Killer Immunoglobulin-Like Receptor 2DS2 (KIR2DS2), KIR2DL2-HLA-C1, and KIR2DL3 as Genetic Markers for Stratifying the Risk of Cytomegalovirus Infection in Kidney Transplant Recipients
Abstract
1. Introduction
2. Results
2.1. Clinical Characteristics of the Study Patients
2.2. The Relation between the Cmv Infection Occurrence and Individual Kir Gene Frequencies (Univariate Analysis)
2.3. KIR Genotype and Rate of Cmv Infection (Univariate Analysis)
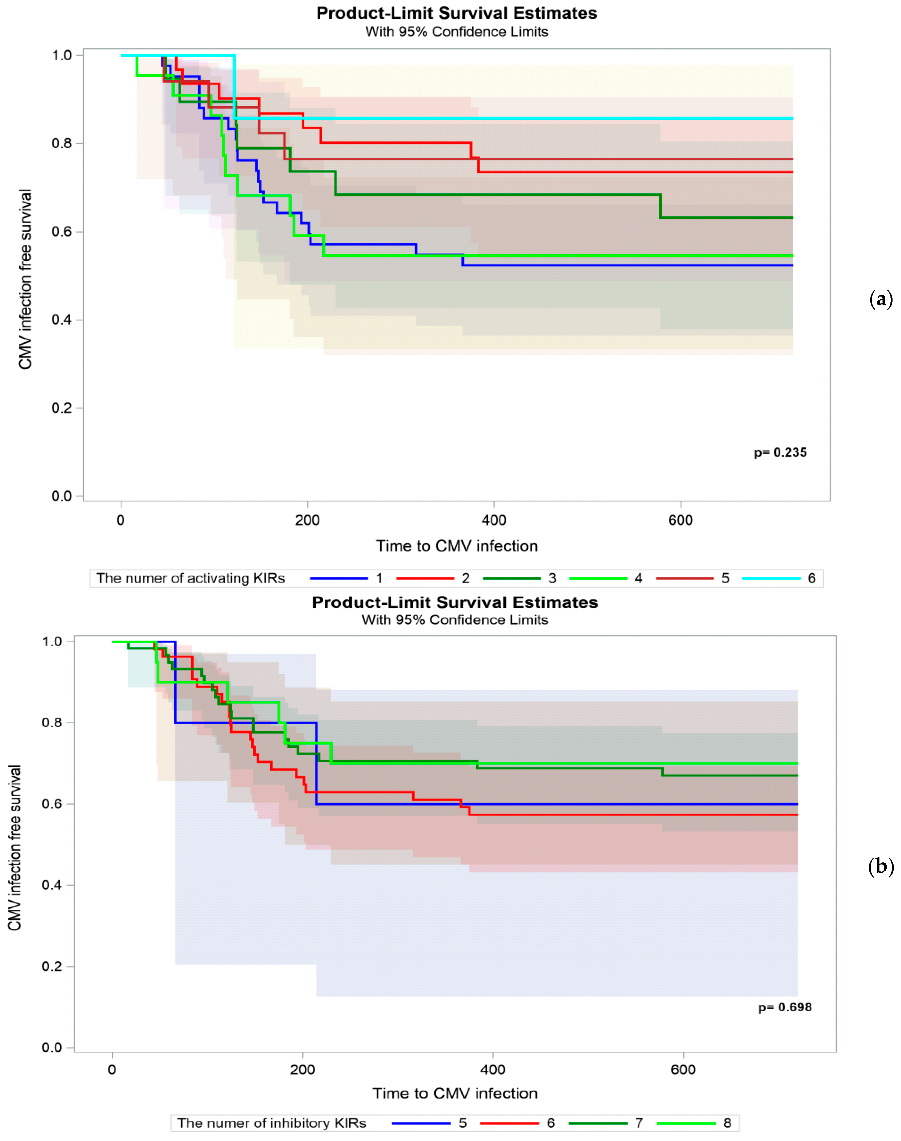
2.4. Cumulative Number of Activating and Inhibitory Genes That Were Present in Kir Haplotypes and Cmv Infection (Univariate Analysis)
2.5. KIR/HLA Interactions and CMV Infection (Univariate Analysis)
2.6. Factors Other Than KIR Factors That Affect Posttransplant Cmv Infection
2.7. Independent Risk Factors for Posttransplant Cmv Infection (Multivariate Analysis)
3. Discussion
4. Materials and Methods
4.1. Study Design, Participants, and Outcome Parameters
4.2. Procedures
4.2.1. KIR and HLA Genotyping
4.2.2. CMV DNAemia
4.2.3. Detection of CMV-Specific Antibodies
4.3. Statistical Analyses
5. Conclusions
Author Contributions
Funding
Conflicts of Interest
Abbreviations
| ABMR | Antibody-mediated rejection |
| AU | Arbitrary unit |
| CI | Confidence interval |
| CMV | Cytomegalovirus |
| D | Donor |
| eGFR | Estimated glomerular filtration rate |
| GLM | Generalized linear models |
| HLA | Human leukocyte antigen |
| KIR | Killer-cell immunoglobulin-like receptor |
| NK | Natural killer |
| OR | Odds ratio |
| PCR | Polymerase chain reaction |
| R | Recipient |
| SAS | Statistical analysis system |
| SD | Standard deviation |
| SSO | Sequence specific olinucleotides |
| TCMR | T cell–mediated rejection |
References
- Razonable, R.R.; Humar, A. Cytomegalovirus in solid organ transplantation. Am. J. Transplant. 2013, 13 (Suppl. 4), 93–106. [Google Scholar] [CrossRef] [PubMed]
- Razonable, R.R.; Rivero, A.; Rodriguez, A.; Wilson, J.; Daniels, J.; Jenkins, G.; Larson, T.; Hellinger, W.C.; Spivey, J.R.; Paya, C.V. Allograft rejection predicts the occurrence of late-onset cytomegalovirus (CMV) disease among CMV-mismatched solid organ transplant patients receiving prophylaxis with oral ganciclovir. J. Infect. Dis. 2001, 184, 1461–1464. [Google Scholar] [CrossRef] [PubMed]
- Humar, A.; Lebranchu, Y.; Vincenti, F.; Blumberg, E.A.; Punch, J.D.; Limaye, A.P.; Abramowicz, D.; Jardine, A.G.; Voulgari, A.T.; Ives, J.; et al. The efficacy and safety of 200 days valganciclovir cytomegalovirus prophylaxis in high-risk kidney transplant recipients. Am. J. Transplant. 2010, 10, 1228–1237. [Google Scholar] [CrossRef] [PubMed]
