Comparative Transcriptome Analysis for Understanding Predator-Induced Polyphenism in the Water Flea Daphnia pulex
Abstract
1. Introduction
2. Results
2.1. RNA-Seq and Transcriptome Assembly
2.2. Relation of Gene Expression Profiles
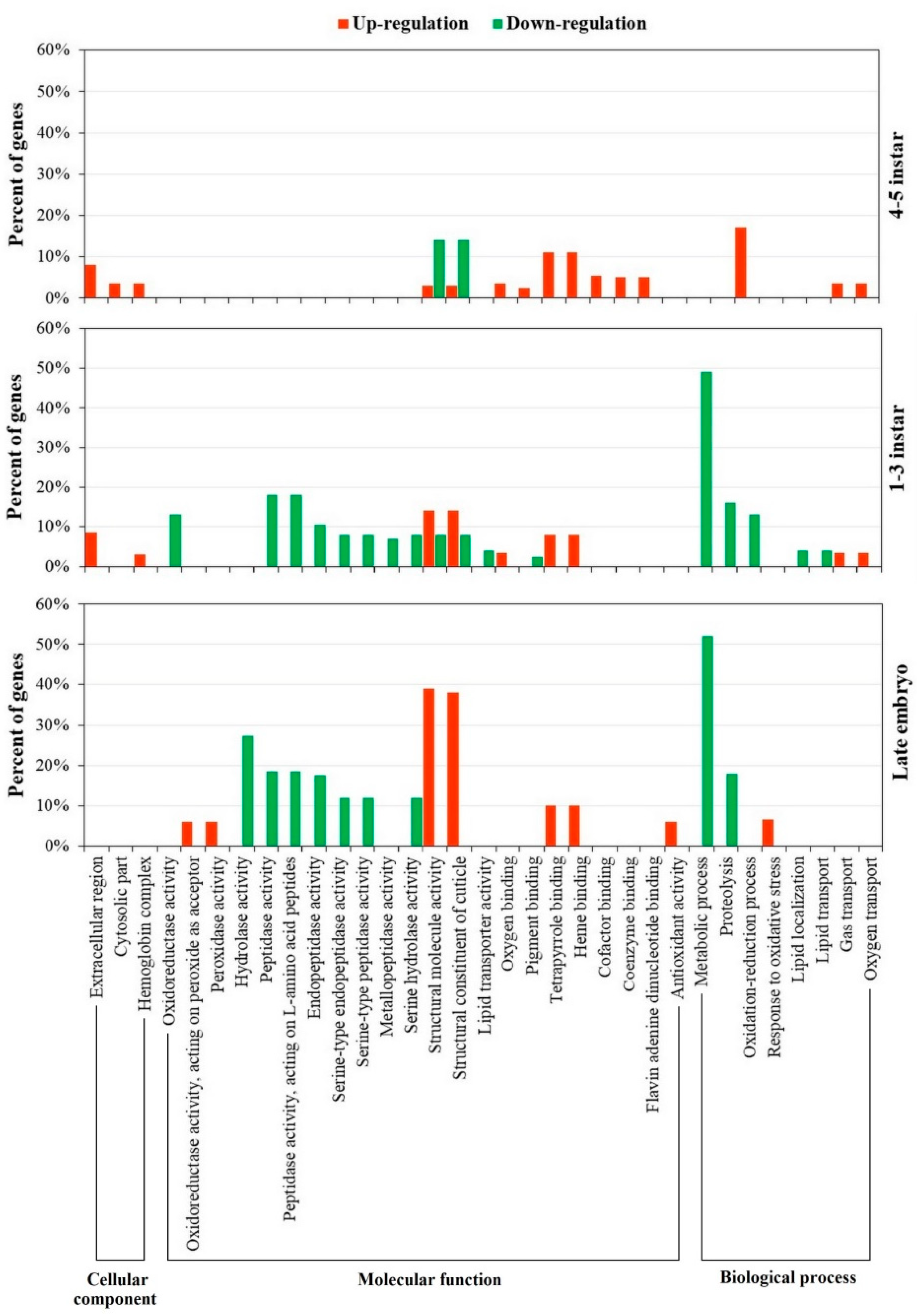
2.3. Differentially Expressed Genes (DEG) and Gene Ontology (GO) Enrichment Analysis
2.4. Neurotransmitter Receptors
2.5. Small Molecule Neurotransmitter Pathway Analysis
2.6. Real-Time PCR Validation of RNA-Seq Data
3. Discussion
4. Materials and Methods
4.1. Ethical Statement
4.2. Daphnia pulex and Chaoborus flavicans Culture
4.3. Induction of Defensive Morph
4.4. RNA-Seq Library Preparation and Illumina Sequencing
4.5. Raw Data Processing and Functional Annotation
4.6. Comparison of Gene Expression Profiles
4.7. Identification of DEGs
4.8. Gene Ontology Enrichment Analysis
4.9. Pathway Analysis
4.10. Validation of DEGs Using Real-Time PCR
5. Conclusions
Supplementary Materials
Author Contributions
Funding
Acknowledgments
Conflicts of Interest
Abbreviations
| DEGs | Differentially expressed genes |
| 1–3 instar | First to third instar |
| 4–5 instar | Fourth to fifth instar |
| RPKM | Reads per kilobase per million mapped reads |
| GO | Gene ontology |
| KEGG | Kyoto Encyclopedia of Genes and Genomes |
| GABA | γ-Aminobutyric acid |
References
- Pigliucci, M.; Murren, C.J.; Schlichting, C.D. Phenotypic plasticity and evolution by genetic assimilation. J. Exp. Biol. 2006, 209, 2362–2367. [Google Scholar] [CrossRef] [PubMed]
- Forsman, A. Rethinking phenotypic plasticity and its consequences for individuals, populations and species. Heredity 2015, 115, 276–284. [Google Scholar] [CrossRef] [PubMed]
- Tollrian, R.; Dodson, S.I. Inducible defenses in cladocera: Constraints, costs, and multipredator environments. In Ecology and Evolution of Inducible Defenses; Harvell, C.D., Tollrian, R., Eds.; Princeton University Press: Princeton, NJ, USA, 1999; pp. 177–202. [Google Scholar]
- Imai, M.; Naraki, Y.; Tochinai, S.; Miura, T. Elaborate regulations of the predator-induced polyphenism in the water flea Daphnia pulex: Kairomone-sensitive periods and life-history tradeoffs. J. Exp. Zool. A Ecol. Genet. Physiol. 2009, 311, 788–795. [Google Scholar] [CrossRef] [PubMed]
- Laforsch, C.; Tollrian, R. Embryological aspects of inducible morphological defenses in Daphnia. J. Morphol. 2004, 262, 701–707. [Google Scholar] [CrossRef] [PubMed]
- Krueger, D.A.; Dodson, S.I. Embryological induction and predation ecology in Daphnia pulex. Limnol. Oceanogr. 1981, 26, 219–223. [Google Scholar] [CrossRef]
- Tollrian, R. Neckteeth formation in Daphnia pulex as an example of continuous phenotypic plasticity: Morphological effects of Chaoborus kairomone concentration and their quantification. J. Plankton. Res. 1993, 15, 1309–1318. [Google Scholar] [CrossRef]
