LAT1-Targeting Thermoresponsive Fluorescent Polymer Probes for Cancer Cell Imaging
Abstract
1. Introduction
2. Results and Discussion
2.1. Synthesis and Characterization of Polymers
2.2. Inhibition of l-[3H]-Leucine Uptake
2.3. Cellular Uptake of Fluorescent Probes
3. Materials and Methods
3.1. Materials
3.2. Synthesis of Polymers
3.2.1. P(NIPAAm-co-DMAAm)
3.2.2. Phe-P(NIPAAm-co-DMAAm)
3.2.3. Tyr-P(NIPAAm-co-DMAAm)
3.3. Characterization of Polymers
3.3.1. Gel Permeation Chromatography
3.3.2. Phase Transition Behavior of Polymers
3.4. Cell Culture
3.5. Inhibition of l-[3H] Leucine Uptake
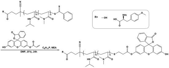
3.6. Synthesis of Fluorescent Probes
3.7. Cellular Uptake of Fluorescent Probes
3.7.1. Confocal Microscopy of Cellular Uptake
3.7.2. Flow Cytometry Analysis of Cellular Uptake
3.7.3. Cell Uptake Inhibition with Amino Acid
3.8. Statistical Analysis
4. Conclusions
Supplementary Materials
Author Contributions
Acknowledgments
Conflicts of Interest
Abbreviations
| AIBN | 2,2′-Azobisisobutyronitrile |
| ASCT2 | System ASC transporter 2 |
| ATB0,+ | Amino acid transporter system B0,+ |
| BCH | 2-Aminobicyclo-(2,2,1)-heptane-2-carboxylic acid |
| DCC | N,N′-Dicyclohexylcarbodiimide |
| DDS | Drug delivery system |
| DMAAm | N,N-Dimethylacrylamide |
| DOPE | l-α-Phosphatidylethanolamine, dioleoyl |
| EDTA | Ethylenediaminetetraacetic acid |
| FBS | Fetal bovine serum |
| FL | Fluorescein-5-maleimide |
| GLUT1 | Glucose transporter 1 |
| HPLC | High performance liquid chromatography |
| LAT1 | L-type amino acid transporter 1 |
| LAT3 | L-type amino acid transporter 3 |
| LCST | Lower critical solution temperature |
| NHS | N-Hydroxysuccinimide |
| NIPAAm | N-Isopropylacrylamide |
| PBS | Phosphate buffered saline |
| PET | Positron emission tomography |
| Phe-P(NIPAAm-co-DMAAm) | l-Phenylalanine-poly(N-isopropylacrylamide-co-N,N-dimethylacrylamide) |
| PNIPAAm | Poly(N-isopropylacrylamide) |
| P(NIPAAm-co-DMAAm) | Poly(N-isopropylacrylamide-co-N,N-dimethylacrylamide) |
| THF | Tetrahydrofuran |
| Tyr-P(NIPAAm-co-DMAAm) | l-Tyrosine-poly(N-isopropylacrylamide-co-N,N-dimethylacrylamide) |
| xCT | System xc-transporter-related protein |
References
- Warburg, O. On the origin of cancer cells. Science 1956, 123, 309–314. [Google Scholar] [CrossRef] [PubMed]
- Szablewski, L. Expression of glucose transporters in cancers. Biochim. Biophys. Acta (BBA) Rev. Cancer 2013, 1835, 164–169. [Google Scholar] [CrossRef] [PubMed]
- Kanai, Y.; Segawa, H.; Miyamoto, K.-I.; Uchino, H.; Takeda, E.; Endou, H. Expression cloning and characterization of a transporter for large neutral amino acids activated by the heavy chain of 4F2 antigen (CD98). J. Biol. Chem. 1998, 273, 23629–23632. [Google Scholar] [CrossRef] [PubMed]
- Babu, E.; Kanai, Y.; Chairoungdua, A.; Kim, D.K.; Iribe, Y.; Tangtrongsup, S.; Jutabha, P.; Li, Y.; Ahmed, N.; Sakamoto, S.; et al. Identification of a novel system L amino acid transporter structurally distinct from heterodimeric amino acid transporters. J. Biol. Chem. 2003, 278, 43838–43845. [Google Scholar] [CrossRef] [PubMed]