- Schoeppler, K.E.; Lyu, D.M.; Grazia, T.J.; Crossno, J.T., Jr.; Vandervest, K.M.; Zamora, M.R. Late-onset cytomegalovirus (CMV) in lung transplant recipients: Can CMV serostatus guide the duration of prophylaxis? Am. J. Transplant. 2013, 13, 376–382. [Google Scholar] [CrossRef]
- Santos, C.A.; Brennan, D.C.; Fraser, V.J.; Olsen, M.A. Delayed-onset cytomegalovirus disease coded during hospital readmission after kidney transplantation. Transplantation 2014, 98, 187–194. [Google Scholar] [CrossRef]
- Venema, H.; van den Berg, A.P.; van Zanten, C.; van Son, W.J.; van der Giessen, M.; The, T.H. Natural killer cell responses in renal transplant patients with cytomegalovirus infection. J. Med. Virol. 1994, 42, 188–192. [Google Scholar] [CrossRef] [PubMed]
- Wilson, M.J.; Torkar, M.; Haude, A.; Milne, S.; Jones, T.; Sheer, D.; Beck, S.; Trowsdale, J. Plasticity in the organization and sequences of human KIR/ILT gene families. Proc. Natl. Acad. Sci. USA 2000, 97, 4778–4783. [Google Scholar] [CrossRef]
- Marsh, S.G.; Parham, P.; Dupont, B.; Geraghty, D.E.; Trowsdale, J.; Middleton, D.; Vilches, C.; Carrington, M.; Witt, C.; Guethlein, L.A.; et al. Killer-cell immunoglobulin-like receptor (KIR) nomenclature report, 2002. Tissue Antigens 2003, 62, 79–86. [Google Scholar] [CrossRef]
- Lanier, L.L. NK cell recognition. Annu. Rev. Immunol. 2005, 23, 225–274. [Google Scholar] [CrossRef]
- Hsu, K.C.; Liu, X.R.; Selvakumar, A.; Mickelson, E.; O’Reilly, R.J.; Dupont, B. Killer Ig-like receptor haplotype analysis by gene content: Evidence for genomic diversity with a minimum of six basic framework haplotypes, each with multiple subsets. J. Immunol. 2002, 169, 5118–5129. [Google Scholar] [CrossRef]
- Hadaya, K.; de Rham, C.; Bandelier, C.; Bandelier, C.; Ferrari-Lacraz, S.; Jendly, S.; Berney, T.; Buhler, L.; Kaiser, L.; Seebach, J.D.; et al. Natural killer cell receptor repertoire and their ligands, and the risk of CMV infection after kidney transplantation. Am. J. Transplant. 2008, 8, 2674–2683. [Google Scholar] [CrossRef] [PubMed]
- Stern, M.; Elsässer, H.; Hönger, G.; Steiger, J.; Schaub, S.; Hess, C. The number of activating KIR genes inversely correlates with the rate of CMV infection/reactivation in kidney transplant recipients. Am. J. Transplant. 2008, 8, 1312–1317. [Google Scholar] [CrossRef] [PubMed]
- Stern, M.; Hadaya, K.; Hönger, G.; Martin, P.Y.; Steiger, J.; Hess, C.; Villard, J.; Stern, M.; Hadaya, K.; Hönger, G.; et al. Telomeric rather than centromeric activating KIR genes protect from cytomegalovirus infection after kidney transplantation. Am. J. Transplant. 2011, 11, 1302–1307. [Google Scholar] [CrossRef] [PubMed]
