Degradation Studies Realized on Natural Rubber and Plasticized Potato Starch Based Eco-Composites Obtained by Peroxide Cross-Linking
Abstract
:1. Introduction
2. Results and Discussion
2.1. Physical and Chemical Characteristics
2.1.1. Mechanical Properties of Unfilled and Filled NR before Aging
2.1.2. Mechanical Properties of Unfilled and Filled NR after Aging
Mechanical Properties of Unfilled and Filled NR after Accelerated (Thermal) Ageing
Mechanical Properties of Unfilled and Filled NR after 1 Year of Natural Ageing in Temperate Climate
2.1.3. Gel Fraction and Cross-Link Density
2.2. Structural and Morphological Characteristics
2.2.1. Spectral Characterization by Fourier Transform Infrared Spectroscopy Analysis
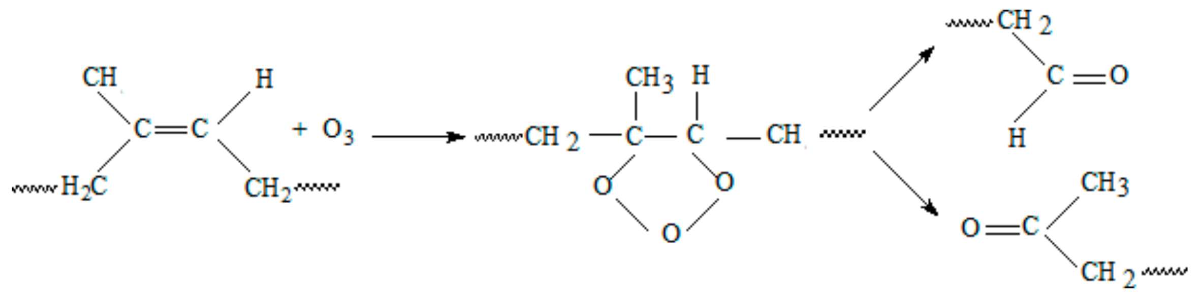
2.2.2. Mechanisms of Natural Degradation Reactions for NR and NR-PS
2.2.3. SEM Analysis
2.3. Water Uptake and Mass Loss
3. Materials and Methods
3.1. Materials and Samples Preparation
3.2. Laboratory Tests
3.2.1. Mechanical Characteristics Determining
3.2.2. Sol-Gel Analysis
3.2.3. Cross-Link Density Determining
3.2.4. Structural and Morphological Measurements
3.2.5. Mechanisms of Degradation Reactions
3.2.6. Water Uptake Tests
4. Conclusions
Author Contributions
Funding
Acknowledgments
Conflicts of Interest
References
- Craciun, G.; Manaila, E.; Stelescu, M.D. New Elastomeric Materials Based on Natural Rubber Obtained by Electron Beam Irradiation for Food and Pharmaceutical Use. Materials 2016, 9, 999. [Google Scholar] [CrossRef] [PubMed]
- Kruželák, J.; Sýkora, R.; Hudec, I. Sulphur and peroxide vulcanisation of rubber compounds-overview. Chem. Pap. 2016, 70, 1533–1555. [Google Scholar] [CrossRef]
- Kruželák, J.; Sýkora, R.; Hudec, I. Peroxide vulcanization of natural rubber. Part II: Effect of peroxides and co-agents. J. Polym. Eng. 2015, 35, 21–29. [Google Scholar] [CrossRef]
- Henning, S.K.; Boye, W.M. Fundamentals of Curing Elastomers with Peroxides and Coagents II: Understanding the Relationship Between Coagent and Elastomer. Rubber World 2009, 240, 31–39. [Google Scholar]
- Rajan, R.; Varghese, S.; George, K.E. Role of coagents in peroxide vulcanizatin of natural rubber. Rubber Chem. Technol. 2013, 86, 488–502. [Google Scholar] [CrossRef]
- Vieira, E.R.; Mantovani, J.D.; de Camargo Forte, M.M. Comparison between peroxide/coagent cross-linking systems and sulfur for producing tire treads from elastomeric compounds. J. Elastom. Plast. 2013, 47, 347–359. [Google Scholar] [CrossRef]
- Bucsi, A.; Szocs, F. Kinetics of radical generation in PVC with dibenzoyl peroxide utilizing high-pressure technique. Macromol. Chem. Phys. 2000, 201, 435–438. [Google Scholar] [CrossRef]
- Alvarez Grima, M.M. Novel Co-Agents for Improved Properties in Peroxide Cure of Saturated Elastomers. Ph.D. Thesis, University of Twente, Enschede, The Netherlands, 16 February 2007. [Google Scholar]
- Drobny, J.G. Ionizing Radiation and Polymers: Principles, Technology and Applications, 1st ed.; Elsevier Health Sciences; William Andrew: Norwich, NY, USA, 2012; pp. 88–91. ISBN 978-1-4557-7881-. [Google Scholar]
- Dikland, H.G.; Ruardy, T.; Van der Does, L.; Bantjes, A. New coagents in peroxide vulcanization of EPM. Rubber Chem. Technol. 1993, 66, 693–711. [Google Scholar] [CrossRef]
- Thitithammawong, A.; Uthaipan, N.; Rungvichaniwat, A. The effect of the ratios of sulfur to peroxide in mixed vulcanization systems on the properties of dynamic vulcanized natural rubber and polypropylene blends. Songklanakarin J. Sci. Technol. 2012, 34, 653–662. Available online: http://rdo.psu.ac.th/sjstweb/journal/34-6/0597-0721-34-6-653-662.pdf (accessed on 1 August 2018).