- Miyakawa, H.; Imai, M.; Sugimoto, N.; Ishikawa, Y.; Ishikawa, A.; Ishigaki, H.; Okada, Y.; Miyazaki, S.; Koshikawa, S.; Cornette, R.; et al. Gene up-regulation in response to predator kairomones in the water flea, Daphnia pulex. BMC Dev. Biol. 2010, 10, 45. [Google Scholar] [CrossRef] [PubMed]
- Miyakawa, H.; Sato, M.; Colbourne, J.K.; Iguchi, T. Ionotropic glutamate receptors mediate inducible defense in the water flea Daphnia pulex. PLoS ONE 2015, 10, e0121324. [Google Scholar] [CrossRef] [PubMed]
- Dennis, S.R.; LeBlanc, G.A.; Beckerman, A.P. Endocrine regulation of predator-induced phenotypic plasticity. Oecologia 2014, 176, 625–635. [Google Scholar] [CrossRef] [PubMed]
- Barry, M.J. Progress toward Understanding the Neurophysiological Basis of Predator-Induced Morphology in Daphnia pulex. Physiol. Biochem. Zool. 2002, 75, 179–186. [Google Scholar] [CrossRef] [PubMed]
- Weiss, L.; Kruppert, S.; Laforsch, C.; Tollrian, R. Chaoborus and Gasterosteus anti-predator responses in Daphnia pulex are mediated by independent cholinergic and gabaergic neuronal signals. PLoS ONE 2012, 7, e36879. [Google Scholar] [CrossRef] [PubMed]
- Miyakawa, H.; Gotoh, H.; Sugimoto, N.; Miura, T. Effect of juvenoids on predator-induced polyphenism in the water flea, Daphnia pulex. J. Exp. Zool. A Ecol. Genet. Physiol. 2013, 319, 319–440. [Google Scholar] [CrossRef] [PubMed]
- Tollrian, R.; Leese, F. Ecological genomics: Steps towards unraveling the genetic basis of inducible defenses in Daphnia. BMC Biol. 2010, 8, 51. [Google Scholar] [CrossRef] [PubMed]
- Schwarzenberger, A.; Courts, C.; Von Elert, E. Target gene approaches: Gene expression in Daphnia magna exposed to predator-borne kairomones or to microcystin-producing and microcystin-free Microcystis aeruginosa. BMC Genom. 2009, 10, 527. [Google Scholar] [CrossRef] [PubMed]
- Rozenberg, A.; Parida, M.; Leese, F.; Weiss, L.C.; Tollrian, R.; Manak, J.R. Transcriptional profiling of predator-induced phenotypic plasticity in Daphnia pulex. Front. Zool. 2015, 12, 18. [Google Scholar] [CrossRef] [PubMed]
- Orsini, L.; Brown, J.B.; Solari, O.S.; Li, D.; He, S.; Podicheti, R.; Stoiber, M.H.; Spanier, K.I.; Gilbert, D.; Jansen, M.; et al. Early transcriptional response pathways in Daphnia magna are coordinated in networks of crustacean-specific genes. Mol. Ecol. 2018, 27, 886–897. [Google Scholar] [CrossRef] [PubMed]
- Zhang, Z.H.; Jhaveri, D.J.; Marshall, V.M.; Bauer, D.C.; Edson, J.; Narayanan, R.K.; Robinson, G.J.; Lundberg, A.E.; Bartlett, P.F.; Wray, N.R.; et al. A comparative study of techniques for differential expression analysis on rna-seq data. PLoS ONE 2014, 9, e103207. [Google Scholar] [CrossRef] [PubMed]
- Palsson, S. Microsatellite variation in Daphnia pulex from both side of the Baltic Sea. Mol. Ecol. 2000, 9, 1075–1088. [Google Scholar] [CrossRef] [PubMed]