- Zaia, J.A.; Sun, J.Y.; Gallez-Hawkins, G.M.; Thao, L.; Oki, A.; Lacey, S.F.; Dagis, A.; Palmer, J.; Diamond, D.J.; Forman, S.J.; et al. The effect of single and combined activating killer immunoglobulin-like receptor genotypes on cytomegalovirus infection and immunity after hematopoietic cell transplantation. Biol. Blood Marrow Transplant. 2009, 15, 315–325. [Google Scholar] [CrossRef] [PubMed]
- Gallez-Hawkins, G.M.; Franck, A.E.; Li, X.; Thao, L.; Oki, A.; Gendzekhadze, K.; Dagis, A.; Palmer, J.; Nakamura, R.; Forman, S.J.; et al. Expression of activating KIR2DS2 and KIR2DS4 genes after hematopoietic cell transplantation: Relevance to cytomegalovirus infection. Biol. Blood Marrow Transplant. 2011, 17, 1662–1672. [Google Scholar] [CrossRef] [PubMed]
- Van Duin, D.; Avery, R.K.; Hemachandra, S.; Yen-Lieberman, B.; Zhang, A.; Jain, A.; Butler, R.S.; Barnard, J.; Schold, J.D.; Fung, J.; et al. KIR and HLA Interactions Are Associated with Control of Primary CMV Infection in SolidOrgan Transplant Recipients. Am. J. Transplant. 2014, 14, 156–162. [Google Scholar] [CrossRef] [PubMed]
- Di Bona, D.; Accardi, G.; Aiello, A.; Bilancia, M.; Candore, G.; Colomba, C.; Caruso, C.; Duro, G.; Gambino, C.M.; Macchia, L.; et al. Association between γ marker, human leucocyte antigens and killerimmunoglobulin-likereceptors and the naturalcourse of human cytomegalovirusinfection: A pilot study performed in a Sicilian population. Immunology 2018, 153, 523–531. [Google Scholar] [CrossRef]
- Tuttolomondo, A.; Colomba, C.; Di Bona, D.; Casuccio, A.; Di Raimondo, D.; Clemente, G.; Arnao, V.; Pecoraro, R.; Ragonese, P.; Aiello, A.; et al. HLA and killer cell immunoglobulin-like receptor (KIRs) genotyping in patients with acute viral encephalitis. Oncotarget 2018, 9, 17523–17532. [Google Scholar] [CrossRef] [PubMed]
- Askar, M.; Avery, R.; Corey, R.; Lopez, R.; Thomas, D.; Pidwell, D.; Eghtesad, B.; Miller, C.; Fung, J.; Zein, N.N. Lack of killerimmunoglobulin-like receptor 2DS2 (KIR2DS2) and KIR2DL2 is associated with poor responses to therapy of recurrent hepatitis C virus in liver transplant recipients. Liver Transpl. 2009, 15, 1557–1563. [Google Scholar] [CrossRef] [PubMed]
- Naiyer, M.M.; Cassidy, S.A.; Magri, A.; Cowton, V.; Chen, K.; Mansour, S.; Kranidioti, H.; Mbirbindi, B.; Rettman, P.; Harris, S.; et al. KIR2DS2recognizes conserved peptidesderived from viral helicases in the context of HLA-C. Sci. Immunol. 2017, 2, eaal5296. [Google Scholar] [CrossRef] [PubMed]
