Regulatory Cell Populations in Relapsing-Remitting Multiple Sclerosis (RRMS) Patients: Effect of Disease Activity and Treatment Regimens
Abstract
:1. Introduction
2. Results
2.1. CD4+CD25highFoxp3+ T-Cells (nTregs) in RRMS
2.2. Other Regulatory Cell Populations in RRMS
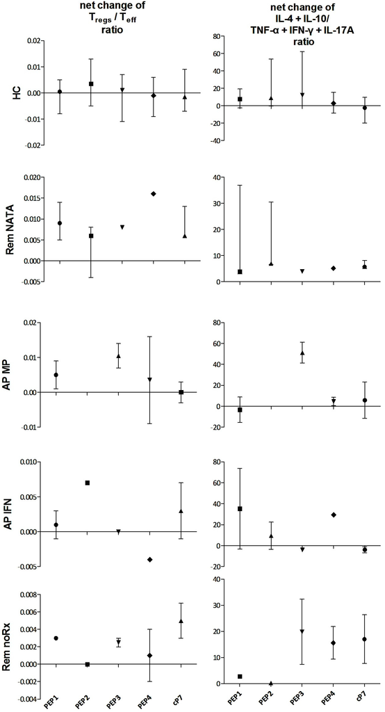
2.3. Effect of Culture with Peptides on Regulatory Cell Function
3. Discussion
4. Materials and Methods
4.1. Study Subjects
4.2. Cells and Cultures
4.3. Peptides Mapping to MOG and MBP Myelin Antigens
4.4. Flow Cytometry
4.5. Cytokines Measured in Culture Supernatants
4.6. Statistical Analysis
5. Conclusions
Acknowledgments
Author Contributions
Conflicts of Interest
References
- Compston, A.; Coles, A. Multiple sclerosis. Lancet 2008, 372, 1502–1517. [Google Scholar] [CrossRef]
- Chao, M.J.; Ramagopalan, S.V.; Herrera, B.M.; Orton, S.M.; Handunnetthi, L.; Lincoln, M.R.; Dyment, D.A.; Sadovnick, A.D.; Ebers, G.C. MHC transmission: Insights into gender bias in MS susceptibility. Neurology 2011, 76, 242–246. [Google Scholar] [CrossRef] [PubMed]
- Lublin, F.D.; Reingold, S.C. Defining the clinical course of multiple sclerosis: Results of an international survey. National multiple sclerosis society (USA) advisory committee on clinical trials of new agents in multiple sclerosis. Neurology 1996, 46, 907–911. [Google Scholar] [CrossRef] [PubMed]
- Mouzaki, A.; Tselios, T.; Papathanassopoulos, P.; Matsoukas, I.; Chatzantoni, K. Immunotherapy for multiple sclerosis: Basic insights for new clinical strategies. Curr. Neurovasc. Res. 2004, 1, 325–340. [Google Scholar] [CrossRef] [PubMed]
- Frohman, E.M.; Racke, M.K.; Raine, C.S. Multiple sclerosis-the plaque and its pathogenesis. N. Engl. J. Med. 2006, 354, 942–955. [Google Scholar] [CrossRef] [PubMed]
- Romagnani, S. Human Th17 cells. Arthritis Res. Ther. 2008, 10, 206. [Google Scholar] [CrossRef] [PubMed]
- Von Büdingen, H.C.; Palanichamy, A.; Lehmann-Horn, K.; Michel, B.A.; Zamvil, S.S. Update on the autoimmune pathology of multiple sclerosis: B-cells as disease-drivers and therapeutic targets. Eur. Neurol. 2015, 73, 238–246. [Google Scholar] [CrossRef] [PubMed]
- Zozulya, A.L.; Wiendl, H. The role of regulatory T cells in multiple sclerosis. Nat. Clin. Pract. Neurol. 2008, 4, 384–398. [Google Scholar] [CrossRef] [PubMed]
- Costantino, C.M.; Baecher-Allan, C.; Hafler, D.A. Multiple sclerosis and regulatory T cells. J. Clin. Immunol. 2008, 28, 697–706. [Google Scholar] [CrossRef] [PubMed]
- Chatzantoni, K.; Mouzaki, A. Immunomodulation in the nervous and vascular systems during inflammation and autoimmunity: The role of T regulatory cells. In Neurovascular Medicine; Maiese, K., Ed.; Oxford University Press: New York, NY, USA, 2009; pp. 345–366. [Google Scholar]
- Suzuki, M.; Konya, C.; Goronzy, J.J.; Weyand, C.M. Inhibitory CD8+ T cells in autoimmune disease. Hum. Immunol. 2008, 69, 781–789. [Google Scholar] [CrossRef] [PubMed]
