Synthesis and Characterization of Some New Bis-Pyrazolyl-Thiazoles Incorporating the Thiophene Moiety as Potent Anti-Tumor Agents
Abstract
:1. Introduction
2. Results
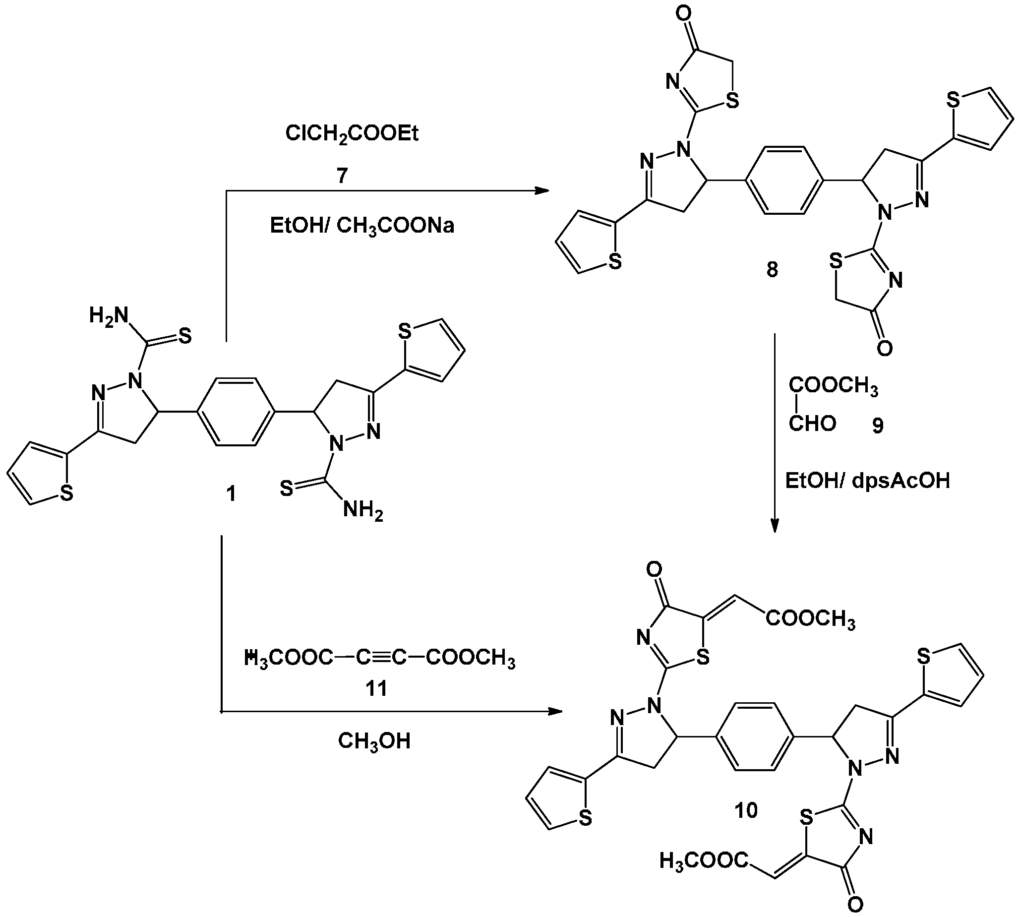
2.1. Synthesis
2.2. Anti-Cancer Activity
- The in vitro inhibitory activities of tested compounds against the human liver carcinoma (HepG2) have the descending order as follow: 3g > 5e > 3e > 10 > 5f > 3i > 3f > 3a > 1 > 3a > 3h > 8 > 5b > 3c > 3b > 3d.
- The thiazole derivatives 5a,b,e,f have in vitro inhibitory activity greater than the bis-thiazole derivatives 3a,b,e,f (5a > 3a, 5b > 3b, 5e > 3e, and 5f > 3f).
- The substituent at position 4 in the thiazole ring affect the in vitro inhibitory activity, while the thienyl ring has a greater effect than the methyl group, which has a greater effect than the phenyl group.
- The introduction of electron-withdrawing group (nitro group > chlorine atom > bromine atom) at the fourth position of the phenyl group at position 5 in the thiazole ring enhances the antitumor activity. In contrast, the introduction of electron-donating group (methoxy group > methyl group) decreases the antitumor activity.