- Winter, C.C.; Gumperz, J.E.; Parham, P.; Long, E.O.; Wagtmann, N. Direct Binding and Functional Transfer of NK Cell Inhibitory Receptors Reveal Novel Patterns of HLA-C Allotype Recognition. J. Immunol. 1998, 161, 571–577. [Google Scholar] [PubMed]
- Saito, H.; Umemura, T.; Joshita, S.; Yamazaki, T.; Fujimori, N.; Kimura, T.; Komatsu, M.; Matsumoto, A.; Tanaka, E.; Ota, M. KIR2DL2 combined with HLA-C1 confers risk of hepatitis C virus-related hepatocellular carcinoma in younger patients. Oncotarget 2018, 9, 19650–19661. [Google Scholar] [CrossRef] [PubMed]
- Shan, Z.; Huang, J.; Liao, Q.; Huang, K.; Wang, M.; Xu, R.; Tang, X.; Zhang, W.; Nelson, K.; Fu, Y.; et al. Association of killer cell immunoglobulin like receptors with spontaneous clearance of hepatitisC virus in the Chinese population. Transfusion 2018, 58, 1028–1035. [Google Scholar] [CrossRef] [PubMed]
- Bao, X.; Hanson, A.L.; Madeleine, M.M.; Wang, S.S.; Schwartz, S.M.; Newell, F.; Pettersson-Kymmer, U.; Hemminki, K.; Tiews, S.; Steinberg, W.; et al. HLA and KIR Associations of Cervical Neoplasia. J. Infect. Dis. 2018, 218, 2006–2015. [Google Scholar] [CrossRef] [PubMed]
- Saulquin, X.; Gastinel, L.N.; Vivier, E. Crystal structure of the human natural killer cell activating receptor KIR2DS2 (CD158j). J. Exp. Med. 2003, 197, 933–938. [Google Scholar] [CrossRef] [PubMed]
- Stewart, C.A.; Laugier-Anfossi, F.; Vély, F.; Saulquin, X.; Riedmuller, J.; Tisserant, A.; Gauthier, L.; Romagné, F.; Ferracci, G.; Arosa, F.A.; et al. Recognition of peptide MHC class I complexes by activating killer immunoglobulin-like receptors. Proc. Natl. Acad. Sci. USA 2005, 102, 13224–13229. [Google Scholar] [CrossRef] [PubMed]
- Michelo, C.M.; van der Meer, A.; Tijssen, H.J.; Zomer, R.; Stelma, F.; Hilbrands, L.B.; Joosten, I. KIR and Human Leukocyte Antigen Genotype Associated Risk of Cytomegalovirus Disease in Renal Transplant Patients. Transplantation 2015, 99, 1506–1513. [Google Scholar] [CrossRef] [PubMed]
- Gonzalez, A.; Schmitter, K.; Hirsch, H.H.; Garzoni, C.; van Delden, C.; Boggian, K.; Mueller, N.J.; Berger, C.; Villard, J.; Manuel, O.; et al. Swiss Transplant Cohort Study. KIR-associated protection from CMV replication requires pre-existing immunity: A prospective study in solid organ transplant recipients. Genes Immun. 2014, 15, 495–499. [Google Scholar] [CrossRef]
- Cook, M.; Briggs, D.; Craddock, C.; Mahendra, P.; Milligan, D.; Fegan, C.; Darbyshire, P.; Lawson, S.; Boxall, E.; Moss, P. Donor KIR genotype has a major influence on the rate of cytomegalovirus reactivation following T-cell replete stem cell transplantation. Blood 2006, 107, 1230–1232. [Google Scholar] [CrossRef]
