Abstract
The alternative sigma factor RpoN regulates many cell functions, such as motility, quorum sensing, and virulence in the opportunistic pathogen Pseudomonas aeruginosa (P. aeruginosa). P. aeruginosa often evolves rpoN-negative variants during the chronic infection in cystic fibrosis patients. It is unclear how RpoN interacts with other regulatory mechanisms to control virulence of P. aeruginosa. In this study, we show that RpoN modulates the function of PqsR, a quorum sensing receptor regulating production of virulence factors including the phenazine pyocyanin. The ∆rpoN mutant is able to synthesize 4-quinolone signal molecule HHQ but unable to activate PqsR and Pseudomonas quinolone signal (pqs) quorum sensing. The ∆rpoN mutant produces minimal level of pyocyanin and is unable to produce the anti-staphylococcal agents. Providing pqsR in trans in the ∆rpoN mutant restores its pqs quorum sensing and virulence factor production to the wild-type level. Our study provides evidence that RpoN has a regulatory effect on P. aeruginosa virulence through modulating the function of the PqsR quorum sensing regulator.
1. Introduction
Bacterial chronic infections raise a huge burden for public health today, which significantly prolong hospitalization period and increase treatment costs. It is well known that bacteria are able to adapt their genome and physiology during chronic infections [,,]. For example, the opportunistic pathogen Pseudomonas aeruginosa (P. aeruginosa) is able to colonize in the airway of cystic fibrosis (CF) patient for decades []. Colonization in CF patients has a high frequency to select for mutations in lasR, pvdS, mucA, and rpoN genes of the P. aeruginosa genome [,]. Understanding how these genetic adaptations affect the bacterial physiology and the microbial ecology is essential for development of strategies for infection control.
One major feature of P. aeruginosa CF adaptation is the reduction of virulence. P. aeruginosa employs the cell-to-cell communication (quorum sensing) to regulate expression of a large set of virulence genes such as genes required for the synthesis of pyocyanin, elastase, proteases and iron siderophore pyoverdine [,]. Mutations in lasR and pvdS of CF isolates abolish the las quorum sensing and siderophore synthesis, respectively, and thus reduce P. aeruginosa virulence [,]. Mutations in mucA and rpoN genes of CF isolates are believed to be more important for the adaptive response of P. aeruginosa towards the host immune systems. The mucA mutation of CF P. aeruginosa isolates leads to conversion from non-mucoid to mucoid phenotype, characterized by an over production of the alginate polysaccharide []. Large amounts of alginate produced by the mucA mutants provide protection to the bacterial cells against the phagocytic cells []. The rpoN mutation of CF P. aeruginosa isolates leads to deficiency in surface pilus, flagellum synthesis and their mediated motilities [], which confers the immune evasion capacity of the P. aeruginosa [,].
The rpoN mutation has a profound impact on P. aeruginosa by affecting metabolism, motility, biofilm formation and quorum sensing [,]. It is unclear how RpoN regulates quorum sensing genes in P. aeruginosa and whether this is going to affect the microbial ecology of CF lungs. Here, we showed that RpoN modulates the functions of the quorum sensing receptor PqsR, which determines the Pseudomonas quinolone signal (pqs) quorum sensing-regulated virulence factors and biofilm formation.
2. Results
2.1. RpoN Regulates P. aeruginosa pqs Quorum Sensing via PqsR
The ∆rpoN mutant is well known to be deficient in pyocyanin production, which is under direct control by the Pseudomonas quinolone signal (pqs)-mediated quorum sensing mechanism []. In the pqs quorum sensing system, auto-induction of the pqsABCDE operon is driven by the PqsR, which is known to bind to the pqsA promoter and induce its transcription in the presence of the 2-heptyl-3-hydroxy-4(1H)-quinolone (PQS) or 4-hydroxy-2-heptylquinoline (HHQ) []. To elucidate the regulatory role of RpoN on the pqs quorum sensing mechanism, we monitored the expression of the pqsA promoter-gfp fusion ppqsA-gfp in wild-type PAO1, ∆rpoN mutant and the ∆rpoNCOM complementary strain. We observed that the expression level of the ppqsA-gfp fusion in the ∆rpoN mutant is significantly lower compared to that in the wild-type PAO1 and the ∆rpoNCOM complementary strain (Figure 1A). HPLC analysis showed that the ∆rpoN mutant produced similar level of HHQ compared to the PAO1 (Figure 1B), confirming that the pqsABCDE operon is functional in the ∆rpoN mutant.