- Utsunomiya-Tate, N.; Endou, H.; Kanai, Y. Cloning and functional characterization of a system ASC-like Na+-dependent neutral amino acid transporter. J. Biol. Chem. 1996, 271, 14883–14890. [Google Scholar] [CrossRef] [PubMed]
- Sloan, J.L.; Mager, S. Cloning and functional expression of a human Na+and Cl−-dependent neutral and cationic amino acid transporter B0,+. J. Biol. Chem. 1999, 274, 23740–23745. [Google Scholar] [CrossRef] [PubMed]
- Sato, H.; Tamba, M.; Ishii, T.; Bannai, S. Cloning and expression of a plasma membrane cystine/glutamate exchange transporter composed of two distinct proteins. J. Biol. Chem. 1999, 274, 11455–11458. [Google Scholar] [CrossRef] [PubMed]
- Christensen, H.N. Role of amino acid transport and countertransport in nutrition and metabolism. Physiol. Rev. 1990, 70, 43–77. [Google Scholar] [CrossRef] [PubMed]
- Kaira, K.; Oriuchi, N.; Imai, H.; Shimizu, K.; Yanagitani, N.; Sunaga, N.; Hisada, T.; Tanaka, S.; Ishizuka, T.; Kanai, Y.; et al. Prognostic significance of L-type amino acid transporter 1 expression in resectable stages I–III nonsmall cell lung cancer. Br. J. Cancer 2008, 98, 742–748. [Google Scholar] [CrossRef] [PubMed]
- Kaira, K.; Oriuchi, N.; Shimizu, K.; Ishikita, T.; Higuchi, T.; Imai, H.; Yanagitani, N.; Sunaga, N.; Hisada, T.; Ishizuka, T.; et al. Evaluation of thoracic tumors with 18F-FMT and 18F-FDG PET-CT: A clinicopathological study. Int. J. Cancer 2009, 124, 1152–1160. [Google Scholar] [CrossRef] [PubMed]
- Nawashiro, H.; Otani, N.; Shinomiya, N.; Fukui, S.; Ooigawa, H.; Shima, K.; Matsuo, H.; Kanai, Y.; Endou, H. L-type amino acid transporter 1 as a potential molecular target in human astrocytic tumors. Int. J. Cancer 2006, 119, 484–492. [Google Scholar] [CrossRef] [PubMed]
- Sakata, T.; Ferdous, G.; Tsuruta, T.; Satoh, T.; Baba, S.; Muto, T.; Ueno, A.; Kanai, Y.; Endou, H.; Okayasu, I. L-type amino-acid transporter 1 as a novel biomarker for high-grade malignancy in prostate cancer. Pathol. Int. 2009, 59, 7–18. [Google Scholar] [CrossRef] [PubMed]
- Furuya, M.; Horiguchi, J.; Nakajima, H.; Kanai, Y.; Oyama, T. Correlation of L-type amino acid transporter 1 and CD98 expression with triple negative breast cancer prognosis. Cancer Sci. 2012, 103, 382–389. [Google Scholar] [CrossRef] [PubMed]
- Kaira, K.; Sunose, Y.; Arakawa, K.; Ogawa, T.; Sunaga, N.; Shimizu, K.; Tominaga, H.; Oriuchi, N.; Itoh, H.; Nagamori, S.; et al. Prognostic significance of L-type amino-acid transporter 1 expression in surgically resected pancreatic cancer. Br. J. Cancer 2012, 107, 632–638. [Google Scholar] [CrossRef] [PubMed]
- Kaira, K.; Oriuchi, N.; Otani, Y.; Shimizu, K.; Tanaka, S.; Imai, H.; Yanagitani, N.; Sunaga, N.; Hisada, T.; Ishizuka, T.; et al. Fluorine-18-α-methyltyrosine positron emission tomography for diagnosis and staging of Lung Cancer: A Clinicopathologic Study. Clin. Cancer Res. 2007, 13, 6369–6378. [Google Scholar] [CrossRef] [PubMed]
- Wiriyasermkul, P.; Nagamori, S.; Tominaga, H.; Oriuchi, N.; Kaira, K.; Nakao, H.; Kitashoji, T.; Ohgaki, R.; Tanaka, H.; Endou, H.; et al. Transport of 3-fluoro-l-α-methyl-tyrosine by tumor-upregulated L-type amino acid transporter 1: A cause of the tumor uptake in PET. J. Nucl. Med. 2012, 53, 1253–1261. [Google Scholar] [CrossRef] [PubMed]
