New Acylglycosides Flavones from Fuzhuan Brick Tea and Simulation Analysis of Their Bioactive Effects
Abstract
:1. Introduction
2. Results and Discussion
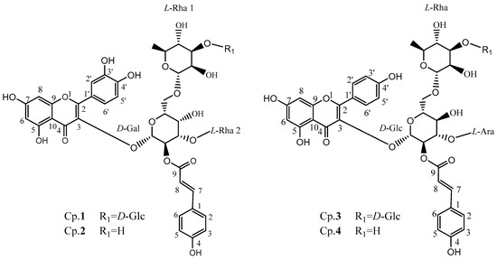
2.1. Structure Identification
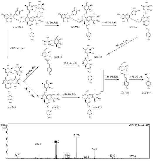
2.2. Proposed MS2 Fragmentation Pathway of Acylglycosides Flavones
2.3. Simulation Analysis of Potential Hypoglycemic and Hypolipidemic Effects
2.4. Molecular Mechanisms of Inhibitors on α-Glucosidase and HMG-CoA Reductase
3. Materials and Methods
3.1. Chemicals and Materials
3.2. Preparation of Crude Extract
3.3. HSCCC Separation
3.4. Preparative HPLC Purification
3.5. HPLC-Q-TOF-MS Analysis
3.6. NMR Analysis
3.7. Molecular Docking
4. Conclusions
Supplementary Materials
Author Contributions
Funding
Conflicts of Interest
References
- Luo, Z.M.; Du, H.X.; Li, L.X.; An, M.Q.; Zhang, Z.Z.; Wan, X.C.; Bao, G.H.; Zhang, L.; Ling, T.J. Fuzhuanins A and B: The B-ring Fission Lactones of Flavan-3-ols from Fuzhuan Brick-Tea. J. Agric. Food Chem. 2013, 61, 6982–6990. [Google Scholar] [CrossRef] [PubMed]
- Zhang, L.; Zhang, Z.Z.; Zhou, Y.B.; Ling, T.J.; Wan, X.C. Chinese dark teas: Postfermentation, chemistry and biological activities. Food Res. Int. 2013, 53, 600–607. [Google Scholar] [CrossRef]
- Ling, T.J.; Wan, X.C.; Ling, W.W.; Zhang, Z.Z.; Xia, T.; Li, D.X.; Hou, R.Y. New triterpenoids and other constituents from a special microbial-fermented tea-Fuzhuan brick tea. J. Agric. Food Chem. 2010, 58, 4945–4950. [Google Scholar] [CrossRef] [PubMed]
- Luo, Z.M.; Ling, T.J.; Li, L.X.; Zhang, Z.Z.; Zhu, H.T.; Zhang, Y.J.; Wan, X.C. A new norisoprenoid and other compounds from Fuzhuan brick tea. Molecules 2012, 17, 3539–3546. [Google Scholar] [CrossRef] [PubMed]
- Tian, Y.Z.; Liu, X.; Liu, W.; Wang, W.Y.; Long, Y.H.; Zhang, L.; Xu, Y.; Bao, G.H.; Wan, X.C.; Ling, T.J. A new anti-proliferative acylated flavonol glycoside from Fuzhuan brick-tea. Nat. Prod. Res. 2016, 30, 2637–2641. [Google Scholar] [CrossRef]
- Zhu, Y.F.; Chen, J.J.; Ji, X.M.; Hu, X.; Ling, T.J.; Zhang, Z.Z.; Bao, G.H.; Wan, X.C. Changes of major tea polyphenols and production of four new B-ring fission metabolites of catechins from post-fermented Jing-Wei Fu brick tea. Food Chem. 2015, 170, 110–117. [Google Scholar] [CrossRef]
- Liu, D. Effect of Fuzhuan brick-tea addition on the quality and antioxidant activity of skimmed set-type yoghurt. Int. J. Dairy Technol. 2018, 71, 22–33. [Google Scholar] [CrossRef]
