Thermal Stability and Rheological Properties of Epoxidized Natural Rubber-Based Magnetorheological Elastomer
Abstract
1. Introduction
2. Results and Discussions
2.1. Particle Size
2.2. Microstructure
2.3. Thermal Characteristics
2.3.1. Thermal Gravimetric
2.3.2. Differential Scanning Calorimetry
2.4. Rheological Properties
2.4.1. Strain Sweep
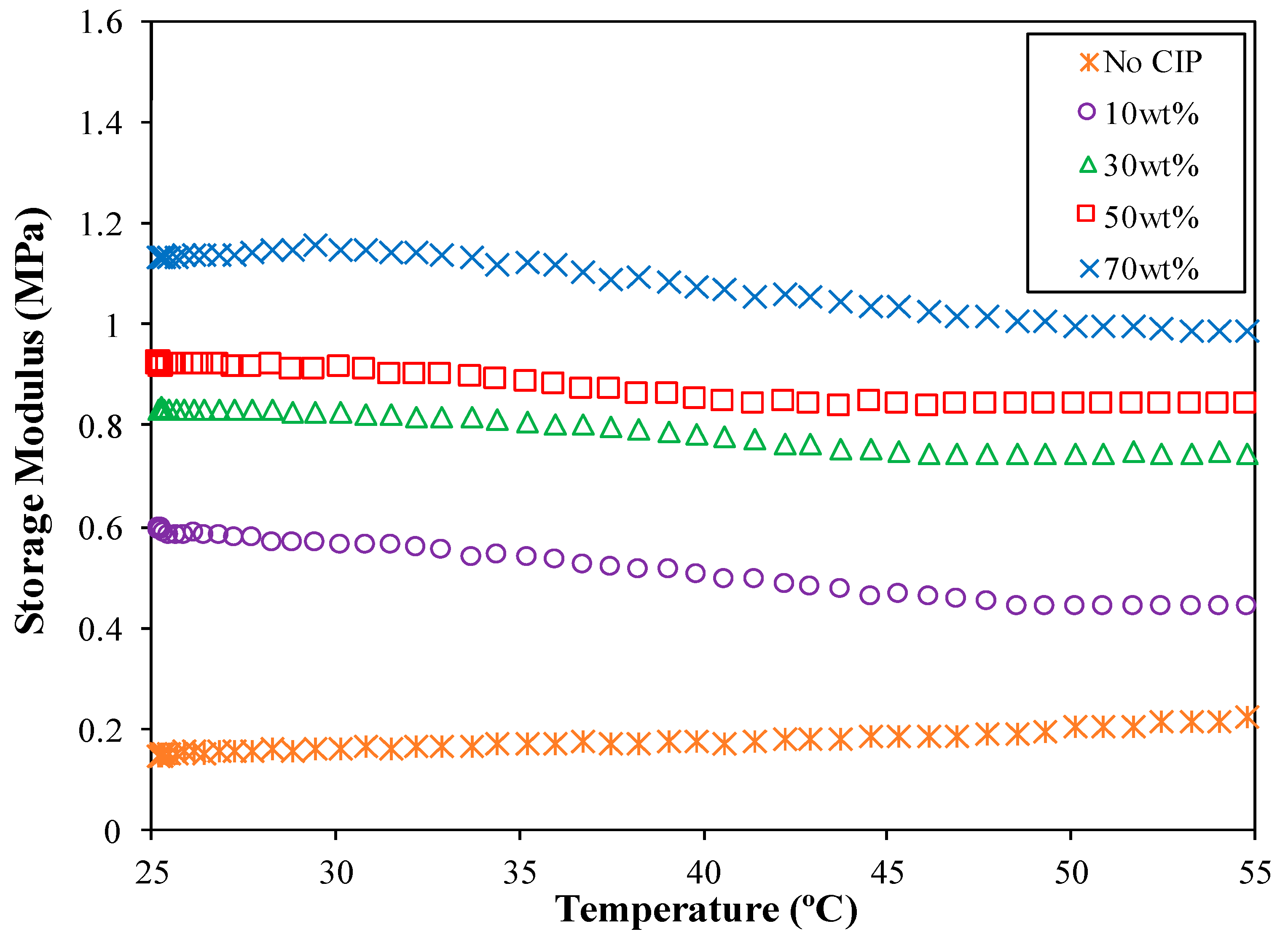
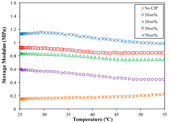
2.4.2. Temperature Sweep
3. Experimental
3.1. MRE Fabrication
3.2. Particle Size Analysis
3.3. Morphological Analysis
3.4. Thermal Properties
3.4.1. Thermal Gravimetric Analysis
3.4.2. Differential Scanning Calorimetry
3.5. Rheological Measurements
4. Conclusions
Author Contributions
Funding
Acknowledgments
Conflicts of Interest
Abbreviations
| MREs | Magnetorheological Elastomers |
| CIPs | Carbonyl Iron Particles |
| SiR | Silicone Rubber |
| NR | Natural Rubber |
| ENR | Epoxidized Natural Rubber |
| G’ | Storage Modulus |
| Tan (δ) | Loss Factor |
| PSA | Particle Size Analyzer |
| FESEM | Field Emission Scanning Electron Microscope |
| EDX | Energy Dispersive X-ray Spectroscopy |
| TGA | Thermal Gravimetric Analysis |
| DTG | Differential Thermal Gravimetric |
| DSC | Differential Scanning Calorimetry |
References
- Yunus, N.A.; Mazlan, S.A.; Ubaidillah; Aziz, S.A.A.; Khairi, M.H.; Wahab, N.A.A.; Shilan, S.T. Investigation on magnetic field dependent modulus of epoxidized natural rubber based magnetorheological elastomer. J. Phys. Conf. Ser. Phys. Its Appl. 2016, 776, 012024. [Google Scholar] [CrossRef]
- Yunus, N.A.; Mazlan, S.A.; Choi, S.; Imaduddin, F.; Aishah, S.; Aziz, A.; Hana, M.; Khairi, A. Rheological properties of isotropic magnetorheological elastomers featuring an epoxidized natural rubber. Smart Mater. Struct. 2016, 25, 107001. [Google Scholar] [CrossRef]
- Aishah, S.; Aziz, A.; Mazlan, S.A.; Intan, N.; Ismail, N.; Ubaidillah, U.; Choi, S.; Hana, M.; Khairi, A.; Yunus, N.A. Effects of multiwall carbon nanotubes on viscoelastic properties of magnetorheological elastomers. Smart Mater. Struct. 2016, 25, 077001. [Google Scholar]
- Ahmad Khairi, M.H.; Mazlan, S.A.; Ubaidillah; Ku Ahmad, K.Z.; Choi, S.B.; Abdul Aziz, S.A.; Yunus, N.A. The field-dependent complex modulus of magnetorheological elastomers consisting of sucrose acetate isobutyrate ester. J. Intell. Mater. Syst. Struct. 2017, 28, 1993–2004. [Google Scholar] [CrossRef]
- Ubaidillah; Choi, H.J.; Mazlan, S.A.; Imaduddin, F. Fabrication and viscoelastic characteristics of waste tire rubber based magnetorheological elastomer. Smart Mater. Struct. 2016, 25, 115026–115039. [Google Scholar] [CrossRef]