3. Materials and Methods
3.1. General Experimental Procedures
3.2. Synthetic Procedures (See Supplementary Material Figures S1–S16)
3.2.1. General Method for the Synthsis of 1,4-Bis(1-(4-substituted-5-((E)-aryldiazenyl)thiazol-2-yl)-3-(thiophen-2-yl)-4,5-dihydro-1H-pyrazol-5-yl)benzene 3a–i
3.2.2. Synthesis of 4-Methyl-5-((E)-aryldiazenyl)-2-(2-(1-(thiophen-2-yl)ethylidene)hydrazinyl) Thiazole Derivatives 5a,b,e,f
3.2.3. Alternate Synthesis of Compounds 3a,b,e,f
3.2.4. Synthesis of 2,2′-(5,5′-(1,4-phenylene)bis(3-(thiophen-2-yl)-4,5-dihydro-1H-pyrazole-3,1-diyl))bis(thiazol-4(5H)-one) (8)
3.2.5. Synthesis of (2Z,2′Z)-dimethyl 2,2′-(2,2′-(5,5′-(1,4-phenylene)bis(5-(thiophen-2-yl)-4,5-dihydro-1H-pyrazole-3,1-diyl))bis(4-oxothiazole-2(4H)-yl-5(4H)-ylidene))diacetate (10)
3.2.6. Alternate Synthesis of Compound 10
3.3. Anti-Tumor Activity
4. Conclusions
Supplementary Materials
Acknowledgments
Author Contributions
Conflicts of Interest
References
- Kulandasamy, R.; Adhikari, A.V.; Stables, J.P. A new class of anticonvulsants possessing 6 Hz activity: 3,4-Dialkyloxy thiophene bis-hydrazones. Eur. J. Med. Chem. 2009, 44, 4376–4384. [Google Scholar] [CrossRef] [PubMed]
- Asiri, A.M.; Khan, S.A. Synthesis and anti-bacterial activities of a bis-chalcone derived from thiophene and its bis-cyclized products. Molecules 2011, 16, 523–531. [Google Scholar] [CrossRef] [PubMed]
- Murakami, N.; Takase, H.; Saito, T.; Iwata, K.; Miura, H.; Naruse, T. Effects of a novel non-steroidal anti-inflammatory drug (M-5011) on bone metabolism in rats with collagen induced arthritis. Eur. J. Pharmacol. 1998, 352, 81–90. [Google Scholar] [CrossRef]
- Lu, X.; Wan, B.; Franzblau, S.G.; You, Q. Design, synthesis and anti-tubercular evaluation of new 2-acylated and 2-alkylated amino-5-(4-(benzyloxy)phenyl)thiophene-3-carboxylic acid derivatives. Part 1. Eur. J. Med. Chem. 2011, 46, 3551–3563. [Google Scholar] [CrossRef] [PubMed]
- Corral, C.; Lissavetzky, J.; Manzanares, I.; Darias, V.; Expósito-Orta, M.A.; Conde, J.A.M.; Sánchez-Mateo, C.C. Synthesis and preliminary pharmacological evaluation of thiophene analogues of viloxazine as potential antidepressant drugs. Bioorg. Med. Chem. 1999, 7, 1349–1359. [Google Scholar] [CrossRef]
- Ishikawa, F.; Kosasayama, A.; Yamaguchi, H.; Watanabe, Y.; Saegusa, J.; Shibamura, S.; Sakurna, K.; Ashida, S.; Abiko, Y. Cyclic guanidines. 14. Imidazo[1,2-a]thienopyrimidin-2-one derivatives as blood platelet aggregation inhibitors. J. Med. Chem. 1981, 24, 376–382. [Google Scholar] [CrossRef] [PubMed]
- Ozdemir, A.; Turan-Zitouni, G.; Kaplancıklı, Z.A.; Revial, G.; Guven, K. Synthesis and antimicrobial activity of 1-(4-aryl-2-thiazolyl)-3-(2-thienyl)-5-aryl-2-pyrazoline derivatives. Eur. J. Med. Chem. 2007, 42, 403–409. [Google Scholar] [CrossRef] [PubMed]
- Turan-Zitouni, G.; Ozdemir, A.; Guven, K. Synthesis of some 1[(N,N-disubstitutedthio-carbamoylthio)acetyl]-3-(2-thienyl)-5-aryl-2-prazoline derivatives and investigation of their antibacterial and antifungal activities. Arch. Pharm. 2005, 338, 96–104. [Google Scholar] [CrossRef] [PubMed]
- Flora, F.; Hosni, H.H.; Girgis, A.S. Novel bis(1-acyl-2-pyrazolines)of potential anti-inflammatory and molluscicidal properties. Bioorg. Med. Chem. 2006, 14, 3929–3937. [Google Scholar]