- Manaila, E.; Craciun, G.; Stelescu, M.D.; Ighigeanu, D.; Ficai, M. Radiation vulcanization of natural rubber with polyfunctional monomers. Polym. Bull. 2014, 71, 57–82. [Google Scholar] [CrossRef]
- Stelescu, M.D.; Manaila, E.; Craciun, G.; Dumitrascu, M. New Green Polymeric Composites Based on Hemp and Natural Rubber Processed by Electron Beam Irradiation. Sci. World J. 2014, 684047. [Google Scholar] [CrossRef] [PubMed]
- Manaila, E.; Stelescu, M.D.; Craciun, G.; Ighigeanu, D. Wood Sawdust/Natural Rubber Ecocomposites Cross-Linked by Electron Beam Irradiation. Materials 2016, 9, 503. [Google Scholar] [CrossRef] [PubMed]
- Datta, J. Effect of Starch Fillers on the Dynamic Mechanical Properties of Rubber Biocomposite Materials. Polym. Compos. 2015, 23, 109–112. Available online: http://www.polymerjournals.com/pdfdownload/1189816.pdf (accessed on 26 June 2018). [CrossRef]
- Datta, J.; Rohn, M. Structure, thermal stability and mechanical properties of polyurethanes, based on glycolysate from polyurethane foam waste prepared with use of 1,6-hexanediol as a glycol. Polimery 2008, 53, 871–875. [Google Scholar]
- Liu, C.; Shao, Y.; Jia, D. Chemically modified starch reinforced natural rubber composites. Polimer 2008, 49, 2176–2181. [Google Scholar] [CrossRef]
- Mente, P.; Motaung, T.E.; Hlangothi, S.P. Natural Rubber and Reclaimed Rubber Composites–A Systematic Review. Polym. Sci. 2016, 2, 1–19. [Google Scholar] [CrossRef]
- Lomeli Ramírez, M.G.; Satyanarayana, K.G.; Iwakiri, S.; Bolzon de Muniz, G.; Tanobe, V.; Flores-Sahagun, T.S. Study of the properties of biocomposites. Part, I. Cassava starch-green coir fibers from Brazil. Carbohydr. Polym. 2011, 86, 1712–1722. [Google Scholar] [CrossRef]
- Mali, S.; Grossmann, M.V.E.; García, M.A.; Martino, M.N.; Zaritzky, N.E. Antiplasticizing effect of glycerol and sorbitol on the properties of cassava starch Films. Braz. J. Food Technol. 2008, 11, 194–200. Available online: http://bj.ital.sp.gov.br/artigos/html/busca/pdf/v11n3a6107a.pdf (accessed on 26 June 2018).