- Stollewerk, A. The water flea Daphnia—A ‘new’ model system for ecology and evolution? J. Biol. 2010, 9, 21. [Google Scholar] [CrossRef] [PubMed]
- Shaw, J.R.; Glaholt, S.P.; Greenberg, N.S.; Sierra-Alvarez, R.; Folt, C.L. Acute toxicity of arsenic to Daphnia pulex: Influence of organic functional group and oxidation state. Environ. Toxicol. Chem. 2007, 26, 1532–1537. [Google Scholar] [CrossRef] [PubMed]
- Shaw, J.R.; Colbourne, J.K.; Davey, J.C.; Glaholt, S.P.; Hampton, T.H.; Chen, C.Y.; Folt, C.L.; Hamilton, J.W. Gene response profiles for Daphnia pulex exposed to the environmental stressor cadmium reveals novel crustacean metallothioneins. BMC Genom. 2007, 8, 477. [Google Scholar] [CrossRef] [PubMed]
- Naraki, Y.; Hiruta, C.; Tochinai, S. Identification of the precise kairomone-sensitive period and histological characterization of necktooth formation in predator-induced polyphenism in Daphnia pulex. Zool. Sci. 2013, 30, 619–625. [Google Scholar] [CrossRef] [PubMed]
- Tollrian, R. Chaoborus crystallinus predation on Daphnia pulex: Can induced morphological changes balance effects of body size on vulnerability? Oecologia 1995, 101, 151–155. [Google Scholar] [CrossRef] [PubMed]
- Wang, Z.; Gerstein, M.; Snyder, M. RNA-Seq: A revolutionary tool for transcriptomics. Nat. Rev. Genet. 2009, 10, 57–63. [Google Scholar] [CrossRef] [PubMed]
- Tautz, D.; Ellegren, H.; Weigel, D. Next generation molecular ecology. Mol. Ecol. 2010, 19, 1–3. [Google Scholar] [CrossRef] [PubMed]
- Slos, S.; Stoks, R. Predation risk induces stress proteins and reduces antioxidant defense. Funct. Ecol. 2008, 22, 637–642. [Google Scholar] [CrossRef]
- Connon, R.; Hooper, H.L.; Sibly, R.M.; Lim, F.L.; Heckmann, L.H.; Moore, D.J.; Watanabe, H.; Soetaert, A.; Cook, K.; Maund, S.J.; et al. Linking Molecular and Population Stress Responses in Daphnia magna exposed to cadmium. Environ. Sci. Technol. 2008, 42, 2181–2188. [Google Scholar] [CrossRef] [PubMed]
- Kim, K.T.; Klaine, S.J.; Cho, J.; Kim, S.H.; Kim, S.D. Oxidative stress responses of Daphnia magna exposed to TiO2 nanoparticles according to size fraction. Sci. Total Environ. 2010, 408, 2268–2272. [Google Scholar] [CrossRef] [PubMed]
- Tollrian, R. Predator-induced morphological defenses: Costs, life history shifts, and maternal effects in Daphnia pulex. Ecology 1995, 76, 1691–1705. [Google Scholar] [CrossRef]
- Steiner, U.K.; Buskirk, J.V. Predator-induced changes in metabolism cannot explain the growth/predation risk tradeoff. PLoS ONE 2009, 4, e6160. [Google Scholar] [CrossRef] [PubMed]
- Dawidowitz, P.; Wielanier, M. Costs of predator avoidance reduce competitive ability of Daphnia. Hydrobiologia 2004, 526, 165–169. [Google Scholar] [CrossRef]
- Gaudy, R.; Guérin, J.P.; Kerambrun, P. Sublethal effects of cadmium on respiratory metabolism, nutrition, excretion and hydrolyse activity in Leptomysis lingvura (Crustacea: Mysidacea). Mar. Biol. 1991, 109, 493–501. [Google Scholar] [CrossRef]