- Li, Q.; Huang, J.; Li, Y.; Zhang, Y.; Luo, Y.; Chen, Y.; Lin, H.; Wang, K.; Liu, Z. Fungal community succession and major components change during manufacturing process of Fu brick tea. Sci. Rep. 2017, 7, 6947. [Google Scholar] [CrossRef]
- Fu, D.H.; Ryan, E.P.; Huang, J.N.; Liu, Z.H.; Weir, T.L.; Snook, R.L.; Ryan, T.P. Fermented Camellia sinensis, Fu Zhuan Tea, regulates hyperlipidemia and transcription factors involved in lipid catabolism. Food Res. Int. 2011, 44, 2999–3005. [Google Scholar] [CrossRef]
- Wang, R.R.; Xiao, M.C.; Li, D.X.; Ling, T.J.; Xie, Z.W. Recent Advance on Quality Characteristics and Health Effects of Dark Tea. J. Tea Sci. 2018, 38, 113–124. [Google Scholar]
- Trott, O.; Olson, A.J. AutoDock Vina: Improving the speed and accuracy of docking with a new scoring function, efficient optimization, and multithreading. J. Comput. Chem. 2010, 31, 455–461. [Google Scholar] [CrossRef] [PubMed]
- Tagami, T.; Yamashita, K.; Okuyama, M.; Mori, H.; Yao, M.; Kimura, A. Molecular Basis for the Recognition of Long-chain Substrates by Plant alpha-Glucosidases. J. Biol. Chem. 2013, 288, 19296–19303. [Google Scholar] [CrossRef] [PubMed]
- Istvan, E.S.; Deisenhofer, J. Structural mechanism for statin inhibition of HMG-CoA reductase. Science 2001, 292, 1160–1164. [Google Scholar] [CrossRef] [PubMed]
- Manir, M.M.; Kim, J.K.; Lee, B.G.; Moon, S.S. Tea catechins and flavonoids from the leaves of Camellia sinensis inhibit yeast alcohol dehydrogenase. Bioorgan. Med. Chem. 2012, 20, 2376–2381. [Google Scholar] [CrossRef] [PubMed]
- Yang, S.G.; Liu, W.; Lu, S.; Tian, Y.Z.; Wang, W.Y.; Ling, T.J.; Liu, R.T. A Novel Multifunctional Compound Camellikaempferoside B Decreases A beta Production, Interferes with A beta Aggregation, and Prohibits A beta-Mediated Neurotoxicity and Neuroinflammation. ACS Chem. Neurosci. 2016, 7, 505–518. [Google Scholar] [CrossRef] [PubMed]
- Bai, W.X.; Wang, C.; Wang, Y.J.; Zheng, W.J.; Wang, W.; Wan, X.C.; Bao, G.H. Novel Acylated Flavonol Tetraglycoside with Inhibitory Effect on Lipid Accumulation in 3T3-L1 Cells from Lu’an GuaPian Tea and Quantification of Flavonoid Glycosides in Six Major Processing Types of Tea. J. Agric. Food Chem. 2017, 65, 2999–3005. [Google Scholar] [CrossRef] [PubMed]
- van de Laar, F.A.; Lucassen, P.L.; Akkermans, R.P.; van de Lisdonk, E.H.; Rutten, G.E.; van Weel, C. Alpha-glucosidase inhibitors for patients with type 2 diabetes: Results from a Cochrane systematic review and meta-analysis. Diabetes Care 2005, 28, 154–163. [Google Scholar] [CrossRef] [PubMed]
