PubMed]
- Kubica, N.; Bolster, D.R.; Farrell, P.A.; Kimball, S.R.; Jefferson, L.S. Resistance exercise increases muscle protein synthesis and translation of eukaryotic initiation factor 2Bepsilon mRNA in a mammalian target of rapamycin-dependent manner. J. Biol. Chem. 2005, 280, 7570–7580. [Google Scholar] [CrossRef] [PubMed]
- Roux, P.P.; Topisirovic, I. Regulation of mRNA translation by signaling pathways. Cold Spring Harb. Perspect. Biol. 2012, 4. [Google Scholar] [CrossRef] [PubMed]
- Glass, D.J. Signalling pathways that mediate skeletal muscle hypertrophy and atrophy. Nat. Cell Biol. 2003, 5, 87–90. [Google Scholar] [CrossRef] [PubMed]
- Franco, A., Jr.; Lansman, J.B. Stretch-sensitive channels in developing muscle cells from a mouse cell line. J. Physiol. 1990, 427, 361–380. [Google Scholar] [CrossRef] [PubMed]
- Yeung, E.W.; Allen, D.G. Stretch-activated channels in stretch-induced muscle damage: Role in muscular dystrophy. Clin. Exp. Pharmacol. Physiol. 2004, 31, 551–556. [Google Scholar] [CrossRef] [PubMed]
- Allen, D.G.; Whitehead, N.P.; Yeung, E.W. Mechanisms of stretch-induced muscle damage in normal and dystrophic muscle: Role of ionic changes. J. Physiol. 2005, 567, 723–735. [Google Scholar] [CrossRef] [PubMed]
- Ato, S.; Makanae, Y.; Kido, K.; Fujita, S. Contraction mode itself does not determine the level of mTORC1 activity in rat skeletal muscle. Physiol. Rep. 2016, 4. [Google Scholar] [CrossRef] [PubMed]
- Henriksen, E.J.; Tischler, M.E. Glucose uptake in rat soleus: Effect of acute unloading and subsequent reloading. J. Appl. Physiol. 1988, 64, 1428–1432. [Google Scholar] [CrossRef] [PubMed]
- Lysenko, E.A.; Turtikova, O.V.; Kachaeva, E.V.; Ushakov, I.B.; Shenkman, B.S. Time course of ribosomal kinase activity during hindlimb unloading. Doklady Biochem. Biophys. 2010, 434, 223–226. [Google Scholar] [CrossRef] [PubMed]
- Mirzoev, T.; Tyganov, S.; Vilchinskaya, N.; Lomonosova, Y.; Shenkman, B. Key Markers of mTORC1-Dependent and mTORC1-Independent Signaling Pathways Regulating Protein Synthesis in Rat Soleus Muscle During Early Stages of Hindlimb Unloading. Cell. Physiol. Biochem. Int. J. Exp. Cell. Physiol. Biochem. Pharmacol. 2016, 39, 1011–1020. [Google Scholar] [CrossRef] [PubMed]
- Dupont, E.; Cieniewski-Bernard, C.; Bastide, B.; Stevens, L. Electrostimulation during hindlimb unloading modulates PI3K-AKT downstream targets without preventing soleus atrophy and restores slow phenotype through ERK. Am. J. Physiology. Regul. Integr. Comp. Physiol. 2011, 300, 408–417. [Google Scholar] [CrossRef] [PubMed]
- Fluckey, J.D.; Dupont-Versteegden, E.E.; Knox, M.; Gaddy, D.; Tesch, P.A.; Peterson, C.A. Insulin facilitation of muscle protein synthesis following resistance exercise in hindlimb-suspended rats is independent of a rapamycin-sensitive pathway. Am. J. Physiol. Endocrinol. Metab. 2004, 287, E1070–E1075. [Google Scholar] [CrossRef] [PubMed]
- Gwag, T.; Lee, K.; Ju, H.; Shin, H.; Lee, J.W.; Choi, I. Stress and signaling responses of rat skeletal muscle to brief endurance exercise during hindlimb unloading: A catch-up process for atrophied muscle. Cell. Physiol. Biochem. Int. J. Exp. Cell. Physiol. Biochem. Pharmacol. 2009, 24, 537–546. [Google Scholar] [CrossRef] [PubMed]
- Loughna, P.; Goldspink, G.; Goldspink, D.F. Effect of inactivity and passive stretch on protein turnover in phasic and postural rat muscles. J. Appl. Physiol. 1986, 61, 173–179. [Google Scholar] [CrossRef] [PubMed]
- Ingber, D.E. Cellular mechanotransduction: Putting all the pieces together again. FASEB J. Off. Publ. Fed. Am. Soc. Exp. Biol. 2006, 20, 811–827. [Google Scholar] [CrossRef] [PubMed]