Furthermore, we found that addition of synthesized PQS to the ∆rpoN mutant was unable to affect the expression of the ppqsA-gfp fusion in the ∆rpoN mutant (Figure 1A), which indicates that there might be no functional PqsR in the ∆rpoN mutant. We thus evaluated the effect of over-expressing pqsR on the pqs signaling of the ∆rpoN mutant. Overexpressing pqsR under the lac promoter in a pME6032-pqsR vector in the ∆rpoN mutant restored its pqs signaling (Figure 1A). We also investigated the regulation of RpoN on pqs signaling using P. aeruginosa strains from another background mPAO1 and obtained similar results (Figure S1).
2.2. RpoN Regulates Virulence Factors and Interspecies Competition through pqs Signaling
The pqs quorum sensing regulates expression of virulence genes (e.g., pyocyanin biosynthesis genes) and mediates interspecies interactions and biofilm formation [,,,]. We then further examined whether RpoN affects these phenotypes in a pqs-dependent manner. Pyocyanin quantification assay showed that the ∆rpoN mutant produced much less pyocyanin compared to the wild-type PAO1 (Figure 2A). The deficiency in pyocyanin production of the ∆rpoN mutant was restored by both rpoN complementation and pqsR overexpression (Figure 2A). The control vector pME6032 has negligible effect on the pyocyanin production of the ∆rpoN mutant (Figure 2A).

Figure 1.
Regulation of pqs quorum sensing by RpoN. (A) Induction of ppqsA-gfp transcriptional fusion in PAO1 wild-type, ΔrpoN, ΔrpoNCOM, ΔrpoN/pME6032-pqsR and ΔrpoN + PQS (2-heptyl-3-hydroxy-4(1H)-quinolone). Cultures were monitored for their gfp fluorescent protein (GFP) fluorescence by using a Magellen Tecan® Infinite 200 PRO microplate reader. Means and standard deviations (S.D.) in relative fluorescence units (RFU) from triplicate experiments are shown; (B) High-performance liquid chromatography (HPLC) analysis of HHQ (4-hydroxy-2-heptylquinoline) production by PAO1, ΔrpoN, ΔrpoNCOM, ΔrpoN/pME6032-pqsR, ΔrpoN/pME6032 and ΔpqsR. Means and S.D. from triplicate experiments are shown.

Figure 2.
(A) Pyocyanin produced by PAO1 wild-type, ∆rpoN, ΔrpoNCOM, ∆rpoN/pME6032-pqsR and ΔrpoN/pME6032 was determined by the chloroform extraction method. Means and S.D. from triplicate experiments are shown. Pyocyanin absorbance at OD520 nm was normalized by culture cell density OD600 nm. Student’s t-test was performed for testing differences between groups. * p ≤ 0.05; (B) Inhibition of the growth of Staphylococcus aureus 15981 by (i) PAO1; (ii) ∆rpoN; (iii) ΔrpoNCOM; and (iv) ΔrpoN/pME6032-pqsR on LB agar plates. White arrows indicate the inhibitory zones of growth.
Interspecies interactions play an important role during the progression of diseases, as most of the infections are polymicroibal in nature. P. aeruginosa coexists with many other microbial species during CF infections. One of the other dominant species in the CF airway is Staphylococcus aureus (S. aureus). P. aeruginosa was shown to inhibit Staphylococcus growth via the pqs quorum sensing-dependent mechanism [,]. We examined the impact of rpoN mutation on interactions between P. aeruginosa and S. aureus. We found that unlike the wild-type PAO1, the ∆rpoN mutant could not inhibit the growth of S. aureus in the plate growth assay (Figure 2B). The ∆rpoNCOM complementation strain and the pqsR overexpressing ∆rpoN/pME6032-pqsR strain restored the capacity of the ∆rpoN mutant to inhibit the growth of S. aureus on LB agar plates (Figure 2B). We also examined the impact of rpoN mutation on interactions between P. aeruginosa and S. aureus in biofilm co-cultures. Similarly, we found that the ∆rpoN mutant gained less fitness against S. aureus in biofilm co-cultures compared to the PAO1 strain (Figure 3A,B). The ∆rpoNCOM complementation strain had similar fitness to the PAO1 wild-type against the S. aureus in biofilm co-cultures. However, pqsR overexpression in the ∆rpoN mutant only partially restored its fitness against S. aureus in biofilm co-cultures (Figure 3A,B). This suggests that other factors regulated by RpoN but not by PqsR might play a role in competition between P. aeruginosa and S. aureus in biofilm co-cultures.