- Boczkowska, A.; Awietjan, S.F. Urethane Magnetorheological Elastomers—Manufacturing, Microstructure and Properties. Solid State Phenom. 2009, 154, 107–112. [Google Scholar] [CrossRef]
- Tian, T.F.; Zhang, X.Z.; Li, W.H.; Alici, G.; Ding, J. Study of PDMS based magnetorheological elastomers. J. Phys. Conf. Ser. 2013, 412, 012038. [Google Scholar] [CrossRef]
- Kikuchi, T.; Kobayashi, Y.; Kawai, M.; Mitsumata, T. Elastic Properties of Magnetorheological Elastomers in a Heterogeneous Uniaxial Magnetic Field. Int. J. Mol. Sci. 2018, 19, 3045. [Google Scholar] [CrossRef]
- Li, Y.C.; Li, J.C.; Li, W.H. Design and Experimental Testing of an Adaptive Magneto-Rheological Elastomer Base Isolator. In Proceedings of the International Conference on Advanced Intelligent Mechatronics, Wollongong, NSW, Australia, 9–12 July 2013; pp. 381–386. [Google Scholar]
- Mitsumata, T. Recent Progress in Magnetorheological Gels and Elastomers. Recent Pat. Chem. Eng. 2009, 81, 159–166. [Google Scholar] [CrossRef]
- Ubaidillah; Sutrisno, J.; Purwanto, A.; Mazlan, S.A. Recent progress on magnetorheological solids: Materials, fabrication, testing, and applications. Adv. Eng. Mater. 2015, 17, 563–597. [Google Scholar] [CrossRef]
- Sun, S.; Deng, H.; Yang, J.; Li, W.; Du, H.; Alici, G. Performance evaluation and comparison of magnetorheological elastomer absorbers working in shear and squeeze modes. J. Intell. Mater. Syst. Struct. 2015, 26, 1757–1763. [Google Scholar] [CrossRef]
- Yang, J.; Sun, S.S.; Du, H.; Li, W.H.; Alici, G.; Deng, H.X. A novel magnetorheological elastomer isolator with negative changing stiffness for vibration reduction. Smart Mater. Struct. 2014, 23, 105023. [Google Scholar] [CrossRef]
- Sjoerdsma, M.H. Controlling Structure Borne Noise in Automobiles Using Magnetorheological Components; Simon Fraser University: Burnaby, BC, Canada, 2005. [Google Scholar]
- Li, W.; Kostidis, K.; Zhang, X.; Zhou, Y. Development of a force sensor working with MR elastomers. In Proceedings of the 2009 IEEE/ASME International Conference on Advanced Intelligent Mechatronics, Singapore, 14–17 July 2009; pp. 233–238. [Google Scholar]
- Tian, T.F.; Li, W.H.; Deng, Y.M. Sensing capabilities of graphite based MR elastomers. Smart Mater. Struct. 2011, 20, 025022. [Google Scholar] [CrossRef]
- Li, W.H.; Tian, T.F.; Du, H. Smart Actuation and Sensing Systems—Recent Advances and Future Challenges; Berselli, G., Ed.; InTech: London, UK, 2012; ISBN 978-953-51-0798-9. [Google Scholar]
- Li, Y.; Li, J.; Li, W.; Du, H. A state-of-the-art review on magnetorheological elastomer devices. Smart Mater. Struct. 2014, 23, 123001. [Google Scholar] [CrossRef]
- Hu, W.; Lum, G.Z.; Mastrangeli, M.; Sitti, M. Small-scale soft-bodied robot with multimodal locomotion. Nature 2018, 554, 81–85. [Google Scholar] [CrossRef] [PubMed]