- Helantera, I.; Lautenschlager, I.; Koskinen, P. The risk of cytomegalovirus recurrence after kidney transplantation. Transpl. Int. 2011, 24, 1170–1178. [Google Scholar] [CrossRef]
- Kato, S.; Chmielewski, M.; Honda, H.; Pecoits-Filho, R.; Matsuo, S.; Yuzawa, Y.; Tranaeus, A.; Stenvinkel, P.; Lindholm, B. Aspect of Immune Dysfunction in End -stage Renal Disease. CJASN 2008, 3, 1526–1533. [Google Scholar] [CrossRef] [PubMed]
- Deborska-Materkowska, D.; Perkowska-Ptasinska, A.; Sadowska, A.; Gozdowska, J.; Ciszek, M.; Serwanska-Swietek, M.; Domagala, P.; Miszewska-Szyszkowska, D.; Sitarek, E.; Jozwik, A.; et al. Diagnostic utility of monitoring cytomegalovirus-specific immunity by QuantiFERON-cytomegalovirus assay in kidney transplant recipients. BMC Infect. Dis. 2018, 18, 179. [Google Scholar] [CrossRef] [PubMed]
- Fernández-Ruiz, M.; López-Medrano, F.; Romo, E.M.; Allende, L.M.; Meneu, J.C.; Fundora Suarez, Y.; San-Juan, R.; Lizasoain, M.; Paz-Artal, E.; Aguado, J.M. Pretransplant lymphocyte count predicts the incidence of infection during the first two years after liver transplantation. Liver Transpl. 2009, 15, 1209–1216. [Google Scholar] [CrossRef] [PubMed]
- Nierenberg, N.E.; Poutsiaka, D.D.; Chow, J.K.; Cooper, J.; Price, L.L.; Freeman, R.B.; Rohrer, R.; Snydman, D.R. Pretransplant lymphopenia is novel prognostic factor in cytomegalovirus and non-0cytomegalovirus invasive infections after liver transplantation. Liver Transpl. 2014, 20, 1497–1507. [Google Scholar] [PubMed]
- San-Juan, R.; Navarro, D.; García-Reyne, A.; Montejo, M.; Muñoz, P.; Carratala, J.; Len, O.; Fortun, J.; Muñoz-Cobo, B.; Gimenez, E.; et al. Effect of delaying prophylaxis against CMV in D+/R- solid organ transplant recipients in the development of CMV-specific cellular immunity and occurrence of late CMV disease. J. Infect. 2015, 71, 561–570. [Google Scholar] [CrossRef] [PubMed]
- Kotton, C.N.; Kumar, D.; Caliendo, A.M.; Huprikar, S.; Chou, S.; Danziger-Isakov, L.; Humar, A.; The Transplantation Society International CMV Consensus Group. The third international consensus guidelines on the management of cytomegalovirus in solid-organ transplantation. Transplantation 2018, 102, 900–931. [Google Scholar] [CrossRef]
- Roufosse, C.; Simmonds, N.; Clahsen-van Groningen, M.; Haas, M.; Henriksen, K.J.; Horsfield, C.; Loupy, A.; Mengel, M.; Perkowska-Ptasińska, A.; Rabant, M.; et al. A 2018 Reference Guide to the Banff Classification of Renal Allograft Pathology. Transplantation 2018, 102, 1795–1814. [Google Scholar] [CrossRef]