- Mann, A.; Semenenko, I.; Meir, M.; Eyal, S. Molecular imaging of membrane transporters’ activity in cancer: A Picture is worth a thousand tubes. AAPS J. 2015, 17, 788–801. [Google Scholar] [CrossRef] [PubMed]
- Yamada, N.; Honda, Y.; Takemoto, H.; Nomoto, T.; Matsui, M.; Tomoda, K.; Konno, M.; Ishii, H.; Mori, M.; Nishiyama, N. Engineering tumour cell-binding synthetic polymers with sensing dense transporters associated with aberrant glutamine metabolism. Sci. Rep. 2017, 7, 6077. [Google Scholar] [CrossRef] [PubMed]
- Izumi, H.; Torigoe, T.; Ishiguchi, H.; Uramoto, H.; Yoshida, Y.; Tanabe, M.; Ise, T.; Murakami, T.; Yoshida, T.; Nomoto, M.; et al. Cellular pH regulators: Potentially promising molecular targets for cancer chemotherapy. Cancer Treat. Rev. 2003, 29, 541–549. [Google Scholar] [CrossRef]
- Heskins, M.; Guillet, J.E. Solution properties of poly(N-isopropylacrylamide). J. Macromol. Sci. A 1968, 2, 1441–1455. [Google Scholar] [CrossRef]
- Scarpa, J.S.; Mueller, D.D.; Klotz, I.M. Slow hydrogen-deuterium exchange in a non-.alpha.-helical polyamide. J. Am. Chem. Soc. 1967, 89, 6024–6030. [Google Scholar] [CrossRef]
- Kanazawa, H.; Yamamoto, K.; Matsushima, Y.; Takai, N.; Kikuchi, A.; Sakurai, Y.; Okano, T. Temperature-responsive chromatography using poly(N-isopropylacrylamide)-modified silica. Anal. Chem. 1996, 68, 100–105. [Google Scholar] [CrossRef] [PubMed]
- Kanazawa, H.; Kashiwase, Y.; Yamamoto, K.; Matsushima, Y.; Kikuchi, A.; Sakurai, Y.; Okano, T. Temperature-responsive liquid chromatography. 2. effects of hydrophobic groups in N-isopropylacrylamide copolymer-modified silica. Anal. Chem. 1997, 69, 823–830. [Google Scholar] [CrossRef] [PubMed]
- Akimaru, M.; Okubo, K.; Hiruta, Y.; Kanazawa, H. Temperature-responsive solid-phase extraction column for biological sample pretreatment. Anal. Sci. 2015, 31, 881–886. [Google Scholar] [CrossRef] [PubMed]
- Ayano, E.; Okada, Y.; Sakamoto, C.; Kanazawa, H.; Okano, T.; Ando, M.; Nishimura, T. Analysis of herbicides in water using temperature-responsive chromatography and an aqueous mobile phase. J. Chromatogr. A 2005, 1069, 281–285. [Google Scholar] [CrossRef] [PubMed]
- Nagase, K.; Okano, T. Thermoresponsive-polymer-based materials for temperature-modulated bioanalysis and bioseparations. J. Mater. Chem. B 2016, 4, 6381–6397. [Google Scholar] [CrossRef]
- Mikuma, T.; Kuroki, T.; Yoshikawa, M.; Uchida, R.; Hiruta, Y.; Kanazawa, H. Analysis of psychoactive drugs by temperature-responsive chromatography. Chromatography 2017, 38, 115–121. [Google Scholar] [CrossRef][Green Version]
- Wang, J.; Ayano, E.; Maitani, Y.; Kanazawa, H. Tunable surface properties of temperature-responsive polymer-modified liposomes induce faster cellular uptake. ACS Omega 2017, 2, 316–325. [Google Scholar] [CrossRef]
- Wang, J.; Ayano, E.; Maitani, Y.; Kanazawa, H. Enhanced cellular uptake and gene silencing activity of siRNA using temperature-responsive polymer-modified liposome. Int. J. Pharm. 2017, 523, 217–228. [Google Scholar] [CrossRef] [PubMed]
- Nakayama, M.; Akimoto, J.; Okano, T. Polymeric micelles with stimuli-triggering systems for advanced cancer drug targeting. J. Drug Target. 2014, 22, 584–599. [Google Scholar] [CrossRef] [PubMed]