- Lu, H.; Zhang, M.; Yang, Y.; Huang, Q.; Fukuda, T.; Wang, Z.; Shen, Y. A bioinspired multilegged soft millirobot that functions in both dry and wet conditions. Nat. Commun. 2018, 9, 3944. [Google Scholar] [CrossRef] [PubMed]
- Li, W.H.; Nakano, M. Fabrication and characterization of PDMS based magnetorheological elastomers. Smart Mater. Struct. 2013, 22, 055035. [Google Scholar] [CrossRef]
- Boczkowska, A.; Awietjan, S.F.; Pietrzko, S.; Kurzydłowski, K.J. Mechanical properties of magnetorheological elastomers under shear deformation. Compos. Part B Eng. 2012, 43, 636–640. [Google Scholar] [CrossRef]
- Wu, J.K.; Gong, X.L.; Chen, L.; Xia, H.S.; Hu, Z.G. Preparation and Characterization of Isotropic Polyurethane Magnetorheological Elastomer Through In Situ Polymerization. J. Appl. Polym. Sci. 2009, 114, 901–910. [Google Scholar] [CrossRef]
- Lu, X.; Qiao, X.; Watanabe, H.; Gong, X.; Yang, T.; Li, W.; Sun, K.; Li, M.; Yang, K.; Xie, H.; et al. Mechanical and structural investigation of isotropic and anisotropic thermoplastic magnetorheological elastomer composites based on poly(styrene-b-ethylene-co-butylene-b-styrene) (SEBS). Rheol. Acta 2012, 51, 37–50. [Google Scholar] [CrossRef]
- Chen, L.; Gong, X.L.; Jiang, W.Q.; Yao, J.J.; Deng, H.X.; Li, W.H. Investigation on magnetorheological elastomers based on natural rubber. J. Mater. Sci. 2007, 42, 5483–5489. [Google Scholar] [CrossRef]
- Gong, X.L.; Zhang, X.Z.; Zhang, P.Q. Fabrication and characterization of isotropic magnetorheological elastomers. Polym. Test. 2005, 24, 669–676. [Google Scholar] [CrossRef]
- Hu, Y.; Wang, Y.L.; Gong, X.L.; Gong, X.Q.; Zhang, X.Z.; Jiang, W.Q.; Zhang, P.Q.; Chen, Z.Y. New magnetorheological elastomers based on polyurethane/Si-rubber hybrid. Polym. Test. 2005, 24, 324–329. [Google Scholar] [CrossRef]
- Kramarenko, E.Y.; Chertovich, A.V.; Stepanov, G.V.; Semisalova, A.S.; Makarova, L.A.; Perov, N.S.; Khokhlov, A.R. Magnetic and viscoelastic response of elastomers with hard magnetic filler. Smart Mater. Struct. 2015, 24, 035002. [Google Scholar] [CrossRef]
- Booth, E.W.; Beaver, D.J. Vulcanization of Rubber Compounds. Rubber Chem. Technol. 1940, 13, 918–925. [Google Scholar] [CrossRef]
- Stepanov, G.V.; Chertovich, A.V.; Kramarenko, E.Y. Magnetorheological and deformation properties of magnetically controlled elastomers with hard magnetic filler. J. Magn. Magn. Mater. 2012, 324, 3448–3451. [Google Scholar] [CrossRef]
- Wichian, A.N. Preparation and Mechanical Property of the Epoxidized Natural Rubber from Field Latex. Rubber Thai J. 2013, 2, 1–8. [Google Scholar]
- Kiu, H. Study of Adhesion Properties of Natural Rubber Epoxidized Natural Rubber, and Ethylene-Propylene Diene Terpolymer-Based Adhesive; Universiti Sains Malaysia (USM): Penang, Malaysia, 2007. [Google Scholar]