- Gomha, S.M.; Riyadh, S.M.; Abdalla, M.M. Solvent-drop grinding method: Efficient synthesis, DPPH radical scavenging and anti-diabetic activities of chalcones, bis-chalcones, azolines, and bis-azolines. Curr. Org. Synth. 2015, 12, 220–228. [Google Scholar] [CrossRef]
- Kreutzberger, A.; Kolter, K. Antiviral agents. XXVII: Aminomethynylation of 5-oxo-2-pyrazoline-3-carboxylic acid derivatives. Arch. Pharm. 1986, 319, 18–25. [Google Scholar] [CrossRef]
- Shaharyar, M.; Siddiqui, A.A.; Ali, M.M.; Sriram, D.; Yogeeswari, P. Synthesis and in vitro antimycobacterial activity of N1-nicotinoyl-3-(-4′-hydroxy-3′-methyl phenyl)-5-[(sub)phenyl]-2-pyrazolines. Bioorg. Med. Chem. Lett. 2006, 16, 3947–3949. [Google Scholar] [CrossRef] [PubMed]
- Abid, M.; Azam, A. Synthesis, characterization and antimoebic activity of 1-(thiazolo[4,5-b]-quinoxalin-2-yl)-3-phenyl-2-pyrazoline derivatives. Bioorg. Med. Chem. Lett. 2006, 16, 2812–2816. [Google Scholar] [CrossRef] [PubMed]
- Abid, M.; Azam, A. 1-N-substituted thiocarbamoyl-3-phenyl-2-pyrazolines: Synthesis and in vitro antiamoebic activities. Eur. J. Med. Chem. 2005, 40, 935–942. [Google Scholar] [CrossRef] [PubMed]
- Ozdemir, Z.; Kandilci, H.B.; Gumusel, B.; Calis, U.; Bilgin, A.A. Synthesis and studies on antidepressant and anticonvulsant activities of some 3-(2-furyl)-pyrazoline derivatives. Eur. J. Med. Chem. 2007, 42, 373–379. [Google Scholar] [CrossRef] [PubMed]
- Amir, M.; Kumar, H.; Khan, S.A. Synthesis and pharmacological evaluation of pyrazoline derivatives as new anti-inflammatory and analgesic agents. Bioorg. Med. Chem. Lett. 2008, 18, 918–922. [Google Scholar] [CrossRef] [PubMed]
- Karegoudar, P.; Karthikeyan, M.S.; Prasad, D.J.; Mahalinga, M.; Holla, B.S.; Kumari, N.S. Synthesis of some novel 2,4-disubstituted thiazoles as possible antimicrobial agents. Eur. J. Med. Chem. 2008, 43, 261–267. [Google Scholar] [CrossRef] [PubMed]
- Shih, M.H.; Ying, K.F. Syntheses and evaluation of antioxidant activity of sydnonyl substituted thiazolidinone and thiazoline derivatives. Bioorg. Med. Chem. 2004, 12, 4633–4643. [Google Scholar] [CrossRef] [PubMed]
- Shiradkar, M.; Kumar, G.V.S.; Dasari, V.; Tatikonda, S.; Akula, K.C.; Shah, R. Clubbed triazoles A novel approach to antitubercular drugs. Eur. J. Med. Chem. 2007, 42, 807–816. [Google Scholar] [CrossRef] [PubMed]
- Amin, K.M.; Rahman, A.D.E.; Al-Eryani, Y.A. Synthesis and preliminary evaluation of some substituted coumarins as anticonvulsant agents. Bioorg. Med. Chem. 2008, 16, 5377–5388. [Google Scholar] [CrossRef] [PubMed]
- Gomha, S.M.; Riyadh, S.M.; Abbas, I.M.; Bauomi, M.A. Synthetic utility of ethylidene-thiosemicarbazide: Synthesis and and anti-cancer activity of 1,3-thiazines and thiazoles with imidazole moiety. Heterocycles 2013, 87, 341–356. [Google Scholar]
- Gomha, S.M.; Salah, T.A.; Hassaneen, H.M.E.; Abdel-aziz, H.; Khedr, M.A. Synthesis, characterization and molecular docking of novel bioactive thiazolyl-thiazole derivatives as promising cytotoxic antitumor drug. Molecules 2016, 21, 1–17. [Google Scholar] [CrossRef] [PubMed]
- Gomha, S.M.; Riyadh, S.M.; Mahmmoud, E.A.; Elaasser, M.M. Chitosan-grafted-poly(4-vinylpyridine) as a novel copolymer basic catalyst for synthesis of arylazothiazoles and 1,3,4-thiadiazoles under microwave irradiation. Chem. Heterocycl. Comp. 2015, 51, 1030–1038. [Google Scholar] [CrossRef]