- Akimoto, J.; Nakayama, M.; Okano, T. Temperature-responsive polymeric micelles for optimizing drug targeting to solid tumors. J. Control. Release 2014, 193, 2–8. [Google Scholar] [CrossRef] [PubMed]
- Yamada, N.; Okano, T.; Sakai, H.; Karikusa, F.; Sawasaki, Y.; Sakurai, Y. Thermo-responsive polymeric surfaces; control of attachment and detachment of cultured cells. Makromol. Chem. Rapid Commun. 1990, 11, 571–576. [Google Scholar] [CrossRef]
- Ebara, M.; Yamato, M.; Aoyagi, T.; Kikuchi, A.; Sakai, K.; Okano, T. A novel approach to observing synergy effects of PHSRN on integrin-RGD binding using intelligent surfaces. Adv. Mater. 2008, 20, 3034–3038. [Google Scholar] [CrossRef]
- Mizutani, A.; Kikuchi, A.; Yamato, M.; Kanazawa, H.; Okano, T. Preparation of thermoresponsive polymer brush surfaces and their interaction with cells. Biomaterials 2008, 29, 2073–2081. [Google Scholar] [CrossRef] [PubMed]
- Nagase, K.; Kobayashi, J.; Okano, T. Temperature-responsive intelligent interfaces for biomolecular separation and cell sheet engineering. J. R. Soc. Interface 2009, 6, S293–S309. [Google Scholar] [CrossRef] [PubMed]
- Nagase, K.; Yamato, M.; Kanazawa, H.; Okano, T. Poly(N-isopropylacrylamide)-based thermoresponsive surfaces provide new types of biomedical applications. Biomaterials 2018, 153, 27–48. [Google Scholar] [CrossRef] [PubMed]
- Nagase, K.; Okano, T.; Kanazawa, H. Poly(N-isopropylacrylamide) based thermoresponsive polymer brushes for bioseparation, cellular tissue fabrication, and nano actuators. Nano-Struct. Nano-Obj. 2018, 16, 9–23. [Google Scholar] [CrossRef]
- Nagase, K.; Nagumo, Y.; Kim, M.; Kim, H.-J.; Kyung, H.-W.; Chung, H.-J.; Sekine, H.; Shimizu, T.; Kanazawa, H.; Okano, T.; et al. Local release of VEGF using fiber mats enables effective transplantation of layered cardiomyocyte sheets. Macromol. Biosci. 2017, 17, 1700073. [Google Scholar] [CrossRef] [PubMed]
- Hiruta, Y.; Shimamura, M.; Matsuura, M.; Maekawa, Y.; Funatsu, T.; Suzuki, Y.; Ayano, E.; Okano, T.; Kanazawa, H. Temperature-responsive fluorescence polymer probes with accurate thermally controlled cellular uptakes. ACS Macro Lett. 2014, 3, 281–285. [Google Scholar] [CrossRef]
- Hiruta, Y.; Funatsu, T.; Matsuura, M.; Wang, J.; Ayano, E.; Kanazawa, H. pH/temperature-responsive fluorescence polymer probe with pH-controlled cellular uptake. Sens. Actuators B Chem. 2015, 207, 724–731. [Google Scholar] [CrossRef]
- Yamada, A.; Hiruta, Y.; Wang, J.; Ayano, E.; Kanazawa, H. Design of environmentally responsive fluorescent polymer probes for cellular imaging. Biomacromolecules 2015, 16, 2356–2362. [Google Scholar] [CrossRef] [PubMed]
- Ritchie, J.W.A.; Taylor, P.M. Role of the System L permease LAT1 in amino acid and iodothyronine transport in placenta. Biochem. J. 2001, 356, 719–725. [Google Scholar] [CrossRef] [PubMed]
- Khunweeraphong, N.; Nagamori, S.; Wiriyasermkul, P.; Nishinaka, Y.; Wongthai, P.; Ohgaki, R.; Tanaka, H.; Tominaga, H.; Sakurai, H.; Kanai, Y. Establishment of stable cell lines with high expression of heterodimers of human 4F2hc and human amino acid transporter LAT1 or LAT2 and delineation of their differential interaction with a-alkyl moieties. J. Pharmacol. Sci. 2012, 119, 368–380. [Google Scholar] [CrossRef] [PubMed]