Figure 3.
(A) Images of biofilm co-cultures of S. aureus 15981/pSB2019 with (i) PAO1; (ii) ∆rpoN; (iii) ΔrpoNCOM and (iv) ΔrpoN/pME6032-pqsR, respectively. S. aureus 15981/pSB2019 appeared green due to GFP expression whereas P. aeruginosa strains were stained with red fluorescent dye CYTO62 used to generate the simulated 3D images (Bitplane, AG). Scale bar, 20 μm; (B) Biomass ratios of S. aureus to P. aeruginosa strains from different biofilm co-cultures were calculated using Imaris and shown in the histogram. Means and S.D. from triplicate experiments are shown. Student’s t-test was performed for testing differences between groups. * p ≤ 0.05.
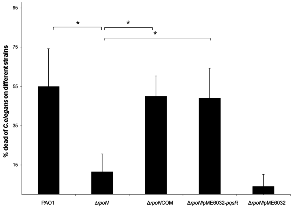
2.3. RpoN Mediates Killing of Caenorhabditis elegans through pqs Quorum Sensing
P. aeruginosa is able to kill Caenorhabditis elegans (C. elegans) using RpoN-regulated virulence products [], we further examined whether pqs quorum sensing is involved in the RpoN-mediated killing of C. elegans by P. aeruginosa. As we expected, the death rate of C. elegans was much lower in the ΔrpoN mutant compared to the wild-type PAO1 strain (Figure 4). ΔrpoN mutants complemented with plasmids carrying either rpoN gene or pqsR gene restored its virulence against C. elegans (Figure 4). The death rate of C. elegans caused by ∆rpoNCOM and ΔrpoN/pME6032-pqsR strains was similar but slightly lower than that of the wild-type PAO1 strain. The ΔrpoN mutant carrying pME6032 control vector expressed basal level of virulence only. These results are in accordance with the results we observed from pyocyanin quantification and ppqsA-gfp induction assay, suggesting that RpoN regulates virulence through PqsR.

Figure 4.
Death rates of Caenorhabditis elegans (C. elegans) growing on the lawn of different P. aeruginosa strains on agar plates. Means and S.D. from six replicates are shown. One-way ANOVA was performed for testing differences between groups. * p ≤ 0.05.
2.4. Discussion
RpoN (σ54) is a conserved regulator in the bacterial kingdom that plays essential roles in regulating metabolism, motility and virulence of different species [,]. ∆rpoN mutants are selected during chronic adaptation of P. aeruginosa in the CF airways []. One of the reasons for this evolutionary trait is that the ∆rpoN mutant is able to escape the phagocytosis because of its deficiency in motility [,]. Another reason that rpoN mutation might be selected is due to the fact that the ∆rpoN mutant downregulates its virulence, which is also an important adaptation strategy for chronic CF infections [,]. It is unclear how RpoN regulates virulence in P. aeruginosa.
In the present study, we demonstrated that RpoN is able to regulate virulence factors via modulating the pqs quorum sensing. Specifically, our results suggest that PqsR is controlled by RpoN, which is in accordance with a recent study showing that RpoN binds with the pqsR sequence via ChIP-seq analysis [].