- Gaspar, M.; Benko, Z.; Dogossy, G.; Reczey, K.; Czigany, T. Reducing water absorption in compostable starch-based plastics. Polym. Degrad. Stab. 2005, 90, 563–569. [Google Scholar] [CrossRef]
- Mathew, A.P.; Dufresne, A. Plasticized waxy maize starch: Effects of polyols and relative humidity on material properties. Biomacromolecules 2002, 3, 1101–1108. [Google Scholar] [CrossRef] [PubMed]
- Van der Burg, M.C.; Van der Woude, M.E.; Janssen, L.P.B.M. The influence of plasticizer on extruded thermoplastics starch. J. Vinyl Addit. Technol. 1996, 2, 170–174. [Google Scholar] [CrossRef]
- Ahmed, K.; Nizami, S.S.; Raza, N.Z.; Mahmood, K. Effect of micro-sized marble sludge on physical properties of natural rubber composites. Chem. Ind. Chem. Eng. Q. 2013, 19, 281−293. [Google Scholar] [CrossRef]
- Thongsang, S.; Sombatsompop, N. Dynamic Rebound Behavior of Silica/Natural Rubber Composites: Fly Ash Particles and Precipitated Silica. J. Macromol. Sci. Part B 2007, 46, 825–840. [Google Scholar] [CrossRef]
- Chen, R.S.; Ahmad, S.; Ab Ghani, M.H.; Salleh, M.N. Optimization of High Filler Loading on Tensile Properties of Recycled HDPE/PET Blends Filled with Rice Husk. AIP Conf. Proc. 2014, 1614, 46–51. [Google Scholar] [CrossRef]
- Nourbakhsh, A.; Baghlani, F.F.; Ashori, A. Nano-SiO2 filled rice husk/polypropylene composites: Physico-mechanical properties. Ind. Crop. Prod. 2011, 33, 183–187. [Google Scholar] [CrossRef]
- Ahmed, K. Hybrid composites prepared from Industrial waste: Mechanical and swelling behavior. J. Adv. Res. 2015, 6, 225–232. [Google Scholar] [CrossRef] [PubMed]
- Kukle, S.; Gravitis, J.; Putnina, A.; Stikute, A. The effect of steam explosion treatment on technical hemp fibres. In Proceedings of the 8th International Scientific and Practical Conference, Rezekne, Latvia, 20–22 June 2011; pp. 230–237. [Google Scholar]
- Hanafi, I.; Muniandy, K.; Othman, N. Fatigue life, morphological studies, and thermal aging of rattan powder-filled natural rubber composites as a function of filler loading and a silane coupling agent. BioResources 2012, 7, 841–858. Available online: http://ojs.cnr.ncsu.edu/index.php/BioRes/article/view/BioRes_07_1_0841_Ismail_MO_Fatigue_Morpholog_Thermal_Aging_Rattan_Composite/1352 (accessed on 25 June 2018).
- Abdul Kader, M.; Bhowmick, A.K. Acrylic rubber–fluorocarbon rubber miscible blends: Effect of curatives and fillers on cure, mechanical, aging, and swelling properties. J. Appl. Polym. Sci. 2003, 89, 1442–1452. [Google Scholar] [CrossRef]
- Rattansom, N.; Prasertsri, S. Relationship among Mechanical properties, heat ageing resistance, cut growth behaviour and morphology in natural rubber: Partial replacement of clay with various type of carbon black at similar hardness level. Polym. Test. 2009, 28, 270–276. [Google Scholar] [CrossRef]
- Ismail, H.; Ishiaku, U.S.; Azhar, A.A.; Mohd Ishak, Z.A. A comparative study of the effect of thermo-oxidative aging on the physical properties of rice husk ash and commercial fillers in epoxidized natural rubber compounds. J. Elastom. Plast. 1997, 29, 270–289. [Google Scholar] [CrossRef]
- Azura, A.R.; Ghazali, S.; Mariatti, M. Effects of the filler loading and aging time on the mechanical and electrical conductivity properties of carbon black filled natural rubber. J. Appl. Polym. Sci. 2008, 110, 747–752. [Google Scholar] [CrossRef]
- Khanlari, S.; Kokabi, M. Thermal stability, aging properties, and flame resistance of NR-based nanocomposite. J. Appl. Polym. Sci. 2010, 119, 855–862. [Google Scholar] [CrossRef]
