Sign in to use this feature.

Years

Between: -

Subjects

remove_circle_outline
remove_circle_outline
remove_circle_outline

Journals

Article Types

Countries / Regions

Search Results (1)

Search Parameters:
Keywords = acylglycosides flavones

Order results
Result details
Results per page
Select all
Export citation of selected articles as:
11 pages, 1021 KB  
Communication
New Acylglycosides Flavones from Fuzhuan Brick Tea and Simulation Analysis of Their Bioactive Effects
by Ying Lu, Yingjie He, Shihao Zhu, Xiaohong Zhong, Dong Chen and Zhonghua Liu
Int. J. Mol. Sci. 2019, 20(3), 494; https://doi.org/10.3390/ijms20030494 - 24 Jan 2019
Cited by 30 | Viewed by 3604
Abstract
Four novel acylglycosides flavones (AGFs) including two quercetin acylglycosides and two kaempferol acylglycosides were isolated from Fuzhuan brick tea (FBT) as follows: quercetin 3-O-[α-l-rhamnopyranosyl (1→3)] [2-O’’-(E)-p-coumaroyl] [β-d-glucopyranosyl [...] Read more.
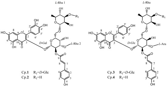
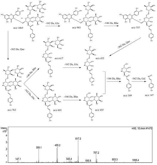
Four novel acylglycosides flavones (AGFs) including two quercetin acylglycosides and two kaempferol acylglycosides were isolated from Fuzhuan brick tea (FBT) as follows: quercetin 3-O-[α-l-rhamnopyranosyl (1→3)] [2-O’’-(E)-p-coumaroyl] [β-d-glucopyranosyl (1→3)-α-l-rhamnopyranosyl (1→6)]-β-d-galactoside was named as camelliquercetiside E (1), quercetin 3-O-[α-l-rhamnopyranosyl (1→3)] [2-O’’-(E)-p-coumaroyl] [α-l-rhamnopyranosyl (1→6)]-β-d-galactoside was named as camelliquercetiside F (2), kaempferol 3-O-[α-l-arabinopyranosyl (1→3)] [2-O’’-(E)-p-coumaroyl] [β-d-glucopyranosyl (1→3)-α-l-rhamnopyranosyl (1→6)]-β-d-glucoside was named as camellikaempferoside D (3), kaempferol 3-O-[α-l-arabinopyranosyl (1→3)] [2-O’’-(E)-p-coumaroyl] [α-l-rhamnopyranosyl (1→6)]-β-d-glucoside was named as camellikaempferoside E (4). Chemical structures of AGFs were identified by time-of-flight mass (TOF-MS) and NMR spectrometers (1H NMR, 13C NMR, 1H-1H COSY, HMBC and HSQC), and the MS2 fragmentation pathway of AGFs was further investigated. The inhibitory abilities of AGFs and their proposed metabolites on α-glucosidase and HMG-CoA reductase were analyzed by molecular docking simulation, and the results suggested that inhibitory activities of AGFs were significantly affected by acyl structure, number of glycosyl and conformation, and part of them had strong inhibitory activities on α-glucosidase and HMG-CoA reductase, suggesting that AGFs and their metabolites might be important ingredients that participate in the regulation of hypoglycemic and hypolipidemic effects. The results provided new AGFs and research directions for the practical study of FBT health functions in future. Full article
(This article belongs to the Section Bioactives and Nutraceuticals)
Show Figures

Figure 1

Back to TopTop