- Gelling, I.R. Epoxidised Natural Rubber. J. Nat. Rubber Res. 1991, 6, 184–205. [Google Scholar]
- Xu, K.; He, C.Z.; Wang, Y.Q.; Luo, Y.Y.; Liao, S.Q.; Peng, Z. Preparation and Characterization of Epoxidized Natural Rubber. Adv. Mater. Res. 2012, 396–398, 478–481. [Google Scholar] [CrossRef]
- Yao, C.; Zhao, S.; Wang, Y.; Wang, B.; Wei, M.; Hu, M. Microbial desulfurization of waste latex rubber with Alicyclobacillus sp. Polym. Degrad. Stab. 2013, 98, 1724–1730. [Google Scholar] [CrossRef]
- Lee, S.Y.; Kim, J.H.; Kim, B.K. Natural rubber blends with epoxidized natural rubber Natural Rubber Blends with Epoxidized Natural Rubber. J. Macromol. Sci. Part B Phys. 1997, 36, 579–594. [Google Scholar] [CrossRef]
- Rohadi, A.A.; Rahmat, A.R.; Kamal, M.M. Effect of Epoxidation Level In Silica Filled Epoxidized Natural Rubber Compound on Cure, Rheological, Mechanical and Dynamic Properties. Appl. Mech. Mater. 2014, 554, 71–75. [Google Scholar] [CrossRef]
- Wan, N.Y.; Chin, K.P.; Saad, C.S.M. Comparison of epoxidised natural rubber (ENR) 37.5 and ENR 25/ENR 50 physical blend: Specialty polymer for “green tyre” application. IOP Conf. Ser. Mater. Sci. Eng. 2010, 11, 7–11. [Google Scholar] [CrossRef]
- Azmi, I.M.; Alavi, R. Patents and the practice of open science among government research institutes in Malaysia: The case of Malaysian Rubber Board. World Pat. Inf. 2013, 35, 235–242. [Google Scholar] [CrossRef]
- Al-Mansob, R.A.; Ismail, A.; Alduri, A.N.; Azhari, C.H.; Karim, M.R.; Yusoff, N.I.M. Physical and rheological properties of epoxidized natural rubber modified bitumens. Constr. Build. Mater. 2014, 63, 242–248. [Google Scholar] [CrossRef]
- Chamnanvatchakit, P.; Prodpran, T.; Benjakul, S. Use of Epoxidized Natural Rubber (ENR) for Property Improvement of Gelatin Film. Indian J. Sci. Technol. 2015, 8, 1–10. [Google Scholar] [CrossRef]
- Hamzah, R.; Bakar, M.A.; Khairuddean, M.; Mohammed, I.A.; Adnan, R. A structural study of epoxidized natural rubber (ENR-50) and its cyclic dithiocarbonate derivative using NMR spectroscopy techniques. Molecules 2012, 17, 10974–10993. [Google Scholar] [CrossRef]
- Wang, Y.; Zhang, X.; Oh, J.; Chung, K. Fabrication and properties of magnetorheological elastomers based on CR/ENR self-crosslinking blends. Smart Mater. Struct. 2015, 24, 095006. [Google Scholar] [CrossRef]
- Yu, M.; Zhao, L.; Fu, J.; Zhu, M. Thermal effects on the laminated magnetorheological elastomer isolator. Smart Mater. Struct. 2016, 25, 1–12. [Google Scholar] [CrossRef]
- Wan, Y.; Xiong, Y.; Zhang, S. Temperature dependent dynamic mechanical properties of Magnetorheological elastomers: Experiment and modeling. Compos. Struct. 2018, 202, 768–773. [Google Scholar] [CrossRef]