- Hsu, K.C.; Chida, S.; Geraghty, D.E.; Dupont, B. The killer cell immunoglobulin-like receptor (KIR) genomic region: Gene-order, haplotypes and allelic polymorphism. Immunol. Rev. 2002, 190, 40–52. [Google Scholar] [CrossRef]
- Uhrberg, M.; Valiante, N.M.; Shum, B.P.; Shilling, H.G.; Lienert-Weidenbach, K.; Corliss, B.; Tyan, D.; Lanier, L.L.; Parham, P. Human diversity in killer cell inhibitory receptor genes. Immunity 1997, 7, 753–763. [Google Scholar] [CrossRef]



| Characteristic | |
|---|---|
| Age of recipient (years) (median (range)) | 48 (20–77) |
| Gender (male) | n = 90 (65%) |
| Type of Transplant | |
| Kidney | n = 133 (96.4%) |
| Kidney + pancreas | n = 4 (2.9%) |
| Kidney + heart | n = 1 (0.7%) |
| Type of Donor | |
| Living | n = 10 (7.2%) |
| Deceased | n = 128 (92.8%) |
| Pretransplant Donor (D)/Recipient (R) CMV Serostatus | |
| D+/R− | n = 34 (25.2%) |
| D− or D+/R+ | n = 104 (74.8%) |
| Induction Therapy | |
| Thymoglobulin | n = 13 (9.4%) |
| Basiliximab | n = 72 (52.2%) |
| None | n = 53 (38.4%) |
| Maintenance Immunosuppression | |
| tacrolimus + mycophenolate mofetil/sodium + prednisone | n = 121 (87.7%) |
| cyclosporine A + mycophenolate mofetil/sodium + prednisone | n = 15 (10.9%) |
| tacrolimus + everolimus + prednisone | n = 2 (1.4%) |
| Time from kidney transplant to antiviral prophylaxis initiation (days) (mean ± SD [range]) | 6 ± 5 (0–25) |
| Time from kidney transplant to antiviral prophylaxis discontinuation (days) (mean ± SD [range]) | 90 ± 21 (12–178) |
| Duration of antiviral prophylaxis (days) (mean ± SD (range)) | 84 ± 21(10–175) |
| Allograft function (eGFR; ml/min/1.73 m2) (mean ± SD [range]) | |
| Day 30 | 46.7 ± 19.9 (6.7–103.7) |
| Day 90 | 47.8 ± 18.5 (8.5–98.9) |
| Day 360 | 49.5 ± 18.6 (8.8–105.0) |
| KIR Genotype | |
| A/A | n = 42 (30.4%) |
| B/X | n = 96 (69.6%) |
| KIR Genes | |||||||||||||
|---|---|---|---|---|---|---|---|---|---|---|---|---|---|
| 3DS1 | 2DL1 | 2DL2 | 2DL3 | 2DL5 | 2DS1 | 2DS2 | 2DS3 | 2DS4fl | 2DS4del | 2DS5 | 3DL1 | 2DP1 | |
| N | 48 | 130 | 71 | 115 | 64 | 51 | 72 | 42 | 63 | 106 | 37 | 128 | 132 |
| % | 34.8 | 94.2 | 51.4 | 83.3 | 46.4 | 36.9 | 52.2 | 30.4 | 45.7 | 76.8 | 26.8 | 92.8 | 95.7 |
| Genetic factor | CMV Infection n (%) | No CMV Infection n (%) | p |
|---|---|---|---|
| KIR Genotype | 0.065 | ||
| A/A | 20 (47.6) | 22 (52.4) | |
| B/X | 30 (31.2) | 66 (68.8) | |
| Number of Activating KIRs | 0.201 | ||
| 1 | 20 (47.6) | 22 (52.4) | |
| 2 | 8 (25.8) | 23 (74.2) | |
| 3 | 7 (36.8) | 12 (63.2) | |