- Papchenkova, G.A.; Golovanova, I.L.; Ushakova, N.V. The parameters of reproduction, sizes, and activities of hydrolases in Daphnia magna Straus of successive generations affected by roundup Herbicide. Inland Water Biol. 2009, 2, 286–291. [Google Scholar] [CrossRef]
- Jeong, S.W.; Lee, S.M.; Yum, S.S.; Iguchi, T.; Seo, Y.R. Genomic expression responses toward bisphenol-A toxicity in Daphnia magna in terms of reproductive activity. Mol. Cell. Toxicol. 2013, 9, 149–158. [Google Scholar] [CrossRef]
- Roller, L.; Zitnanova, I.; Dai, L.; Simo, L.; Park, Y.; Satake, H.; Tanaka, Y.; Adams, M.E.; Zitnan, D. Ecdysis triggering hormone signaling in arthropods. Peptides 2010, 31, 429–441. [Google Scholar] [CrossRef] [PubMed]
- Lenaerts, C.; Cools, D.; Verdonck, R.; Verbakel, L.; Broeck, J.V.; Marchal, E. The ecdysis triggering hormone system is essential for successful moulting of a major hemimetabolous pest insect, Schistocerca gregaria. Sci. Rep. 2017, 7, 46502. [Google Scholar] [CrossRef] [PubMed]
- Stay, B.; Tobe, S.S. The role of allatostatins in juvenile hormone synthesis in insects and crustaceans. Annu. Rev. Entomol. 2007, 52, 277–299. [Google Scholar] [CrossRef] [PubMed]
- Nijhout, H.F. Control mechanisms of polyphenic development in insects. Bioscience 1999, 49, 181–192. [Google Scholar] [CrossRef]
- McKenney, C.L. The influence of insect juvenile hormone agonists on metamorphosis and reproduction in estuarine crustaceans. Integr. Comp. Biol. 2005, 45, 97–105. [Google Scholar] [CrossRef] [PubMed]
- Truman, J.W.; Hiruma, K.; Allee, J.P.; MacWhinnie, S.G.B.; Champlin, D.T.; Riddiford, L.M. Juvenile hormone is required to couple imaginal disc formation with nutrition in insects. Science 2006, 312, 1385–1388. [Google Scholar] [CrossRef] [PubMed]
- Traynelis, S.F.; Wollmuth, L.P.; McBain, C.J.; Menniti, F.S.; Vance, K.M.; Ogden, K.K.; Hansen, K.B.; Yuan, H.; Myers, S.J.; Dingledine, R. Glutamate receptor ion channels: Structure, regulation, and function. Pharmacol. Rev. 2010, 62, 405–596. [Google Scholar] [CrossRef] [PubMed]
- Niswender, C.M.; Conn, P.J. Metabotropic glutamate receptors: Physiology, pharmacology, and disease. Annu. Rev. Pharmacol. Toxicol. 2010, 50, 295–322. [Google Scholar] [CrossRef] [PubMed]
- Christie, A.E.; McCoole, M.D. From genes to behavior: Investigations of neurochemical signaling come of age for the model crustacean Daphnia pulex. J. Exp. Biol. 2012, 215, 2535–2544. [Google Scholar] [CrossRef] [PubMed]
- Weiss, L.C.; Leese, F.; Laforsch, C.; Tollrian, R. Dopamine is a key regulator in the signalling pathway underlying predator-induced defences in Daphnia. Proc. Biol. Sci. 2015, 282, 20151440. [Google Scholar] [CrossRef] [PubMed]