- Gomha, S.M.; Khalil, K.D. A convenient ultrasound-promoted synthesis and cytotoxic activity of some new thiazole derivatives bearing a coumarin nucleus. Molecules 2012, 17, 9335–9347. [Google Scholar] [CrossRef] [PubMed]
- Gomha, S.M.; Salah, T.A.; Abdelhamid, A.O. Synthesis, characterization and pharmacological evaluation of some novel thiadiazoles and thiazoles incorporating pyrazole moiety as potent anticancer agents. Monatsh. Chem. 2015, 146, 149–158. [Google Scholar] [CrossRef]
- Gomha, S.M.; Badrey, M.G.; Edrees, M.M. Heterocyclization of a bis-thiosemicarbazone of 2,5-diacetyl-3,4-disubstituted-thieno[2,3-b]thiophenebis-thiosemicarbazones leading to bis-thiazoles and bis-1,3,4-thiadiazoles as anti-breast cancer agents. J. Chem. Res. 2016, 40, 120–125. [Google Scholar] [CrossRef]
- Gomha, S.M.; Zaki, Y.H.; Abdelhamid, A.O. Utility of 3-acetyl-6-bromo-2H-chromen-2-one for synthesis of new heterocycles as potential anticancer agents. Molecules 2015, 20, 21826–21839. [Google Scholar] [CrossRef] [PubMed]
- Dawood, K.M.; Gawad, H.A.; Rageb, E.A.; Ellithey, M.; Mohamed, H.A. Synthesis, anticonvulsant, and anti-inflammatory evaluation of some new benzotriazole and benzofuran-based heterocycles. Bioorg. Med. Chem. 2006, 14, 3672–3680. [Google Scholar] [CrossRef] [PubMed]
- Altalbawy, F.M.A. Synthesis and antimicrobial evaluation of some novel bis-α,β-unsaturated ketones, nicotinonitrile, 1,2-dihydropyridine-3-carbonitrile, fused thieno[2,3-b]pyridine and pyrazolo-[3,4-b] pyridine derivatives. Int. J. Mol. Sci. 2013, 14, 2967–2979. [Google Scholar] [CrossRef] [PubMed]
- Kheder, N.A.; Altalbawy, F.M.A. Synthesis, in vitro antimicrobial, anticancer evaluation of some novel bis-cyanoacrylamide and bis-azoles derivatives. Int. J. Pharm. Pharm. Sci. 2016, 8, 420–427. [Google Scholar]
- Altalbawy, F.M.A. Synthesis, in vitro antimicrobial, anticancer evaluation of some new pyridazines and polyfunctionally substituted heterocyclic compounds. Asian J. Chem. 2015, 27, 4361–4368. [Google Scholar] [CrossRef]
- Altıntop, M.D.; Mohsen, U.; Karaca, A.; Canturk, Z.; Ozdemir, A. Synthesis and Evaluation of bis-pyrazoline Derivatives as Potential Antimicrobial Agents. Lett. Drug Des. Discov. 2014, 11, 1199–1203. [Google Scholar] [CrossRef]
- Abdelhamid, A.O.; Sayed, A.R. Reaction of hydrazonoyl halides 52: Synthesis and antimicrobial activity of some new pyrazolines and 1,3,4-thiadiazolines. Phosphorus Sulfur Silicon 2007, 182, 1767–1777. [Google Scholar] [CrossRef]
- Lima, G.M.; Neto, J.L.; Beraldo, H.; Siebald, H.G.L.; Duncalf, D.J. Structural and spectral studies of thiosemicarbazones derived from 2-acetylthiophene. J. Mol. Struct. 2002, 604, 287–292. [Google Scholar] [CrossRef]
- Benmohammed, A.; Khoumeri, O.; Djafri, A.; Terme, T.; Vanelle, P. Synthesis of novel highly functionalized 4-thiazolidinone derivatives from 4-phenyl-3-thiosemicarbazones. Molecules 2014, 19, 3068–3083. [Google Scholar] [CrossRef] [PubMed]
- Aly, A.A.; Brown, A.B.; Ramadan, M.; Gamal-Eldeen, A.M.; Abdel-Aziz, M.; El-Din, G.; Abuo-Rahma, A.A.; Radwan, M.F. Thieno[2,3-d]pyrimidines in the Synthesis of antitumor and antioxidant agents. Arch. Pharm. Chem. Life Sci. 2010, 343, 301–309. [Google Scholar] [CrossRef] [PubMed]