- Passerini, L.; Allan, S.E.; Battaglia, M.; di Nunzio, S.; Alstad, A.N.; Levings, M.K.; Roncarolo, M.G.; Bacchetta, R. STAT5-signaling cytokines regulate the expression of FOXP3 in CD4+CD25+ regulatory T cells and CD4+CD25− effector T cells. Int. Immunol. 2008, 20, 421–431. [Google Scholar] [CrossRef] [PubMed]
- Roncarolo, M.G.; Gregori, S. Is FOXP3 a bona fide marker for human regulatory T cells? Eur. J. Immunol. 2008, 38, 925–927. [Google Scholar] [CrossRef] [PubMed]
- Feger, U.; Tolosa, E.; Huang, Y.H.; Waschbisch, A.; Biedermann, T.; Melms, A.; Wiendl, H. HLA-G expression defines a novel regulatory T-cell subset present in human peripheral blood and sites of inflammation. Blood 2007, 110, 568–577. [Google Scholar] [CrossRef] [PubMed]
- Tard, C.; Rouxel, O.; Lehuen, A. Regulatory role of natural killer T cells in diabetes. Biomed. J. 2015, 38, 484–495. [Google Scholar] [CrossRef] [PubMed]
- Laroni, A.; Armentani, E.; Kerlero de Rosbo, N.; Ivaldi, F.; Marcenaro, E.; Sivori, S.; Gandhi, R.; Weiner, H.L.; Moretta, A.; Mancardi, G.L.; et al. Dysregulation of regulatory CD56bright NK cells/T cells interactions in multiple sclerosis. J. Autoimmun. 2016. [Google Scholar] [CrossRef] [PubMed]
- Putheti, P.; Pettersson, A.; Soderstrom, M.; Link, H.; Huang, Y.M. Circulating CD4+CD25+ T regulatory cells are not altered in multiple sclerosis and unaffected by disease-modulating drugs. J. Clin. Immunol. 2004, 24, 155–161. [Google Scholar] [CrossRef] [PubMed]
- Viglietta, V.; Baecher-Allan, C.; Weiner, H.L.; Hafler, D.A. Loss of functional suppression by CD4+CD25+ regulatory T cells in patients with multiple sclerosis. J. Exp. Med. 2004, 199, 971–979. [Google Scholar] [CrossRef] [PubMed]
- Haas, J.; Hug, A.; Viehover, A.; Fritzsching, B.; Falk, C.S.; Filser, A.; Vetter, T.; Milkova, L.; Korporal, M.; Fritz, B.; et al. Reduced suppressive effect of CD4+CD25high regulatory T cells on the T cell immune response against myelin oligodendrocyte glycoprotein in patients with multiple sclerosis. Eur. J. Immunol. 2005, 35, 3343–3352. [Google Scholar] [CrossRef] [PubMed]
- Huan, J.; Culbertson, N.; Spencer, L.; Bartholomew, R.; Burrows, G.G.; Chou, Y.K.; Bourdette, D.; Ziegler, S.F.; Offner, H.; Vandenbark, A.A. Decreased FOXP3 levels in multiple sclerosis patients. J. Neurosci. Res. 2005, 81, 45–52. [Google Scholar] [CrossRef] [PubMed]
- Stenner, M.P.; Waschbisch, A.; Buck, D.; Doerck, S.; Einsele, H.; Toyka, K.V.; Wiendl, H. Effects of natalizumab treatment on Foxp3+ T regulatory cells. PLoS ONE 2008, 3, e3319. [Google Scholar] [CrossRef] [PubMed]
- Venken, K.; Hellings, N.; Thewissen, M.; Somers, V.; Hensen, K.; Rummens, J.L.; Medaer, R.; Hupperts, R.; Stinissen, P. Compromised CD4+CD25high regulatory T-cell function in patients with relapsing-remitting multiple sclerosis is correlated with a reduced frequency of FOXP3-positive cells and reduced FOXP3 expression at the single-cell level. Immunology 2008, 123, 79–89. [Google Scholar] [CrossRef] [PubMed]