- Fuchs, B.C.; Bode, B.P. Amino acid transporters ASCT2 and LAT1 in cancer: Partners in crime? Semin. Cancer Biol. 2005, 15, 254–266. [Google Scholar] [CrossRef] [PubMed]
- Uchino, H.; Kanai, Y.; Kim, D.K.; Wempe, M.F.; Chairoungdua, A.; Morimoto, E.; Anders, M.W.; Endou, H. Transport of amino acid-related compounds mediated by L-type amino acid transporter 1 (LAT1): Insights into the mechanisms of substrate recognition. Mol. Pharmacol. 2002, 61, 729–737. [Google Scholar] [CrossRef] [PubMed]
- Li, L.; Di, X.; Zhang, S.; Kan, Q.; Liu, H.; Lu, T.; Wang, Y.; Fu, Q.; Sun, J.; He, Z. Large amino acid transporter 1 mediated glutamate modified docetaxel-loaded liposomes for glioma targeting. Colloids Surf. B 2016, 141, 260–267. [Google Scholar] [CrossRef] [PubMed]
- Akizawa, H.; Imajima, M.; Hanaoka, H.; Uehara, T.; Satake, S.; Arano, Y. Renal brush border enzyme-cleavable linkages for low renal radioactivity levels of radiolabeled antibody fragments. Bioconj. Chem. 2013, 24, 291–299. [Google Scholar] [CrossRef] [PubMed]










| Terminal Group | Mn a | Mw a | Mw/Mn a | LCST (°C) b | |
|---|---|---|---|---|---|
| P(NIPAAm-co-DMAAm12.5%) | ![]() | 17,700 | 22,100 | 1.25 | 35.1 |
| P(NIPAAm-co-DMAAm20%) | 16,700 | 19,500 | 1.17 | 37.3 | |
| P(NIPAAm-co-DMAAm35%) | 14,200 | 16,400 | 1.15 | 47.1 | |
| Phe-P(NIPAAm-co-DMAAm12.5%) | ![]() | 18,500 | 21,800 | 1.18 | 35.7 |
| Phe-P(NIPAAm-co-DMAAm20%) | 18,200 | 22,400 | 1.23 | 39.3 | |
| Phe-P(NIPAAm-co-DMAAm35%) | 16,600 | 19,500 | 1.17 | 49.4 | |
| Tyr-P(NIPAAm-co-DMAAm12.5%) | ![]() | 13,400 | 16,100 | 1.20 | 34.1 |
| Tyr-P(NIPAAm-co-DMAAm20%) | 12,100 | 15,600 | 1.29 | 36.3 | |
| Tyr-P(NIPAAm-co-DMAAm35%) | 12,700 | 14,500 | 1.14 | 46.2 |
© 2018 by the authors. Licensee MDPI, Basel, Switzerland. This article is an open access article distributed under the terms and conditions of the Creative Commons Attribution (CC BY) license (http://creativecommons.org/licenses/by/4.0/).
Share and Cite
Matsuura, M.; Ohshima, M.; Hiruta, Y.; Nishimura, T.; Nagase, K.; Kanazawa, H. LAT1-Targeting Thermoresponsive Fluorescent Polymer Probes for Cancer Cell Imaging. Int. J. Mol. Sci. 2018, 19, 1646. https://doi.org/10.3390/ijms19061646
Matsuura M, Ohshima M, Hiruta Y, Nishimura T, Nagase K, Kanazawa H. LAT1-Targeting Thermoresponsive Fluorescent Polymer Probes for Cancer Cell Imaging. International Journal of Molecular Sciences. 2018; 19(6):1646. https://doi.org/10.3390/ijms19061646
Chicago/Turabian StyleMatsuura, Minami, Mariko Ohshima, Yuki Hiruta, Tomohiro Nishimura, Kenichi Nagase, and Hideko Kanazawa. 2018. "LAT1-Targeting Thermoresponsive Fluorescent Polymer Probes for Cancer Cell Imaging" International Journal of Molecular Sciences 19, no. 6: 1646. https://doi.org/10.3390/ijms19061646
APA StyleMatsuura, M., Ohshima, M., Hiruta, Y., Nishimura, T., Nagase, K., & Kanazawa, H. (2018). LAT1-Targeting Thermoresponsive Fluorescent Polymer Probes for Cancer Cell Imaging. International Journal of Molecular Sciences, 19(6), 1646. https://doi.org/10.3390/ijms19061646