| 4 | 10 (45.5) | 12 (54.5) | |
| 5 | 4 (23.5) | 13 (76.5) | |
| 6 | 1 (14.3) | 6 (85.7) | |
| Number of Inhibitory KIRs | 0.631 | ||
| 5 | 2 (40.0) | 3 (60.0) | |
| 6 | 23 (42.6) | 31 (57.4) | |
| 7 | 19 (32.2) | 40 (67.8) | |
| 8 | 6 (30.0) | 14 (70.0) | |
| KIR2DL1–HLA-C2 | 29 (37.2) | 49 (62.8) | 0.791 |
| KIR2DL2–HLA-C1 | 17 (30.9) | 38 (69.1) | 0.289 |
| KIR2DL3–HLA-C1 | 34 (40.0) | 51 (60.0) | 0.243 |
| KIR3DL1–HLA-Bw4 | 35 (37.2) | 59 (62.8) | 0.720 |
| KIR3DL2–HLA-A3/A11 | 22 (38.6) | 35 (61.4) | 0.627 |
| Characteristic | CMV Infection | No CMV Infection | p |
|---|---|---|---|
| Age (years) (mean ± SD) | 50.3 ± 13.6 | 46.5 ± 14.6 | 0.143 |
| Gender, male (n [%]) | 30 (60.0) | 60 (68.2) | 0.332 |
| Type of Transplant (n [%]) | |||
| Kidney | 48 (36.1) | 85 (63.9) | 0.371 |
| Kidney + pancreas | 1 (25) | 3 (75) | |
| Kidney + heart | 1 (100) | 0 | |
| Donor (deceased/living) (n [%]) | 49 (38.3)/1(10) | 79 (61.7)/9 (90) | 0.073 |
| Allograft Function (eGFR) (mean ± SD) | |||
| Day 30 | 41.6 ± 16.4 | 49.6 ± 21.1 | 0.040 |
| Day 90 | 40.9 ± 17.1 | 51.6 ± 18.2 | 0.0006 |
| Acute Rejection (n [%]) | |||
| TCMR | 18 (42.9) | 24 (57.1) | 0.639 |
| ABMR | 8 (47.1) | 9 (52.9) | 0.521 |
| TCMR or ABMR | 22 (44.9) | 27 (55.1) | 0.362 |
| HLA Mismatch (n [%]) | |||
| ≤3/6 | 25 (40.3) | 37 (59.7) | 0.366 |
| >3/6 | 25 (32.9) | 51 (67.1) | |
| Lymphocyte blood count ≤ day 90 (G/L) (n [%]) | |||
| <0.8 | 31 (56.4) | 24 (43.6) | 0.0003 |
| ≥0.8 | 17 (24.6) | 52 (75.4) | |
| Leukocyte Blood Count ≤ Day 90 (G/L) (n [%]) | |||
| <4.1 | 34 (46.6) | 39 (53.4) | 0.007 |
| ≥4.1 | 16 (24.6) | 49 (75.4) | |
| Donor (n [%]) | |||
| CMV IgG+ | 45 (37.5) | 75 (62.5) | 0.752 |
| CMV IgG− | 5 (33.3) | 10 (66.7) | |
| Pretransplant Recipient CMV Serostatus (n [%]) | |||
| CMV IgG+ | 32 (31.7) | 69 (68.3) | 0.066 |
| CMV IgG− | 18 (48.7) | 19 (51.3) | |
| Pretransplant recipient CMV IgG titer day 0 (AU/mL) (mean ± SD) | 80.7 (95.9) | 133.4 (116.6) | 0.016 |
| Pretransplant Donor/Recipient CMV Serostatus (n [%]) | |||
| D+/R− | 18 (52.9) | 16 (47.1) | 0.019 |
| D+ or D−/R+ | 32 (30.8) | 72 (69.2) | |
| Duration of antiviral prophylaxis (days) (mean ± SD) | 80 ± 23 | 87 ± 19 | 0.276 |
| Time from kidney transplant to antiviral prophylaxis initiation (days) (mean ± SD) | 4.68 ± 4.97 | 7.22 ± 5.39 | 0.005 |
| Induction Therapy (%) | |||
| Yes (basiliximab) | 27.8 | 72.2 | 0.076 |
| Yes (thymoglobulin) | 53.8 | 46.2 | |
| No | 43.4 | 56.6 | |
| Induction Therapy (%) | |||
| Yes (basiliximab or thymoglobulin) | 31.8 | 68.2 | 0.166 |
| No | 43.4 | 56.6 | |