- Zhang, W.; Gong, X.L.; Xuan, S.H.; Jiang, W.Q. Temperature-Dependent Mechanical Properties and Model of Magnetorheological Elastomers. Ind. Eng. Chem. Res. 2011, 50, 6704–6712. [Google Scholar] [CrossRef]
- Mehnert, M.; Hossain, M.; Steinmann, P. International Journal of Solids and Structures Towards a thermo-magneto-mechanical coupling framework for magneto-rheological elastomers. Int. J. Solids Struct. 2017, 128, 117–132. [Google Scholar] [CrossRef]
- Hossain, M.; Saxena, P.; Steinmann, P. International Journal of Solids and Structures Modelling the mechanical aspects of the curing process of magneto-sensitive elastomeric materials. Int. J. Solids Struct. 2015, 58, 257–269. [Google Scholar] [CrossRef]
- Saxena, P.; Hossain, M.; Steinmann, P. A theory of finite deformation magneto-viscoelasticity. Int. J. Solids Struct. 2013, 50, 3886–3897. [Google Scholar] [CrossRef]
- Mehnert, M.; Hossain, M.; Steinmann, P. Numerical modeling of thermo-electro-viscoelasticity with field-dependent material parameters. Int. J. Non-Linear Mech. 2018, 106, 13–24. [Google Scholar] [CrossRef]
- Chen, L.; Gong, X.L.; Li, W.H. Effect of carbon black on the mechanical performances of magnetorheological elastomers. Polym. Test. 2008, 27, 340–345. [Google Scholar] [CrossRef]
- Omnes, B.; Thuillier, S.; Pilvin, P.; Grohens, Y.; Gillet, S. Effective properties of carbon black filled natural rubber: Experiments and modeling. Compos. Part A Appl. Sci. Manuf. 2008, 39, 1141–1149. [Google Scholar] [CrossRef]
- Wu, J.K.; Gong, X.L.; Fan, Y.C.; Xia, H.S. Anisotropic polyurethane magnetorheological elastomer prepared through in situ polycondensation under a magnetic field. Smart Mater. Struct. 2010, 19, 105007. [Google Scholar] [CrossRef]
- Wu, J.K.; Gong, X.L.; Fan, Y.C.; Xia, H.S. Improving the Magnetorheological Properties of Polyurethane Magnetorheological Elastomer Through Plasticization. J. Appl. Polym. Sci. 2012, 123, 2476–2484. [Google Scholar] [CrossRef]
- Gong, Q.C.; Wu, J.K.; Gong, X.L.; Fan, Y.C.; Xia, H.S. Smart polyurethane foam with magnetic field controlled modulus and anisotropic compression property. RSC Adv. 2013, 3, 3241. [Google Scholar] [CrossRef]
- Venkatanarasimhan, S.; Raghavachari, D. Epoxidized natural rubber–magnetite nanocomposites for oil spill recovery. J. Mater. Chem. A 2013, 1, 868–876. [Google Scholar] [CrossRef]
- Chuayjuljit, S.; Mungmeechai, P.; Boonmahitthisud, A. Mechanical properties, thermal behaviors and oil resistance of epoxidized natural rubber/multiwalled carbon nanotube nanocomposites prepared via in situ epoxidation. J. Elastomers Plast. 2016, 49, 99–119. [Google Scholar] [CrossRef]