- DallaLibera, D.; di Mitri, D.; Bergami, A.; Centonze, D.; Gasperini, C.; Grasso, M.G.; Galgani, S.; Martinelli, V.; Comi, G.; Avolio, C.; et al. T regulatory cells are markers of disease activity in multiple sclerosis patients. PLoS ONE 2011, 6, e21386. [Google Scholar] [CrossRef] [PubMed]
- Korporal, M.; Haas, J.; Balint, B.; Fritzsching, B.; Schwarz, A.; Moeller, S.; Fritz, B.; Suri-Payer, E.; Wildemann, B. Interferon beta-induced restoration of regulatory T-cell function in multiple sclerosis is prompted by an increase in newly generated naive regulatory T cells. Arch. Neurol. 2008, 65, 1434–1439. [Google Scholar] [CrossRef] [PubMed]
- Saresella, M.; Marventano, I.; Longhi, R.; Lissoni, F.; Trabattoni, D.; Mendozzi, L.; Caputo, D.; Clerici, M. CD4+CD25+Foxp3+PD1− regulatory T cells in acute and stable relapsing-remitting multiple sclerosis and their modulation by therapy. FASEB J. 2008, 22, 3500–3508. [Google Scholar] [CrossRef] [PubMed]
- Aristimuno, C.; de Andres, C.; Bartolome, M.; de las Heras, V.; Martinez-Gines, M.L.; Arroyo, R.; Fernandez-Cruz, E.; Sanchez-Ramon, S. IFNβ-1a therapy for multiple sclerosis expands regulatory CD8+ T cells and decreases memory CD8+ subset: A longitudinal 1-year study. Clin. Immunol. 2009, 134, 148–157. [Google Scholar] [CrossRef] [PubMed]
- Namdar, A.; Nikbin, B.; Ghabaee, M.; Bayati, A.; Izad, M. Effect of IFN-β therapy on the frequency and function of CD4+CD25+ regulatory T cells and Foxp3 gene expression in relapsing-remitting multiple sclerosis (RRMS): A preliminary study. J. Neuroimmunol. 2010, 218, 120–124. [Google Scholar] [CrossRef] [PubMed]
- Chen, M.; Chen, G.; Deng, S.; Liu, X.; Hutton, G.J.; Hong, J. IFN-β induces the proliferation of CD4+CD25+Foxp3+ regulatory T cells through upregulation of GITRL on dendritic cells in the treatment of multiple sclerosis. J. Neuroimmunol. 2012, 242, 39–46. [Google Scholar] [CrossRef] [PubMed]
- Navarro, J.; Aristimuno, C.; Sanchez-Ramon, S.; Vigil, D.; Martinez-Gines, M.L.; Fernandez-Cruz, E.; de Andres, C. Circulating dendritic cells subsets and regulatory T-cells at multiple sclerosis relapse: Differential short-term changes on corticosteroids therapy. J. Neuroimmunol. 2006, 176, 153–161. [Google Scholar] [CrossRef] [PubMed]
- Xu, L.; Xu, Z.; Xu, M. Glucocorticoid treatment restores the impaired suppressive function of regulatory T cells in patients with relapsing-remitting multiple sclerosis. Clin. Exp. Immunol. 2009, 158, 26–30. [Google Scholar] [CrossRef] [PubMed]
- Lindberg, R.L.; Achtnichts, L.; Hoffmann, F.; Kuhle, J.; Kappos, L. Natalizumab alters transcriptional expression profiles of blood cell subpopulations of multiple sclerosis patients. J. Neuroimmunol. 2008, 194, 153–164. [Google Scholar] [CrossRef] [PubMed]