- Jhong, C.H.; Riyaphan, J.; Lin, S.H.; Chia, Y.C.; Weng, C.F. Screening alpha-glucosidase and alpha-amylase inhibitors from natural compounds by molecular docking in silico. BioFactors 2015, 41, 242–251. [Google Scholar] [CrossRef]
- Chen, Z.; Zheng, S.; Li, L.; Jiang, H. Metabolism of flavonoids in human: A comprehensive review. Curr. Drug Metab. 2014, 15, 48–61. [Google Scholar] [CrossRef]
- He, Y.; Li, Z.; Wang, W.; Sooranna, S.R.; Shi, Y.; Chen, Y.; Wu, C.; Zeng, J.; Tang, Q.; Xie, H. Chemical Profiles and Simultaneous Quantification of Aurantii fructus by Use of HPLC-Q-TOF-MS Combined with GC-MS and HPLC Methods. Molecules 2018, 23, 2189. [Google Scholar] [CrossRef]
- He, Y.; Cheng, P.; Wang, W.; Yan, S.; Tang, Q.; Liu, D.; Xie, H. Rapid Investigation and Screening of Bioactive Components in Simo Decoction via LC-Q-TOF-MS and UF-HPLC-MD Methods. Molecules 2018, 23, 1792. [Google Scholar] [CrossRef] [PubMed]
- He, Y.; Zhu, S.; Wu, C.; Lu, Y.; Tang, Q. Bioactivity-Guided Separation of Potential D(2) Dopamine Receptor Antagonists from Aurantii Fructus based on Molecular Docking Combined with High-Speed Counter-Current Chromatography. Molecules 2018, 23, 3135. [Google Scholar] [CrossRef] [PubMed]




| No | Cp.1 | Cp.2 | Cp.3 | Cp.4 | ||||
|---|---|---|---|---|---|---|---|---|
| δH (J in Hz) | δC | δH (J in Hz) | δC | δH (J in Hz) | δC | δH (J in Hz) | δC | |
| Quercetin | Quercetin | Kaempferol | Kaempferol | |||||
| 2 | - | 157.0 | - | 157.0 | - | 157.1 | - | 156.2 |
| 3 | - | 133.6 | - | 133.5 | - | 133.3 | - | 132.6 |
| 4 | - | 177.7 | - | 177.6 | - | 177.7 | - | 178.1 |
| 5 | - | 161.7 | - | 161.7 | - | 161.9 | - | 161.4 |
| 6 | 6.19, d (4.8) | 99.6 | 6.19, d (6.6) | 99.4 | 6.25, d (1.8) | 98.6 | 5.93, s | 97.9 |
| 7 | 167.3 | - | 167.2 | - | 164.1 | 164.4 | ||
| 8 | 6.40, d (4.8) | 93.5 | 6.40, t (9.0) | 93.4 | 6.40, d (16.2) | 93.8 | 6.11, s | 92.6 |
| 9 | - | 159.9 | - | 159.9 | - | 159.9 | - | 160.6 |
| 10 | - | 100.9 | - | 101.0 | - | 104.8 | - | 103.1 |
| 1’ | - | 122.1 | - | 122.1 | - | 121.7 | - | 125.5 |
| 2’ | 6.82, s | 115.4 | 6.82, d (4.2) | 116.0 | 8.09, d (8.4) | 131.2 | 7.91, d (8.4) | 130.7 |
| 3’ | - | 145.9 | - | 145.9 | 7.02, d (9.0) | 115.2 | 6.87, d (8.4) | 115.6 |
| 4’ | - | 148.3 | - | 146.7 | - | 159.8 | - | 160.6 |