- Mirzoev, T.M.; Biriukov, N.S.; Veselova, O.M.; Larina, I.M.; Shenkman, B.S.; Ogneva, I.V. Parameters of fibers cell respiration and desmin content in rat soleus muscle at early stages of gravitational unloading. Biofizika 2012, 57, 509–514. [Google Scholar] [CrossRef] [PubMed]
- Mirzoev, T.M.; Shenkman, B.S.; Ushakov, I.B.; Ogneva, I.V. Desmin and alpha-actinin-2 content in rat soleus muscle in the dynamics of gravitational unloading and subsequent reloading. Doklady Biochem. Biophys. 2012, 444, 144–146. [Google Scholar] [CrossRef] [PubMed]
- You, J.S.; Dooley, M.S.; Kim, C.R.; Kim, E.J.; Xu, W.; Goodman, C.A.; Hornberger, T.A. A DGKzeta-FoxO-ubiquitin proteolytic axis controls fiber size during skeletal muscle remodeling. Sci. Signal. 2018, 11. [Google Scholar] [CrossRef]
- McBride, T.A. Stretch-activated ion channels and c-fos expression remain active after repeated eccentric bouts. J. Appl. Physiol. 2003, 94, 2296–2302. [Google Scholar] [CrossRef] [PubMed]
- McBride, T.A.; Stockert, B.W.; Gorin, F.A.; Carlsen, R.C. Stretch-activated ion channels contribute to membrane depolarization after eccentric contractions. J. Appl. Physiol. 2000, 88, 91–101. [Google Scholar] [CrossRef] [PubMed]
- Spangenburg, E.E.; McBride, T.A. Inhibition of stretch-activated channels during eccentric muscle contraction attenuates p70S6K activation. J. Appl. Physiol. 2006, 100, 129–135. [Google Scholar] [CrossRef] [PubMed]
- Sonobe, T.; Inagaki, T.; Poole, D.C.; Kano, Y. Intracellular calcium accumulation following eccentric contractions in rat skeletal muscle in vivo: Role of stretch-activated channels. Am. J. Physiol. Regul. Integr. Comp. Physiol. 2008, 294, R1329–R1337. [Google Scholar] [CrossRef] [PubMed]
- Ducret, T.; Vandebrouck, C.; Cao, M.L.; Lebacq, J.; Gailly, P. Functional role of store-operated and stretch-activated channels in murine adult skeletal muscle fibres. J. Physiol. 2006, 575, 913–924. [Google Scholar] [CrossRef] [PubMed]
- Gulati, P.; Gaspers, L.D.; Dann, S.G.; Joaquin, M.; Nobukuni, T.; Natt, F.; Kozma, S.C.; Thomas, A.P.; Thomas, G. Amino acids activate mTOR complex 1 via Ca2+/CaM signaling to hVps34. Cell Metab. 2008, 7, 456–465. [Google Scholar] [CrossRef] [PubMed]
- Zanou, N.; Schakman, O.; Louis, P.; Ruegg, U.T.; Dietrich, A.; Birnbaumer, L.; Gailly, P. Trpc1 ion channel modulates phosphatidylinositol 3-kinase/Akt pathway during myoblast differentiation and muscle regeneration. J. Biol. Chem. 2012, 287, 14524–14534. [Google Scholar] [CrossRef] [PubMed]
- Ito, N.; Ruegg, U.T.; Kudo, A.; Miyagoe-Suzuki, Y.; Takeda, S. Activation of calcium signaling through Trpv1 by nNOS and peroxynitrite as a key trigger of skeletal muscle hypertrophy. Nat. Med. 2013, 19, 101–106. [Google Scholar] [CrossRef] [PubMed]
- Hannan, K.M.; Thomas, G.; Pearson, R.B. Activation of S6K1 (p70 ribosomal protein S6 kinase 1) requires an initial calcium-dependent priming event involving formation of a high-molecular-mass signalling complex. Biochem. J. 2003, 370, 469–477. [Google Scholar] [CrossRef] [PubMed]
- Morey-Holton, E.R.; Globus, R.K. Hindlimb unloading rodent model: Technical aspects. J. Appl. Physiol. 2002, 92, 1367–1377. [Google Scholar] [CrossRef] [PubMed]
- Yeung, E.W.; Head, S.I.; Allen, D.G. Gadolinium reduces short-term stretch-induced muscle damage in isolated mdx mouse muscle fibres. J. Physiol. 2003, 552, 449–458. [Google Scholar] [CrossRef] [PubMed]