- Martins, A.F.; Visconte, L.L.Y.; Schuster, R.H.; Boller, F.; Nunes, H.C.R.; Nunes, R.C.R. Ageing Effect on Dynamic and Mechanical Properties of NR/Cel II Nanocomposites. Kautsch. Gummi Kunstst. 2004, 57, 446–451. [Google Scholar]
- Somers, A.E.; Bastow, T.J.; Burgar, M.I.; Forsyth, M.; Hill, A.J. Quantifying rubber degradation using NMR. Polym. Degradr. Stab. 2000, 70, 31–37, . [Google Scholar] [CrossRef]
- Riyajan, S.-A.; Sasithornsonti, Y.; Phinyocheep, P. Green natural rubber-g-modified starch for controlling urea release. Carbohydr. Polym. 2012, 89, 251–258. [Google Scholar] [CrossRef] [PubMed]
- Fang, J.M.; Fowler, P.A.; Tomkinson, J.; Hill, C.A.S. The preparation and characterization of a series of chemically modified potato starches. Carbohydr. Polym. 2002, 47, 245–252. [Google Scholar] [CrossRef]
- Mu, T.-H.; Zhang, M.; Raad, L.; Sun, H.-N.; Wang, C. Effect of α-Amylase Degradation on Physicochemical Properties of Pre-High Hydrostatic Pressure-Treated Potato Starch. PLoS ONE 2015, 10, e0143620. [Google Scholar] [CrossRef] [PubMed]
- Eng, A.H.; Tanaka, Y.; Gan, S.N. FTIR studies on amino groups in purified Hevea rubber. J. Nat. Rubber Res. 1992, 7, 152–155. [Google Scholar]
- Kim, I.-S.; Lee, B.-W.; Sohn, K.-S.; Yoon, J.; Lee, J.-H. Characterization of the UV Oxidation of Raw Natural Rubber Thin Film Using Image and FT-IR Analysis. Elastom. Compos. 2016, 51, 1–9. [Google Scholar] [CrossRef]
- Coates, J. Interpretation of Infrared Spectra, A Practical Approach. In Encyclopedia of Analytical Chemistry, 1st ed.; Meyers, R.A., Ed.; John Wiley & Sons Ltd.: Chichester, UK, 2000; pp. 10815–10837. Available online: https://pdfs.semanticscholar.org/9203/59b562f615d9f68f8e57b6b6b505aa213174.pdf (accessed on 20 June 2018).
- Polymer Properties Database. Available online: http://polymerdatabase.com/polymer%20chemistry/Thermal%20Degradation.html (accessed on 12 June 2018).
- Alberti, A.; Bertini, S.; Gastaldi, G.; Iannaccone, N.; Macciantelli, D.; Torri, G.; Vismara, E. Electron beam irradiated textile cellulose fibres: ESR studies and derivatisation with glycidyl methacrylate (GMA). Eur. Polym. J. 2005, 41, 1787–1797. [Google Scholar] [CrossRef]
- Connors, S.A. Chemical and Physical Characterization of the Degradation of Vulcanized Natural Rubber in the Museum Environment. Master’s Thesis, Queen’s University, Kingston, ON, Canada, 1998. [Google Scholar]
- Palmas, P.; Le Campion, L.; Bourgeisat, C.; Martel, L. Curing and thermal ageing of elastomers as studied by H-1 Broadband and C-13 high-resolution solid-state NMR. Polymer 2001, 42, 7675–7683. [Google Scholar] [CrossRef]
- Muniandy, K.; Hanafi, I.; Othman, N. Studies on natural weathering of rattan powder filled natural rubber composites. BioResources 2012, 7, 3999–4011. Available online: http://ojs.cnr.ncsu.edu/index.php/BioRes/article/view/BioRes_07_3_3999_Muniandy_Natural_Weathering_Rattan_Powder_Rubber/1653 (accessed on 20 May 2018).
- Datta, R.N. Rubber-curing systems. In Current Topics in Elastomers Research; Bhowmick, A.K., Ed.; CRC Press: Boca Raton, FL, USA, 2008; ISBN 9781420007183. [Google Scholar]
- Noriman, N.Z.; Ismail, H. The effects of electron beam irradiation on the thermal properties, fatigue life and natural weathering of styrene butadiene rubber/recycledacrylonitrile–butadiene rubber blends. Mater. Des. 2011, 32, 3336–3346. [Google Scholar] [CrossRef]
- Rohana Yahya, Y.S.; Azura, A.R.; Ahmad, Z. Effect of Curing Systems on Thermal Degradation Behaviour of Natural Rubber (SMR CV 60). J. Phys. Sci. 2011, 22, 1–14. Available online: http://web.usm.my/jps/22-2-11/22.2.1.pdf (accessed on 26 June 2018).