- Palmada, M.; Centelles, J.J. Excitatory amino acid neurotransmission. pathways for metabolism, storage and reuptake of glutamate in brain. Front. Biosci. 1998, 3, d701–d718. [Google Scholar] [PubMed]
- Chiang, A.S.; Lin, W.Y.; Liu, H.P.; Pszczolkowski, M.A.; Fu, T.F.; Chiu, S.L.; Holbrook, G.L. Insect NMDA receptors mediate juvenile hormone biosynthesis. Proc. Natl. Acad. Sci. USA 2002, 99, 37–42. [Google Scholar] [CrossRef] [PubMed]
- Chiang, A.S.; Pszczolkowski, M.A.; Liu, H.P.; Lin, S.C. Ionotropic glutamate receptors mediate juvenile hormone synthesis in the cockroach, Diploptera punctata. Insect Biochem. Mol. Biol. 2002, 32, 669–678. [Google Scholar] [CrossRef]
- Besse, A.; Wu, P.; Bruni, F.; Donti, T.; Graham, B.H.; Craigen, W.J.; McFarland, R.; Moretti, P.; Lalani, S.; Scott, K.L.; et al. The GABA transaminase, ABAT, is essential for mitochondrial nucleoside metabolism. Cell Metab. 2015, 21, 417–427. [Google Scholar] [CrossRef] [PubMed]
- Elendt, B.P.; Bias, W.R. Trace nutrient deficiency in Daphnia magna cultured in standard medium for toxicity testing: Effects of the optimization of culture conditions on life history parameters of Daphnia magna. Water Res. 1990, 24, 1157–1167. [Google Scholar] [CrossRef]
- Spanier, K.I.; Leese, F.; Mayer, C.; Colbourne, J.K.; Gilbert, D.; Pfrender, M.E.; Tollrian, R. Predator-induced defences in Daphnia pulex: Selection and evaluation of internal reference genes for gene expression studies with realtime RT-PCR. BMC Mol. Biol. 2010, 11, 50. [Google Scholar] [CrossRef] [PubMed]
- Colbourne, J.K.; Pfrender, M.E.; Gilbert, D.; Thomas, W.K.; Tucker, A.; Oakley, T.H.; Okishita, S.; Aerts, A.; Arnold, G.J.; Basu, M.K.; et al. The ecoresponsive genome of Daphnia pulex. Science 2011, 331, 555–561. [Google Scholar] [CrossRef] [PubMed]
- Trapnell, C.; Pachter, L.; Salzberg, S.L. TopHat: Discovering splice junctions with RNA-Seq. Bioinformatics 2009, 25, 1105–1111. [Google Scholar] [CrossRef] [PubMed]
- Trapnell, C.; Roberts, A.; Goff, L.; Pertea, G.; Kim, D.; Kelley, D.R.; Pimentel, H.; Salzberg, S.L.; Rinn, J.L.; Pachte, L. Differential gene and transcript expression analysis of RNA-seq experiments with TopHat and Cufflinks. Nat. Protoc. 2012, 7, 562–578. [Google Scholar] [CrossRef] [PubMed]
- Colbourne, J.K.; Singan, V.R.; Gilbert, D.G. wFleaBase: The Daphnia genome database. BMC Bioinform. 2005, 6, 45. [Google Scholar] [CrossRef] [PubMed]
- Frishman, D.; Albermann, K.; Hani, J.; Heumann, K.; Metanomski, A.; Zollner, A.; Mewes, H.W. Functional and structural genomics using PEDANT. Bioinformatics 2001, 17, 44–57. [Google Scholar] [CrossRef] [PubMed]
- Mortazavi, A.; Williams, B.A.; Mccue, K.; Schaeffer, L.; Wold, B. Mapping and quantifying mammalian transcriptomes by RNA-Seq. Nat. Methods 2008, 5, 621–628. [Google Scholar] [CrossRef] [PubMed]
- Audic, S.; Claverie, J.M. The significance of digital gene expression profiles. Genome Res. 1997, 7, 986–995. [Google Scholar] [CrossRef] [PubMed]