Recent evidence suggested that nutrient clues could modulate pqs quorum sensing post-transcriptionally through the PqsR. For example, under oxygen limiting condition, the transcriptional regulator Anr is able to activate expression of the small non-coding RNA PhrS, which further stimulates translation of pqsR and activate pqs quorum sensing []. The small non-coding RNA CrcZ, which is required for sequester of the RNA-binding catabolite repression control protein Crc and Hfq in Pseudomonas, was also shown by us and others to negatively control pqs quorum sensing []. Hfq was shown to be able to bind to and stabilize the small non-coding RNA RsmY, which leads to abrogate of the RsmA, a global RNA-binding posttranscriptional regulator that can repress quorum sensing in P. aeruginosa []. Further studies should be carried out to investigate the roles of PhrS and CrcZ in mediating the regulation of RpoN on pqs quorum sensing in P. aeruginosa as well as in other species.
3. Experimental Section
3.1. Bacterial Strains, Plasmids, and Growth Conditions
Bacterial strains and plasmid vectors used in this study are listed in Table 1.

Table 1.
Bacterial strains, plasmids and primers used in this study.
Strain(s) or Plasmid | Relevant Characteristic(s) | Source or Reference |
---|---|---|
P. aeruginosa strains | ||
PAO1 | Prototypic wild-type strain | [] |
ΔrpoN | Gmr; rpoN derivative of PAO1 constructed by allelic exchange | [] |
ΔrpoNCOM | Gmr;Tcr; ΔrpoN carrying the pME6031-rpoN vector | This work |
ΔrpoN/pME6032-pqsR | Gmr;Tcr; ΔrpoN carrying the pME6032-pqsR vector | This work |
ΔrpoN/pME6032-pqsR/ppqsA-gfp | Gmr;Tcr; Carbr; ΔrpoN/pME6032-pqsR carrying the ppqsA-gfp vector | This work |
ΔrpoNCOM/ppqsA-gfp | Gmr;Tcr; Carbr; ΔrpoNCOM carrying the ppqsA-gfp vector | This work |
ΔrpoN/pME6032 | Gmr;Tcr; ΔrpoN carrying the pME6032 vector | This work |
ΔpqsR | pqsR derivative of PAO1 constructed by allelic exchange | [] |
Staphylococcus aureus | ||
15981 | Prototypic wild-type strain | [] |
15981/pSB2019 | Chlr; 15981 carrying the pSB2019 gfp-expressing vector | [] |
Plasmids | ||
pME6031 | Tcr; Broad-host-range cloning vector | [] |
pME6031-rpoN | Tcr; pME6031 carrying the rpoN gene | [] |
pME6032 | Tcr; broad host range vector | [] |
pME6032-pqsR | Tcr; pME6032 carrying the pqsR gene | [] |
ppqsA-gfp | Gmr;Carbr; pUCP22 carrying the pqsA-gfp transcriptional fusion | [] |
The Escherichia coli (E. coli) DH5a lab strain was used for standard DNA manipulations and plasmid maintenance. LB medium [] was used for cultivation of E. coli strains. P. aeruginosa strains were cultivated in ABT minimal medium [] supplemented with 2 g glucose·L−1 and 2 g casamino acids·L−1 (ABTGC) at 37 °C. King’s medium A (Sigma-Aldrich, Singapore) was used for the P. aeruginosa cultivation for the pyocyanin assay. Batch cultivation of S. aureus was carried out at 37 °C in Tryptic Soy Broth (TSB) medium (BD Biosciences, Singapore). The LB medium was supplemented with 100 µg ampicillin (Ap)·mL−1, 15 µg gentamicin (Gm)·mL−1, 15 µg tetracycline (Tc)·mL−1, 8 µg chloramphenicol (Cm)·mL−1 for plasmid maintenance in E. coli when necessary. The TSB medium was supplemented with 10 µg chloramphenicol (Cm)·mL−1 for plasmid maintenance in S. aureus. The ABTGC medium was supplemented with 30 µg Gm·mL−1, 50 µg Tc·mL−1, 200 µg carbenicillin (Cb)·mL−1 for marker selection in P. aeruginosa when necessary.