- Azura, A.R.; Muhr, A.H.; Thomas, A.G. Diffusion and reactions of oxygen during ageing for conventionally cured natural rubber vulcanisate. Polym. Plast. Technol. Eng. 2006, 45, 893–896. [Google Scholar] [CrossRef]
- Pimolsiriphol, V.; Saeoui, P.; Sirisinha, C. Relationship among Thermal Ageing Degradation, Dynamic Properties, Cure Systems, and Antioxidants in Natural Rubber Vulcanisates. Polym. Plast. Technol. Eng. 2007, 46, 113–121. [Google Scholar] [CrossRef]
- Hoque, M.E.; Ye, T.J.; Yong, L.C.; Dahlan, K.Z.M. Sago Starch-Mixed Low-Density Polyethylene Biodegradable Polymer: Synthesis and Characterization. J. Mater. 2013, 365380. [Google Scholar] [CrossRef]
- Arroyo, M.; Lopez-Manchado, M.A.; Herrero, B. Organo-montmorillonite as substitute of carbon black in natural rubber compounds. Polymer 2003, 44, 2447–2453. [Google Scholar] [CrossRef]
- Chenal, J.M.; Chazeau, L.; Guy, L.; Bomal, Y.; Gauthier, C. Molecular weight between physical entanglements in natural rubber: A critical parameter during strain-induced crystallization. Polymer 2007, 48, 1042–1046. [Google Scholar] [CrossRef]











| Mechanical Property (%) | Sample Type (PS Loading) (phr of PS at 100 phr of NR) | |||||
|---|---|---|---|---|---|---|
| NR | NR-10 | NR-20 | NR-30 | NR-40 | NR-50 | |
| Hardness | −6.67 | −4.44 | 0 | 0 | +1.96 | +3.64 |
| Elasticity | −15.38 | −16.98 | +15.38 | +10.00 | +10.53 | +11.11 |
| 100% Modulus | −2.60 | +16.67 | +36.67 | +53.33 | +53.33 | +65.00 |
| Tensile strength | −14.63 | +23.29 | −7.61 | −8.24 | +2.86 | +1.96 |
| Elongation at break | +16.33 | +33.83 | +1.14 | +1.22 | +24.34 | +12.13 |
| Elongation set | 0.00 | +18.73 | +33.33 | +23.53 | +170.00 | +210.00 |
| Tearing strength | +4.55 | +1.74 | 0 | +13.33 | +20.00 | +23.33 |
| Mechanical Property (%) | Sample Type (PS Loading) (phr of PS at 100 phr of NR) | |||||
|---|---|---|---|---|---|---|
| NR | NR-10 | NR-20 | NR-30 | NR-40 | NR-50 | |
| Hardness | −6.67 | −8.89 | −2.17 | −10.42 | −5.88 | −9.09 |
| Elasticity | −15.38 | −16.98 | −15.38 | −5.00 | −5.26 | −5.56 |
| 100% Modulus | −94.81 | −91.67 | −91.67 | −91.67 | −91.67 | −91.67 |
| Tensile strength | −91.64 | −86.99 | −69.57 | −82.35 | −96.29 | −96.86 |
| Elongation at break | −64.00 | −59.20 | −67.37 | −68.59 | −78.50 | −76.60 |
| Elongation set | −25.00 | −25.00 | −26.67 | −29.41 | +40.00 | +60.00 |
| Tearing strength | −40.91 | −43.48 | −54.55 | −36.67 | −56.67 | −85.33 |
| Sample Type (PS Loading) | Gel Fraction | Cross-Link Density | ||
|---|---|---|---|---|
| Thermal Aging | Natural Aging for 1 Year | Thermal Aging | Natural Aging for 1 Year | |
| NR | +0.47 | −0.56 | −8.28 | −32.13 |
| NR-10 | +1.05 | −0.83 | +0.71 | −14.44 |
| NR-20 | +1.26 | −0.78 | −8.07 | −37.81 |
| NR-30 | +2.24 | −3.42 | −5.47 | −37.83 |
| NR-40 | −0.57 | −3.55 | −2.60 | −26.03 |
| NR-50 | −0.41 | −3.48 | −3.99 | −28.46 |
| Wave Number (cm−1) | Assignment |
|---|---|
| 740–760 | C–O–C ring vibration from starch or deformation vibration of R2C=CH–R groups from NR |
| 833 | =CH out-of-plane bending vibration from NR rubber |
| 870 | C(1)–H(α) bending vibration from starch |
| 930–925 | skeletal mode vibrations of α-(1-4) glycosidic linkage (C–O–C) from starch |
| 1034–1038 | C–O stretching vibration in C–O–H and C–O–C in the anhydrous glucose ring from starch |