- Boczkowska, A.; Awietjan, S.F.; Wroblewski, R. Microstructure–property relationships of urethane magnetorheological elastomers. Smart Mater. Struct. 2007, 16, 1924–1930. [Google Scholar] [CrossRef]
- Lokander, M.; Stenberg, B. Improving the magnetorheological effect in isotropic magnetorheological rubber materials. Polym. Test. 2002, 22, 245–251. [Google Scholar] [CrossRef]
- Sun, T.L.; Gong, X.L.; Jiang, W.Q.; Li, J.F.; Xu, Z.B.; Li, W.H. Study on the damping properties of magnetorheological elastomers based on cis-polybutadiene rubber. Polym. Test. 2008, 27, 520–526. [Google Scholar] [CrossRef]
- Sorokin, V.V.; Stepanov, G.V.; Shamonin, M.; Monkman, G.J.; Khokhlov, A.R.; Kramarenko, E.Y. Hysteresis of the viscoelastic properties and the normal force in magnetically and mechanically soft magnetoactive elastomers: Effects of filler composition, strain amplitude and magnetic field. Polymer 2015, 76, 191–202. [Google Scholar] [CrossRef]
- Sorokin, V.V.; Ecker, E.; Stepanov, G.V.; Shamonin, M.; Monkman, G.J.; Kramarenko, E.Y.; Khokhlov, A.R. Experimental study of the magnetic field enhanced Payne effect in magnetorheological elastomers. Soft Matter 2014, 10, 8765–8776. [Google Scholar] [CrossRef] [PubMed]
- An, H.N.; Picken, S.J.; Mendes, E. Nonlinear rheological study of magneto responsive soft gels. Polymer 2012, 53, 4164–4170. [Google Scholar] [CrossRef]
- Khimi, S.R.; Pickering, K.L. Comparison of dynamic properties of magnetorheological elastomers with existing antivibration rubbers. Compos. Part B Eng. 2015, 83, 175–183. [Google Scholar] [CrossRef]
- Khimi, R. Development of Elastomeric Composites from Iron Sand and Natural Rubber for Vibration Damping A Thesis The University of Waikato; University of Waikato: Hamilton, New Zealand, 1994. [Google Scholar]
- Pickering, K.L.; Raa Khimi, S.; Ilanko, S. The effect of silane coupling agent on iron sand for use in magnetorheological elastomers Part 1: Surface chemical modification and characterization. Compos. Part A Appl. Sci. Manuf. 2015, 68, 377–386. [Google Scholar] [CrossRef]
- Xu, Y.G.; Gong, X.L.; Xuan, S.H.; Zhang, W.; Fan, Y.C. A high-performance magnetorheological material: Preparation, characterization and magnetic-mechanic coupling properties. Soft Matter 2011, 7, 5246. [Google Scholar] [CrossRef]
- Ubaidillah; Imaduddin, F.; Li, Y.; Mazlan, S.A.; Sutrisno, J.; Koga, T.; Yahya, I.; Choi, S.-B. A new class of magnetorheological elastomers based on waste tire rubber and the characterization of their properties. Smart Mater. Struct. 2016, 25, 115002. [Google Scholar] [CrossRef]
- Zhu, J.T.; Xu, Z.D.; Guo, Y.Q. Experimental and Modeling Study on Magnetorheological Elastomers with Different Matrices. J. Mater. Civ. Eng. 2013, 25, 1762–1771. [Google Scholar] [CrossRef]