- Gomha, S.M.; Badrey, M.G. A convenient synthesis of some new thiazole and pyrimidine derivatives incorporating a naphthalene moiety. J. Chem. Res. 2013, 37, 86–90. [Google Scholar] [CrossRef]
- Shawali, A.S.; Gomha, S.M. A new entry for short and regioselective synthesis of [1,2,4]triazolo-[4,3-b][1,2,4]-triazin-7(1H)-ones. Adv. Synth. Catal. 2000, 342, 599–604. [Google Scholar]
- Mosmann, T. Rapid colorimetric assay for cellular growth and survival: Application to proliferation and cytotoxicity assays. J. Immunol. Methods 1983, 65, 55–63. [Google Scholar] [CrossRef]
- Gomha, S.M.; Riyadh, S.M.; Mahmmoud, E.A.; Elasser, M.M. Synthesis and anticancer activities of thiazoles, 1,3-thiazines, and thiazolidine using chitosan-grafted-poly(vinylpyridine) as basic catalyst. Heterocycles 2015, 91, 1227–1243. [Google Scholar]
- Srivastava, S.K.; Jha, A.; Agarwal, S.K.; Mukherjee, R.; Burman, A.C. Synthesis and structure-activity relationships of potent antitumor active quinoline and naphthyridine derivatives. Anti-Cancer Agents Med. Chem. 2007, 7, 685–709. [Google Scholar] [CrossRef]



| Compound No. | R | Ar | IC50 (μM) |
|---|---|---|---|
| 1 | - | - | 4.05 ± 0.17 |
| 3a | Me | C6H5 | 6.29 ± 0.22 |
| 3b | Me | 4-MeC6H4 | 18.2 ± 0.14 |
| 3c | Me | 3-MeC6H4 | 17.6 ± 0.09 |
| 3d | Me | 4-MeOC6H4 | 52.4 ± 0.17 |
| 3e | Me | 4-ClC6H4 | 1.62 ± 0.20 |
| 3f | Me | 4-BrC6H4 | 2.09 ± 0.19 |
| 3g | Me | 4-NO2C6H4 | 1.37 ± 0.15 |
| 3h | C6H5 | C6H5 | 10.49 ± 0.22 |
| 3i | C4H4S | C6H5 | 2.03 ± 0.25 |
| 5a | Me | C6H5 | 5.13 ± 0.09 |
| 5b | Me | 4-MeC6H4 | 14.29 ± 0.22 |
| 5e | Me | 4-ClC6H4 | 1.41 ± 0.17 |
| 5f | Me | 4-BrC6H4 | 1.93 ± 0.08 |
| 8 | - | - | 12.37 ± 0.14 |
| 10 | - | - | 1.86 ± 0.20 |
| Doxorubicin | - | - | 0.72 ± 0.18 |
© 2016 by the authors; licensee MDPI, Basel, Switzerland. This article is an open access article distributed under the terms and conditions of the Creative Commons Attribution (CC-BY) license (http://creativecommons.org/licenses/by/4.0/).
Share and Cite
Gomha, S.M.; Edrees, M.M.; Altalbawy, F.M.A. Synthesis and Characterization of Some New Bis-Pyrazolyl-Thiazoles Incorporating the Thiophene Moiety as Potent Anti-Tumor Agents. Int. J. Mol. Sci. 2016, 17, 1499. https://doi.org/10.3390/ijms17091499
Gomha SM, Edrees MM, Altalbawy FMA. Synthesis and Characterization of Some New Bis-Pyrazolyl-Thiazoles Incorporating the Thiophene Moiety as Potent Anti-Tumor Agents. International Journal of Molecular Sciences. 2016; 17(9):1499. https://doi.org/10.3390/ijms17091499
Chicago/Turabian StyleGomha, Sobhi M., Mastoura M. Edrees, and Farag M. A. Altalbawy. 2016. "Synthesis and Characterization of Some New Bis-Pyrazolyl-Thiazoles Incorporating the Thiophene Moiety as Potent Anti-Tumor Agents" International Journal of Molecular Sciences 17, no. 9: 1499. https://doi.org/10.3390/ijms17091499
APA StyleGomha, S. M., Edrees, M. M., & Altalbawy, F. M. A. (2016). Synthesis and Characterization of Some New Bis-Pyrazolyl-Thiazoles Incorporating the Thiophene Moiety as Potent Anti-Tumor Agents. International Journal of Molecular Sciences, 17(9), 1499. https://doi.org/10.3390/ijms17091499