- Polman, C.H.; O’Connor, P.W.; Havrdova, E.; Hutchinson, M.; Kappos, L.; Miller, D.H.; Phillips, J.T.; Lublin, F.D.; Giovannoni, G.; Wajgt, A.; et al. A randomized, placebo-controlled trial of natalizumab for relapsing multiple sclerosis. N. Engl. J. Med. 2006, 354, 899–910. [Google Scholar] [CrossRef] [PubMed]
- Rudick, R.A.; Stuart, W.H.; Calabresi, P.A.; Confavreux, C.; Galetta, S.L.; Radue, E.W.; Lublin, F.D.; Weinstock-Guttman, B.; Wynn, D.R.; Lynn, F.; et al. Natalizumab plus interferon β-1a for relapsing multiple sclerosis. N. Engl. J. Med. 2006, 354, 911–923. [Google Scholar] [CrossRef] [PubMed]
- Baecher-Allan, C.; Viglietta, V.; Hafler, D.A. Human CD4+CD25+ regulatory T cells. Semin. Immunol. 2004, 16, 89–98. [Google Scholar] [CrossRef] [PubMed]
- Borsellino, G.; Kleinewietfeld, M.; di Mitri, D.; Sternjak, A.; Diamantini, A.; Giometto, R.; Hopner, S.; Centonze, D.; Bernardi, G.; Dell’Acqua, M.L.; et al. Expression of ectonucleotidase CD39 by Foxp3+ Treg cells: Hydrolysis of extracellular ATP and immune suppression. Blood 2007, 110, 1225–1232. [Google Scholar] [CrossRef] [PubMed]
- Michel, L.; Berthelot, L.; Pettre, S.; Wiertlewski, S.; Lefrere, F.; Braudeau, C.; Brouard, S.; Soulillou, J.P.; Laplaud, D.A. Patients with relapsing-remitting multiple sclerosis have normal Treg function when cells expressing IL-7 receptor α-chain are excluded from the analysis. J. Clin. Investig. 2008, 118, 3411–3419. [Google Scholar] [CrossRef] [PubMed]
- Bjerg, L.; Brosbol-Ravnborg, A.; Torring, C.; Dige, A.; Bundgaard, B.; Petersen, T.; Hollsberg, P. Altered frequency of T regulatory cells is associated with disability status in relapsing-remitting multiple sclerosis patients. J. Neuroimmunol. 2012, 249, 76–82. [Google Scholar] [CrossRef] [PubMed]
- De Andres, C.; Aristimuno, C.; de Las Heras, V.; Martinez-Gines, M.L.; Bartolome, M.; Arroyo, R.; Navarro, J.; Gimenez-Roldan, S.; Fernandez-Cruz, E.; Sanchez-Ramon, S. Interferon beta-1a therapy enhances CD4+ regulatory T-cell function: An ex vivo and in vitro longitudinal study in relapsing-remitting multiple sclerosis. J. Neuroimmunol. 2007, 182, 204–211. [Google Scholar] [CrossRef] [PubMed]
- Ramos-Cejudo, J.; Oreja-Guevara, C.; Stark Aroeira, L.; Rodriguez de Antonio, L.; Chamorro, B.; Diez-Tejedor, E. Treatment with natalizumab in relapsing-remitting multiple sclerosis patients induces changes in inflammatory mechanism. J. Clin. Immunol. 2011, 31, 623–631. [Google Scholar] [CrossRef] [PubMed]
- Mouzaki, A.; Koutsokera, M.; Dervilli, Z.; Rodi, M.; Kalavrizioti, D.; Dimisianos, N.; Matsoukas, I.; Papathanasopoulos, P. Remitting-relapsing multiple sclerosis patient refractory to conventional treatments and bone marrow transplantation who responded to natalizumab. Int. J. Gen. Med. 2010, 3, 313–320. [Google Scholar] [CrossRef] [PubMed]
- Feger, U.; Luther, C.; Poeschel, S.; Melms, A.; Tolosa, E.; Wiendl, H. Increased frequency of CD4+CD25+ regulatory T cells in the cerebrospinal fluid but not in the blood of multiple sclerosis patients. Clin. Exp. Immunol. 2007, 147, 412–418. [Google Scholar] [CrossRef] [PubMed]