| 5’ | 6.89, d (8.4) | 117.0 | 6.89, d (8.4) | 116.8 | 7.02, d (9.0) | 115.2 | 6.87, d (8.4) | 115.6 |
| 6’ | 7.57, m | 121.8 | 7.59, m | 121.5 | 8.09, d (8.4) | 131.2 | 7.91, d (8.4) | 130.7 |
| p-coumaric acid | p-coumaric acid | p-coumaric acid | p-coumaric acid | |||||
| 9 | - | 167.3 | - | 167.3 | - | 166.5 | - | 166.1 |
| 8 | 6.37, t (4.2) | 116.1 | 6.36, d (12.0) | 115.9 | 6.49, d (1.8) | 114.5 | 6.35, d (15.6) | 116.3 |
| 7 | 7.72, (m) | 144.5 | 7.71, m | 145.6 | 7.74, d (15.6) | 145.4 | 7.57, d (15.6) | 145.4 |
| 1 | - | 125.9 | - | 125.9 | - | 126.1 | - | 130.1 |
| 2/6 | 7.47, dd (8.4) | 129.9 | 7.47, dd (3.6) | 129.9 | 7.56, d (9.0) | 130.2 | 7.52, d (7.8) | 131.1 |
| 3/5 | 6.83, s (4.2) | 115.4 | 6.83, dd (4.2) | 115.4 | 6.91, d (9.6) | 115.8 | 6.79, d (14.4) | 115.6 |
| 4 | - | 157.5 | - | 157.4 | - | 157.6 | - | 160.5 |
| β-d-Gal | β-d-Gal | β-d-Glu | β-d-Glu | |||||
| 1 | 5.56, d (7.8) | 103.9 | 5.57, d (8.4) | 104.0 | 5.77, d (7.8) | 99.3 | 5.62, d (7.8) | 101.4 |
| 2 | 5.24, t (9.0) | 70.8 | 5.24, t (9.0) | 70.7 | 5.17, t (9.6) | 70.2 | 4.98, t (9.0) | 71.0 |
| 3 | 4.00 | 76.1 | 3.99 | 76.0 | 3.96 | 66.0 | 3.89 | 77.7 |
| 4 | 3.88 | 67.1 | 3.92 | 70.5 | 3.89 | 76.3 | 3.78 | 69.0 |
| 5 | 3.87 | 81.7 | 3.80 | 83.0 | 3.89 | 76.4 | 3.80 | 80.7 |
| 6 | 3.63, 3.61 | 65.8 | 3.61, 3.50 | 68.4 | 3.56, 3.41 | 66.1 | 3.73, 3.63 | 68.9 |
| α-l-Rha 1 | α-l-Rha 1 | α-l-Rha | α-l-Rha | |||||
| 1 | 4.63, s | 114.8 | 4.59, s | 114.8 | 4.62, s | 104.2 | 4.39, s | 114.6 |
| 2 | 3.90 | 68.8 | 3.89 | 73.1 | 3.96 | 68.8 | 3.85 | 72.6 |
| 3 | 3.63 | 98.5 | 3.63 | 70.8 | 3.43 | 84.1 | 3.72 | 70.8 |
| 4 | 3.62 | 69.5 | 3.62 | 72.5 | 3.84 | 69.7 | 3.38 | 72.3 |
| 5 | 3.64 | 74.1 | 3.63 | 75.6 | 3.66 | 72.9 | 3.76 | 73.3 |
| 6 | 1.30, t (8.4) | 16.7 | 1.30, t (6.6) | 17.0 | 1.30, s | 17.2 | 1.24, s | 18.2 |
| R1 (β-d-Glu) | - | R1 (β-d-Glu) | - | |||||
| 1 | 4.61, d (7.8) | 113.8 | - | - | 4.52, d (7.8) | 101.1 | - | - |
| 2 | 3.92 | 73.2 | - | - | 3.84 | 72.6 | - | - |
| 3 | 3.78 | 75.5 | - | - | 3.68 | 74.4 | - | - |
| 4 | 3.74 | 68.8 | - | - | 3.58 | 67.9 | - | - |
| 5 | 3.63 | 82.9 | - | - | 3.57 | 82.5 | - | - |
| 6 | 3.62, 3.61 | 60.7 | - | - | 3.51,3.50 | 56.1 | - | - |
| α-l-Rha 2 | α-l-Rha 2 | α-l-Ara | α-l-Ara | |||||
| 1 | 4.60, s | 104.2 | 4.57, s | 113.8 | 4.39, d (6.6) | 104.1 | 4.35, d (5.4) | 114.6 |
| 2 | 3.90 | 72.5 | 3.90 | 74.8 | 3.82 | 71.1 | 3.84 | 72.3 |
| 3 | 3.80 | 69.9 | 3.69 | 70.7 | 3.71 | 75.4 | 3.77 | 75.7 |