- O’Neil, T.K.; Duffy, L.R.; Frey, J.W.; Hornberger, T.A. The role of phosphoinositide 3-kinase and phosphatidic acid in the regulation of mammalian target of rapamycin following eccentric contractions. J. Physiol. 2009, 587, 3691–3701. [Google Scholar] [CrossRef] [PubMed]
- El-Khoury, R.; Bradford, A.; O’Halloran, K.D. Chronic hypobaric hypoxia increases isolated rat fast-twitch and slow-twitch limb muscle force and fatigue. Physiol. Res. 2012, 61, 195–201. [Google Scholar] [PubMed]
- Gollnick, P.D.; Timson, B.F.; Moore, R.L.; Riedy, M. Muscular enlargement and number of fibers in skeletal muscles of rats. J. Appl. Physiol. Respir. Environ. Exerc. Physiol. 1981, 50, 936–943. [Google Scholar] [CrossRef] [PubMed]
- Goodman, C.A.; Mabrey, D.M.; Frey, J.W.; Miu, M.H.; Schmidt, E.K.; Pierre, P.; Hornberger, T.A. Novel insights into the regulation of skeletal muscle protein synthesis as revealed by a new nonradioactive in vivo technique. FASEB J. Off. Publ. Fed. Am. Soc. Exp. Biol. 2011, 25, 1028–1039. [Google Scholar] [CrossRef] [PubMed]
- Schmidt, E.K.; Clavarino, G.; Ceppi, M.; Pierre, P. SUnSET, a nonradioactive method to monitor protein synthesis. Nat. Methods 2009, 6, 275–277. [Google Scholar] [CrossRef] [PubMed]
- Laemmli, U.K. Cleavage of structural proteins during the assembly of the head of bacteriophage T4. Nature 1970, 227, 680–685. [Google Scholar] [CrossRef] [PubMed]







| Group | Rat Weight, g | Soleus Weight, mg/Rat Weight, g | P0, mN | P0/Cross-Sectional Area, N/cm2 |
|---|---|---|---|---|
| C | 220 ± 8 | 0.40 ± 0.011 | 802.4 ± 24.3 | 19.4 ± 1.4 |
| 1HS | 214 ± 3 | 0.42 ± 0.013 | 744.5 ± 26.1 | 18.2 ± 1.1 |
| 3HS | 222 ± 10 | 0.372 ± 0.015 | 742.5 ± 21.7 | 20.2 ± 1.0 |
| 7HS | 210 ± 7 | 0.336 ± 0.018 * | 660.8 ± 24.9 * | 20.2 ± 1.1 |
| Group | Rat Weight, g | Soleus Weight, mg/Rat Weight, g | P0, mN | P0/Cross-Sectional Area, N/cm2 |
|---|---|---|---|---|
| C | 225 ± 16 | 0.43 ± 0.03 | 940.2 ± 33.3 | 23.5 ± 1.7 |
| C + Gd | 220 ± 10 | 0.44 ± 0.04 | 911.4 ± 15.7 | 19.4 ± 1.2 |
| HS | 226 ± 8 | 0.31 ± 0.03 * | 715.1 ± 23.9 * | 23.6 ± 1.1 |
| HS + Gd | 225 ± 7 | 0.35 ± 0.03 * | 740.6 ± 15.2 * | 21.3 ± 2.0 |
© 2019 by the authors. Licensee MDPI, Basel, Switzerland. This article is an open access article distributed under the terms and conditions of the Creative Commons Attribution (CC BY) license (http://creativecommons.org/licenses/by/4.0/).
Share and Cite
Tyganov, S.; Mirzoev, T.; Shenkman, B. An Anabolic Signaling Response of Rat Soleus Muscle to Eccentric Contractions Following Hindlimb Unloading: A Potential Role of Stretch-Activated Ion Channels. Int. J. Mol. Sci. 2019, 20, 1165. https://doi.org/10.3390/ijms20051165
Tyganov S, Mirzoev T, Shenkman B. An Anabolic Signaling Response of Rat Soleus Muscle to Eccentric Contractions Following Hindlimb Unloading: A Potential Role of Stretch-Activated Ion Channels. International Journal of Molecular Sciences. 2019; 20(5):1165. https://doi.org/10.3390/ijms20051165
Chicago/Turabian StyleTyganov, Sergey, Timur Mirzoev, and Boris Shenkman. 2019. "An Anabolic Signaling Response of Rat Soleus Muscle to Eccentric Contractions Following Hindlimb Unloading: A Potential Role of Stretch-Activated Ion Channels" International Journal of Molecular Sciences 20, no. 5: 1165. https://doi.org/10.3390/ijms20051165
APA StyleTyganov, S., Mirzoev, T., & Shenkman, B. (2019). An Anabolic Signaling Response of Rat Soleus Muscle to Eccentric Contractions Following Hindlimb Unloading: A Potential Role of Stretch-Activated Ion Channels. International Journal of Molecular Sciences, 20(5), 1165. https://doi.org/10.3390/ijms20051165