- Fritzsching, B.; Haas, J.; Konig, F.; Kunz, P.; Fritzsching, E.; Poschl, J.; Krammer, P.H.; Bruck, W.; Suri-Payer, E.; Wildemann, B. Intracerebral human regulatory T cells: Analysis of CD4+CD25+FOXP3+ T cells in brain lesions and cerebrospinal fluid of multiple sclerosis patients. PLoS ONE 2011, 6, e17988. [Google Scholar] [CrossRef] [PubMed]
- Penton-Rol, G.; Cervantes-Llanos, M.; Cabrera-Gomez, J.A.; Alonso-Ramirez, R.; Valenzuela-Silva, C.; Rodriguez-Lara, R.; Montero-Casimiro, E.; Bello-Rivero, I.; Lopez-Saura, P. Treatment with type I interferons induces a regulatory T cell subset in peripheral blood mononuclear cells from multiple sclerosis patients. Int. Immunopharmacol. 2008, 8, 881–886. [Google Scholar] [CrossRef] [PubMed]
- Huang, Y.H.; Zozulya, A.L.; Weidenfeller, C.; Schwab, N.; Wiendl, H. T cell suppression by naturally occurring HLA-G-expressing regulatory CD4+ T cells is IL-10-dependent and reversible. J. Leukoc. Biol. 2009, 86, 273–281. [Google Scholar] [CrossRef] [PubMed]
- Tennakoon, D.K.; Mehta, R.S.; Ortega, S.B.; Bhoj, V.; Racke, M.K.; Karandikar, N.J. Therapeutic induction of regulatory, cytotoxic CD8+ T cells in multiple sclerosis. J. Immunol. 2006, 176, 7119–7129. [Google Scholar] [CrossRef] [PubMed]
- Gonsette, R.E. Self-tolerance in multiple sclerosis. Acta Neurol. Belg. 2012, 112, 133–140. [Google Scholar] [CrossRef] [PubMed]
- Bielekova, B. Daclizumab therapy for multiple sclerosis. Neurotherapeutics 2013, 10, 55–67. [Google Scholar] [CrossRef] [PubMed]
- Polman, C.H.; Reingold, S.C.; Edan, G.; Filippi, M.; Hartung, H.P.; Kappos, L.; Lublin, F.D.; Metz, L.M.; McFarland, H.F.; O’Connor, P.W.; et al. Diagnostic criteria for multiple sclerosis: 2005 revisions to the “McDonald Criteria”. Ann. Neurol. 2005, 58, 840–846. [Google Scholar] [CrossRef] [PubMed]
- Kurtzke, J.F. Rating neurologic impairment in multiple sclerosis: An expanded disability status scale (EDSS). Neurology 1983, 33, 1444–1452. [Google Scholar] [CrossRef] [PubMed]
- Tseveleki, V.; Tselios, T.; Kanistras, I.; Koutsoni, O.; Karamita, M.; Vamvakas, S.S.; Apostolopoulos, V.; Dotsika, E.; Matsoukas, J.; Lassmann, H.; et al. Mannan-conjugated myelin peptides prime non-pathogenic Th1 and Th17 cells and ameliorate experimental autoimmune encephalomyelitis. Exp. Neurol. 2015, 267, 254–267. [Google Scholar] [CrossRef] [PubMed]
- Deraos, G.; Chatzantoni, K.; Matsoukas, M.T.; Tselios, T.; Deraos, S.; Katsara, M.; Papathanasopoulos, P.; Vynios, D.; Apostolopoulos, V.; Mouzaki, A.; et al. Citrullination of linear and cyclic altered peptide ligands from myelin basic protein (MBP(87–99)) epitope elicits a Th1 polarized response by T cells isolated from multiple sclerosis patients: Implications in triggering disease. J. Med. Chem. 2008, 51, 7834–7842. [Google Scholar] [CrossRef] [PubMed]