- Chen, L.; Gong, X.L.; Li, W.H. Damping of Magnetorheological Elastomers. Chin. J. Chem. Phys. 2008, 21, 581–585. [Google Scholar] [CrossRef]
- Fan, Y.C.; Gong, X.L.; Xuan, S.H.; Zhang, W.; Zheng, J.; Jiang, W.Q. Interfacial friction damping properties in magnetorheological elastomers. Smart Mater. Struct. 2011, 20, 035007. [Google Scholar] [CrossRef]
- Xuan, S.H.S.; Zhang, Y.Y.L.; Zhou, Y.; Jiang, W.Q.W.; Gong, X.L.X. Magnetic PlasticineTM: A versatile magnetorheological material. J. Mater. Chem. 2012, 22, 13395. [Google Scholar] [CrossRef]









| CIP Content (wt %) | Element (wt %) | ||||
|---|---|---|---|---|---|
| Fe | C | S | Zn | O | |
| 0 | 0.00 | 84.24 | 1.51 | 1.42 | 12.83 |
| 10 | 0.96 | 83.11 | 1.26 | 1.60 | 13.07 |
| 30 | 6.89 | 80.26 | 1.53 | 2.12 | 9.20 |
| 50 | 11.25 | 74.64 | 1.24 | 2.17 | 10.70 |
| 70 | 19.51 | 70.57 | 1.46 | 1.73 | 6.73 |
| CIP Content (wt %) | Tonset (°C) | Tmax1 (°C) | Tmax2 (°C) | Tend (°C) | Residue at 600 (°C) (%) |
|---|---|---|---|---|---|
| 0 | 250 | 300 | 380 | 420 | 23.18 |
| 10 | 251 | 308 | 388 | 448 | 30.15 |
| 30 | 260 | 320 | 397 | 450 | 45.31 |
| 50 | 265 | 327 | 404 | 455 | 62.61 |
| 70 | 276 | 332 | 409 | 463 | 76.36 |
© 2019 by the authors. Licensee MDPI, Basel, Switzerland. This article is an open access article distributed under the terms and conditions of the Creative Commons Attribution (CC BY) license (http://creativecommons.org/licenses/by/4.0/).
Share and Cite
Yunus, N.A.; Mazlan, S.A.; Ubaidillah; Abdul Aziz, S.A.; Tan Shilan, S.; Abdul Wahab, N.A. Thermal Stability and Rheological Properties of Epoxidized Natural Rubber-Based Magnetorheological Elastomer. Int. J. Mol. Sci. 2019, 20, 746. https://doi.org/10.3390/ijms20030746
Yunus NA, Mazlan SA, Ubaidillah, Abdul Aziz SA, Tan Shilan S, Abdul Wahab NA. Thermal Stability and Rheological Properties of Epoxidized Natural Rubber-Based Magnetorheological Elastomer. International Journal of Molecular Sciences. 2019; 20(3):746. https://doi.org/10.3390/ijms20030746
Chicago/Turabian StyleYunus, Nurul Azhani, Saiful Amri Mazlan, Ubaidillah, Siti Aishah Abdul Aziz, Salihah Tan Shilan, and Nurul Ain Abdul Wahab. 2019. "Thermal Stability and Rheological Properties of Epoxidized Natural Rubber-Based Magnetorheological Elastomer" International Journal of Molecular Sciences 20, no. 3: 746. https://doi.org/10.3390/ijms20030746
APA StyleYunus, N. A., Mazlan, S. A., Ubaidillah, Abdul Aziz, S. A., Tan Shilan, S., & Abdul Wahab, N. A. (2019). Thermal Stability and Rheological Properties of Epoxidized Natural Rubber-Based Magnetorheological Elastomer. International Journal of Molecular Sciences, 20(3), 746. https://doi.org/10.3390/ijms20030746