| 4 | 3.61 | 71.2 | 3.62 | 72.5 | 3.68 | 66.8 | 3.75 | 70.7 |
| 5 | 3.62 | 73.2 | 3.64 | 74.8 | 3.82, 3.60 | 61.5 | 3.84, 3.63 | 67.2 |
| 6 | 1.30, t (8.4) | 16.7 | 1.30, t (6.6) | 17.0 | - | - | - | - |
| Receptor | Compound | Score (kcal/mol) | Common Hydrophobic Residues (within a Range of 4 Å) | Number of H-Bonds | Hydrogen Bond Residues c |
|---|---|---|---|---|---|
| α-glucosidase | acarbose a | −6.2 | ILE-358, ILE-396, TRP-467, TRP-432, MET-470, ILE-233, ALA-234, TRP-329, TRP-565, PHE-236, PHE-601 | 5 | / |
| Mq.3 b | −8.8 | ILE-396, TRP-467, TRP-432, MET-470, ILE-233, ALA-234, TRP-329, PHE-236, PHE-601, LEU-240, ALA-602, ALA-628 | 4 | ASP-232, HIS-626 | |
| Mk.3 b | −8.7 | ILE-396, TRP-467, TRP-432, MET-470, ILE-233, ALA-234, TRP-329, PHE-236, PHE-601, LEU-240, ALA-602, ALA-628 | 4 | ASP-357, HIS-626 | |
| HMG-CoA reductase | mevastatin a | −6.0 | LEU-562, LEU-853, ALA-751, MET-657, VAL-683, LEU-857 | 2 | / |
| Cp.2 b | −9.0 | LEU-562, LEU-853, ALA-751, MET-657, VAL-683, MET-655, ALA-859, ALA-856, ALA-525 | 4 | LYS-735 | |
| Cp.4 b | −8.2 | LEU-562, LEU-853, ALA-751, MET-657, VAL-683, LEU-857, ALA-564, ALA-856, MET-655 | 3 | ARG-590 |
© 2019 by the authors. Licensee MDPI, Basel, Switzerland. This article is an open access article distributed under the terms and conditions of the Creative Commons Attribution (CC BY) license (http://creativecommons.org/licenses/by/4.0/).
Share and Cite
Lu, Y.; He, Y.; Zhu, S.; Zhong, X.; Chen, D.; Liu, Z. New Acylglycosides Flavones from Fuzhuan Brick Tea and Simulation Analysis of Their Bioactive Effects. Int. J. Mol. Sci. 2019, 20, 494. https://doi.org/10.3390/ijms20030494
Lu Y, He Y, Zhu S, Zhong X, Chen D, Liu Z. New Acylglycosides Flavones from Fuzhuan Brick Tea and Simulation Analysis of Their Bioactive Effects. International Journal of Molecular Sciences. 2019; 20(3):494. https://doi.org/10.3390/ijms20030494
Chicago/Turabian StyleLu, Ying, Yingjie He, Shihao Zhu, Xiaohong Zhong, Dong Chen, and Zhonghua Liu. 2019. "New Acylglycosides Flavones from Fuzhuan Brick Tea and Simulation Analysis of Their Bioactive Effects" International Journal of Molecular Sciences 20, no. 3: 494. https://doi.org/10.3390/ijms20030494
APA StyleLu, Y., He, Y., Zhu, S., Zhong, X., Chen, D., & Liu, Z. (2019). New Acylglycosides Flavones from Fuzhuan Brick Tea and Simulation Analysis of Their Bioactive Effects. International Journal of Molecular Sciences, 20(3), 494. https://doi.org/10.3390/ijms20030494