| Group | N (M/F) | Age (Years) | Disease Duration (Years) | EDSS |
|---|---|---|---|---|
| HC | 45 (19/26) | 36.31 ± 9.26 | NA | NA |
| RRMS patients | 83 (33/50) | 37.53 ± 10.65 | 4.31 ± 3.80 | 2.41 ± 1.89 |
| AP-noRx | 13 (4/9) | 35.54 ± 9.46 | 1.76 ± 2.66 | 1.61 ± 1.74 |
| AP-MP | 17 (8/9) | 32.82 ± 10.32 | 1.13 ± 1.55 | 1.55 ± 1.23 |
| AP-IFN | 12 (4/8) | 33.75 ± 9.03 | 3.62 ± 1.79 | 2.83 ± 1.55 |
| Rem-noRx | 15 (6/9) | 42.47 ± 13.44 | 5.75 ± 3.86 | 2.36 ± 2.09 |
| Rem-NATA | 26 (11/15) | 39.35 ± 8.71 | 6.93 ± 3.24 | 3.34 ± 1.82 |
| Peptide | Description | Sequence |
|---|---|---|
| PEP1 | Rat MOG35–55 epitope conjugated with oxidized mannan | H–Met35–Glu–Val–Gly–Trp–Tyr–Arg–Ser–Pro–Phe–Ser–Arg–Val–Val–His–Leu–Tyr–Arg–Asn–Gly–Lys55–OH |
| PEP2 | Rat MOG35–55 epitope conjugated with reduced mannan | |
| PEP3 | Human MOG35–55 epitope conjugated with oxidized mannan | H–Met35–Glu–Val–Gly–Trp–Tyr–Arg–Pro–Pro–Phe–Ser–Arg–Val–Val–His–Leu–Tyr–Arg–Asn–Gly–Lys55–OH |
| PEP4 | Human MOG35–55 epitope conjugated with reduced mannan | |
| cP7 | Citrullinated human MBP87–99 epitope: Cyclo(87–99) [Cit91, Ala96, Cit97] MBP87–99 | Cyclo(87–99) Val–His–Phe–Phe–Cit91–Asn–Ile–Val–Thr–Ala96–Cit97–Thr–Pro |
© 2016 by the authors; licensee MDPI, Basel, Switzerland. This article is an open access article distributed under the terms and conditions of the Creative Commons Attribution (CC-BY) license (http://creativecommons.org/licenses/by/4.0/).
Share and Cite
Rodi, M.; Dimisianos, N.; De Lastic, A.-L.; Sakellaraki, P.; Deraos, G.; Matsoukas, J.; Papathanasopoulos, P.; Mouzaki, A. Regulatory Cell Populations in Relapsing-Remitting Multiple Sclerosis (RRMS) Patients: Effect of Disease Activity and Treatment Regimens. Int. J. Mol. Sci. 2016, 17, 1398. https://doi.org/10.3390/ijms17091398
Rodi M, Dimisianos N, De Lastic A-L, Sakellaraki P, Deraos G, Matsoukas J, Papathanasopoulos P, Mouzaki A. Regulatory Cell Populations in Relapsing-Remitting Multiple Sclerosis (RRMS) Patients: Effect of Disease Activity and Treatment Regimens. International Journal of Molecular Sciences. 2016; 17(9):1398. https://doi.org/10.3390/ijms17091398
Chicago/Turabian StyleRodi, Maria, Nikolaos Dimisianos, Anne-Lise De Lastic, Panagiota Sakellaraki, George Deraos, John Matsoukas, Panagiotis Papathanasopoulos, and Athanasia Mouzaki. 2016. "Regulatory Cell Populations in Relapsing-Remitting Multiple Sclerosis (RRMS) Patients: Effect of Disease Activity and Treatment Regimens" International Journal of Molecular Sciences 17, no. 9: 1398. https://doi.org/10.3390/ijms17091398
APA StyleRodi, M., Dimisianos, N., De Lastic, A.-L., Sakellaraki, P., Deraos, G., Matsoukas, J., Papathanasopoulos, P., & Mouzaki, A. (2016). Regulatory Cell Populations in Relapsing-Remitting Multiple Sclerosis (RRMS) Patients: Effect of Disease Activity and Treatment Regimens. International Journal of Molecular Sciences, 17(9), 1398. https://doi.org/10.3390/ijms17091398