- Conesa, A.; Götz, S.; Garcia-Gomez, J.M.; Terol, J.; Talon, M.; Robles, M. Blast2GO: A universal tool for annotation, visualization and analysis in functional genomics research. Bioinformatics 2005, 21, 3674–3676. [Google Scholar] [CrossRef] [PubMed]
- Livak, K.J.; Schmittgen, T.D. Analysis of relative gene expression data using real-time quantitative PCR and the 2−∆∆Ct method. Methods 2001, 25, 402–408. [Google Scholar] [CrossRef] [PubMed]


| Libraries | Paired-End Reads Before Trimming | Trimmed Paired-End Reads | Trimmed Single-End Reads | Total Trimmed Reads |
|---|---|---|---|---|
| NML | 49,868,688 | 38,531,810 (77.3%) | 3,480,249 (7.0%) | 42,012,059 (84.2%) |
| NM1–3 | 53,366,508 | 41,745,502 (78.2%) | 3,506,463 (6.6%) | 45,251,965 (84.8%) |
| NM4–5 | 53,291,167 | 42,142,048 (79.1%) | 3,359,151 (6.3%) | 45,501,199 (85.4%) |
| DML | 57,457,116 | 37,663,210 (65.6%) | 4,727,648 (8.2%) | 42,390,858 (73.8%) |
| DM1–3 | 56,210,099 | 37,198,644 (66.2%) | 4,616,768 (8.2%) | 41,815,412 (74.4%) |
| DM4–5 | 57,016,934 | 37,459,438 (65.7%) | 4,689,120 (8.2%) | 42,148,558 (73.9%) |
| Total | 327,210,512 | 234,740,652 (71.7%) | 24,379,399 (7.5%) | 259,120,051 (79.2%) |
| Libraries | Mapped Reads | Mapped Genes |
|---|---|---|
| NML | 23,508,160 (56.0%) | 16,139 (52.2%) |
| NM 1–3 | 24,761,033 (54.7%) | 16,153 (52.3%) |
| NM 4–5 | 24,143,663 (53.1%) | 16,400 (53.1%) |
| DML | 25,006,291 (59.0%) | 16,112 (52.1%) |
| DM 1–3 | 22,349,587 (53.4%) | 16,284 (52.7%) |
| DM 4–5 | 21,679,668 (51.4%) | 16,427 (53.1%) |
| Total | 141,448,402 (54.6%) | 18,207 (58.9%) |
| Gene ID | Late Embryo | 1–3 Instar | 4–5 Instar | Pathway Genes | Descriptions |
|---|---|---|---|---|---|
| e_gw1.374.3.1 | Up | - | - | NMDAR | NMDA receptor subunit GluN2 * |
| NCBI_GNO_10400049 | Up | - | - | IP3R | Inositol 1.4.5- trisphosphate receptor * |
| estExt_fgenesh1_pm.C_140020 | Up | - | - | Erk | Mitogen-activated protein kinase ** |
| NCBI_GNO_8900043 | Down | - | - | KA | Kainate receptor subunit GluR8 * |
| NCBI_GNO_3900088 | - | Up | - | AMPA | AMPA receptor subunit GluR2 * |
| NCBI_GNO_18700035 | - | Up | - | KA | Kainate receptor subunit GluR10 * |
| fgenesh1_pg.C_scaffold_183000025 | - | Down | - | KA | Kainate receptor subunit GluR5 * |
| NCBI_GNO_2300006 | - | Down | - | KA | Kainate receptor subunit GluR7 * |
| PASA_GEN_1700130 | - | Down | - | mGluR2/3 | Metabotropic glutamate receptor subunit GRM2 * |
| fgenesh1_pg.C_scaffold_92000012 | - | Down | - | SHANK | SH3 and multiple ankyrin repeat domains protein * |
| fgenesh1_pg.C_scaffold_39000059 | - | Down | - | AC | Adenylate cyclase ** |
| estExt_fgenesh1_pg.C_1830028 | - | Down | - | PKA | Protein kinase A * |
| NCBI_GNO_8300040 | - | - | Up | NMDAR | NMDA receptor subunit GRIN1 * |
| estExt_fgenesh1_pg.C_1130025 | - | - | Up | NMDAR | NMDA receptor subunit GluN2 * |