| Best Subset of Parameters | Multivariate Analysis | ||
|---|---|---|---|
| OR | 95% CI | p | |
| Lack of KIR2DS2 | 7.984 | 1.155–55.215 | 0.04 |
| KIR2DL2-HLA-C1 | 8.197 | 1.055–62.500 | 0.04 |
| KIR2DL3 | 4.219 | 0.866–20.833 | 0.08 |
| Allograft dysfunction | 1.030 | 1.002–1.059 | 0.04 |
| Lymphocytopenia | 3.200 | 1.286–7.960 | 0.01 |
| Earlier time of antiviral prophylaxis initiation | 1.107 | 1.013–1.212 | 0.03 |
| D+/R− pretransplant serostatus | 3.241 | 1.043–10.069 | 0.04 |
© 2019 by the authors. Licensee MDPI, Basel, Switzerland. This article is an open access article distributed under the terms and conditions of the Creative Commons Attribution (CC BY) license (http://creativecommons.org/licenses/by/4.0/).
Share and Cite
Deborska-Materkowska, D.; Perkowska-Ptasinska, A.; Sadowska-Jakubowicz, A.; Gozdowska, J.; Ciszek, M.; Pazik, J.; Ostaszewska, A.; Kosieradzki, M.; Nowak, J.; Durlik, M. Killer Immunoglobulin-Like Receptor 2DS2 (KIR2DS2), KIR2DL2-HLA-C1, and KIR2DL3 as Genetic Markers for Stratifying the Risk of Cytomegalovirus Infection in Kidney Transplant Recipients. Int. J. Mol. Sci. 2019, 20, 546. https://doi.org/10.3390/ijms20030546
Deborska-Materkowska D, Perkowska-Ptasinska A, Sadowska-Jakubowicz A, Gozdowska J, Ciszek M, Pazik J, Ostaszewska A, Kosieradzki M, Nowak J, Durlik M. Killer Immunoglobulin-Like Receptor 2DS2 (KIR2DS2), KIR2DL2-HLA-C1, and KIR2DL3 as Genetic Markers for Stratifying the Risk of Cytomegalovirus Infection in Kidney Transplant Recipients. International Journal of Molecular Sciences. 2019; 20(3):546. https://doi.org/10.3390/ijms20030546
Chicago/Turabian StyleDeborska-Materkowska, Dominika, Agnieszka Perkowska-Ptasinska, Anna Sadowska-Jakubowicz, Jolanta Gozdowska, Michał Ciszek, Joanna Pazik, Agata Ostaszewska, Maciej Kosieradzki, Jacek Nowak, and Magdalena Durlik. 2019. "Killer Immunoglobulin-Like Receptor 2DS2 (KIR2DS2), KIR2DL2-HLA-C1, and KIR2DL3 as Genetic Markers for Stratifying the Risk of Cytomegalovirus Infection in Kidney Transplant Recipients" International Journal of Molecular Sciences 20, no. 3: 546. https://doi.org/10.3390/ijms20030546
APA StyleDeborska-Materkowska, D., Perkowska-Ptasinska, A., Sadowska-Jakubowicz, A., Gozdowska, J., Ciszek, M., Pazik, J., Ostaszewska, A., Kosieradzki, M., Nowak, J., & Durlik, M. (2019). Killer Immunoglobulin-Like Receptor 2DS2 (KIR2DS2), KIR2DL2-HLA-C1, and KIR2DL3 as Genetic Markers for Stratifying the Risk of Cytomegalovirus Infection in Kidney Transplant Recipients. International Journal of Molecular Sciences, 20(3), 546. https://doi.org/10.3390/ijms20030546