| 1080–1086 | C–O–C stretching vibration that indicate the grafting of PS on NR |
| 1125–1126 | C–O stretching of C–O–C (from starch) or of alcohols >HC–OH resulted from the degradation |
| 1240–1260 | carbonyl ((>C=O) and hydroxyl (–OH) compound resulted from the degradation |
| 1310–1315 | bending vibration of C–H and C–O groups of aromatic rings (starch) |
| 1370–1380 | –CH3 asymmetric deformation of NR |
| 1440–1450 | –CH2– deformation vibration from NR or –CH2– symmetric bending vibration from starch |
| 1655–1665 | –C=C– stretching vibration in the NR structure or may be due to absorbed water or carboxylate or conjugated ketone (>C=O) resulted from the degradation |
| 1710–1740 | the fatty acid ester groups existing in NR or carbonyl group (>C=O) from ketone (R2C=O) or aldehyde (RCOH) resulted from the oxidative degradation |
| 2852–2854 | –CH2– symmetric stretching vibration of NR |
| 2919–2927 | –CH2– asymmetric stretching vibration of NR |
| 2958–2960 | –CH3 asymmetric stretching vibration of NR |
| 3030–3040 | =CH– stretching vibration of –CH=CH2 group from NR |
| 3300–3380 | N–H stretching vibration of amide groups from the existing proteins in NR or from OH-stretching vibration (–OH as a result of the degradation by oxidation) |
| Samples Codes | Mass Loss (%) | ||
|---|---|---|---|
| Before Ageing | After Accelerated Ageing | After 1 Year of Natural Ageing | |
| NR | 0.256 | 0.263 | 0.282 |
| NR-10 | 0.263 | 0.286 | 0.293 |
| NR-20 | 0.309 | 0.409 | 0.417 |
| NR-30 | 1.059 | 0.963 | 1.095 |
| NR-40 | 2.083 | 1.031 | 2.619 |
| NR-50 | 2.971 | 1.126 | 5.960 |
| Ingredients (phr) | Mixtures Codes | |||||
|---|---|---|---|---|---|---|
| NR | NR-10 | NR-20 | NR-30 | NR-40 | NR-50 | |
| Natural rubber (NR) | 100 | 100 | 100 | 100 | 100 | 100 |
| Starch | 0 | 10 | 20 | 30 | 40 | 50 |
| Glycerine | 0 | 6 | 12 | 18 | 24 | 30 |
| Peroxyde | 8 | 8 | 8 | 8 | 8 | 8 |
| TMPT | 3 | 3 | 3 | 3 | 3 | 3 |
| Antioxidant | 1 | 1 | 1 | 1 | 1 | 1 |
© 2018 by the authors. Licensee MDPI, Basel, Switzerland. This article is an open access article distributed under the terms and conditions of the Creative Commons Attribution (CC BY) license (http://creativecommons.org/licenses/by/4.0/).
Share and Cite
Manaila, E.; Stelescu, M.D.; Craciun, G. Degradation Studies Realized on Natural Rubber and Plasticized Potato Starch Based Eco-Composites Obtained by Peroxide Cross-Linking. Int. J. Mol. Sci. 2018, 19, 2862. https://doi.org/10.3390/ijms19102862
Manaila E, Stelescu MD, Craciun G. Degradation Studies Realized on Natural Rubber and Plasticized Potato Starch Based Eco-Composites Obtained by Peroxide Cross-Linking. International Journal of Molecular Sciences. 2018; 19(10):2862. https://doi.org/10.3390/ijms19102862
Chicago/Turabian StyleManaila, Elena, Maria Daniela Stelescu, and Gabriela Craciun. 2018. "Degradation Studies Realized on Natural Rubber and Plasticized Potato Starch Based Eco-Composites Obtained by Peroxide Cross-Linking" International Journal of Molecular Sciences 19, no. 10: 2862. https://doi.org/10.3390/ijms19102862
APA StyleManaila, E., Stelescu, M. D., & Craciun, G. (2018). Degradation Studies Realized on Natural Rubber and Plasticized Potato Starch Based Eco-Composites Obtained by Peroxide Cross-Linking. International Journal of Molecular Sciences, 19(10), 2862. https://doi.org/10.3390/ijms19102862