| NCBI_GNO_8300009 | - | - | Up | KA | Kainate receptor subunit GluR5 * |
| NCBI_GNO_1700146 | - | - | Up | KA | Kainate receptor subunit GluR6 * |
| NCBI_GNO_0900239 | - | - | Up | KA | Kainate receptor subunit GluR9 * |
| NCBI_GNO_1500242 | - | - | Down | KA | Kainate receptor subunit GluR5 * |
| Gene ID | Late Embryo | 1–3 Instar | 4–5 Instar | Pathway Genes | Descriptions |
|---|---|---|---|---|---|
| estExt_fgenesh1_pm.C_140020 | Up | - | - | Erk | Mitogen-activated protein kinase ** |
| NCBI_GNO_10400049 | Up | - | - | IP3R | Inositol 1.4.5-trisphosphate receptor * |
| estExt_fgenesh1_pg.C_70190 | Down | Up | - | RAS | RAS GTPase * |
| fgenesh1_pg.C_scaffold_62000026 | - | Up | - | nAChR | Nicotinic acetylcholine receptor α-8 precursor ** |
| NCBI_GNO_2400096 | - | Up | - | RAS | RAS GTPase * |
| estExt_fgenesh1_pg.C_1830028 | - | Down | - | PKA | Protein kinase A * |
| e_gw1.76.84.1 | - | - | Down | nAChR | Nicotinic acetylcholine receptor α-3 ** |
| Gene ID | Late Embryo | 1–3 Instar | 4–5 Instar | Pathway Genes | Descriptions |
|---|---|---|---|---|---|
| fgenesh1_pm.C_scaffold_46000013 | Down | - | Up | GABA-T | GABA transaminase * |
| gw1.100.93.1 | Up | - | - | GABA-T | GABA transaminase * |
| estExt_Genewise1.C_360108 | - | Up | Up | GABA-T | GABA transaminase * |
| estExt_fgenesh1_pg.C_1830028 | - | Down | - | PKA | Protein kinase A * |
| fgenesh1_pg.C_scaffold_39000059 | - | Down | - | AC | Adenylate cyclase ** |
© 2018 by the authors. Licensee MDPI, Basel, Switzerland. This article is an open access article distributed under the terms and conditions of the Creative Commons Attribution (CC BY) license (http://creativecommons.org/licenses/by/4.0/).
Share and Cite
An, H.; Do, T.D.; Jung, G.; Karagozlu, M.Z.; Kim, C.-B. Comparative Transcriptome Analysis for Understanding Predator-Induced Polyphenism in the Water Flea Daphnia pulex. Int. J. Mol. Sci. 2018, 19, 2110. https://doi.org/10.3390/ijms19072110
An H, Do TD, Jung G, Karagozlu MZ, Kim C-B. Comparative Transcriptome Analysis for Understanding Predator-Induced Polyphenism in the Water Flea Daphnia pulex. International Journal of Molecular Sciences. 2018; 19(7):2110. https://doi.org/10.3390/ijms19072110
Chicago/Turabian StyleAn, Haein, Thinh Dinh Do, Gila Jung, Mustafa Zafer Karagozlu, and Chang-Bae Kim. 2018. "Comparative Transcriptome Analysis for Understanding Predator-Induced Polyphenism in the Water Flea Daphnia pulex" International Journal of Molecular Sciences 19, no. 7: 2110. https://doi.org/10.3390/ijms19072110
APA StyleAn, H., Do, T. D., Jung, G., Karagozlu, M. Z., & Kim, C.-B. (2018). Comparative Transcriptome Analysis for Understanding Predator-Induced Polyphenism in the Water Flea Daphnia pulex. International Journal of Molecular Sciences, 19(7), 2110. https://doi.org/10.3390/ijms19072110