3.2. HHQ Quantification by High Performance Liquid Chromatography (HPLC)
P. aeruginosa strains were grown in triplicates in 25 mL of ABTGC medium at 37 °C, 200 rpm for 8 h until entering early stationary phase. Cultures were centrifuged (10,000× g, 10 min) and 20 mL of supernatants were filtered through the 0.22 µm Hydrophilic Cartridge Filters (Millipore, Singapore). HHQ was extracted by 10 mL of acidified ethyl acetate for three times. The ethyl actate fraction was dried and the residue was re-suspended in 200 µL of isopropal alcohol as previously described []. The concentration of HHQ was measured by High Performance Liquid Chromatography (HPLC). The reverse-phase C18 Targa column (4.6 mm × 150 mm, 5 μm) (catalog number: TS-1546-C185) was used with solvent A (10 mM ammonium acetate in water) and solvent B (10 mM ammonium acetate in methanol) at a flow rate of 0.3 mL·min−1. The injection volume was 20 µL and 314 nm was used as the detection wavelength. The eluent gradient was as follows: 0 min, 30% B, 0 to 3 min, 70% B; 3 to 29 min, 100% B; 29 to 36 min, 100% B; 36 to 40 min, 20% B; 40 to 42 min, 20% B. The retention time of HHQ was at 22.5 min. HHQ concentrations obtained by HPLC analysis were normalized by protein concentration.
3.3. Pyocyanin Quantification
Bacterial cultures were grown in 10 mL of King’s medium A for 24 h at 37 °C, 200 rpm. Cell-free supernatants were collected by centrifugation and filtered through the 0.22 µm Hydrophilic Cartridge Filters (Millipore, Singapore). 5 mL of cell-free supernatants and medium control were transferred to new tubes where 1 mL of chloroform were added and mixed. The layer of chloroform at bottom was transferred to new tubes after settling. Pyocyanin was extracted from chloroform using 200 µL of 0.2 M HCl by vigorous mixing. The quantity of pyocyanin was measured by absorbance at OD520 nm. Pyocyanin quantities were normalized against the OD600 nm values of the cultures.
3.4. Mixed-Species Biofilm Assay
Mixed species biofilms were established by co-culturing S. aureus 15981/pSB2019 and P. aeruginosa PAO1 wild-type, ΔrpoN, ∆rpoNCOM, and ΔrpoN/pME6032-pqsR mutant, respectively, as previously described []. S. aureus 15981/pSB2019 appeared green due to gfp expression whereas P. aeruginosa strains were stained with red fluorescent dye, SYTO62. Imaging of biofilms was done using a Zeiss LSM780 CLSM with a 63×/1.4 objective. Imaris software package (Bitplane AG, Zürich, Switzerland) was used to generate the simulated 3D images and calculation of the biovolumes of biofilms.
3.5. Staphylococcus aureus Inhibitory Assay
S. aureus overnight cultures were washed with PBS for three times and diluted to OD600 nm = 0.1. 100 μL of diluted cultures were plated evenly onto LB agar plates and spread-dried. Filter paper discs were placed onto the surface of LB agar plates on top of the S. aureus lawn. P. aeruginosa PAO1 wild-type, ∆rpoN, ∆rpoNCOM, and ∆rpoN/pME6032-pqsR overnight cultures were washed and diluted to OD600 nm = 0.1. 20 μL of diluted P. aeruginosa cultures were taken and dripped onto filter paper discs. Agar plates were then incubated at 37 °C for overnight. S. aureus inhibitory effect was determined by the sizes of inhibiting zones.
3.6. PpqsA-gfp Induction Assay
PAO1/ppqsA-gfp, ∆rpoN/ppqsA-gfp, ∆rpoNCOM/ppqsA-gfp, and ∆rpoN/pME6032-pqsR/ppqsA-gfp strains were cultivated overnight in LB broth in the presence of respective antibiotics. Overnight cultures of these strains were diluted in ABTGC medium to OD600 nm = 0.01, where 5 µM of external PQS signaling molecule (synthesized as previously described []) was added to ∆rpoN/ppqsA-gfp cell suspension. 200 µL of cell suspensions of each strain were loaded into wells of a 96-well microtiter plate. Six replicates of each strain were applied. Optical density at 600 nm and green fluorescence (excitation at 485 nm, emission at 535 nm) of these cultures were monitored over 24 h using a Magellen Tecan® Infinite 200 PRO plate reader.
3.7. Caenorhabditis elegans Killing Assay
P. aeruginosa strains were spread as a lawn and incubated on PGS agar in 6-well plate (Nunc) at 37 °C overnight. Triplicate plates were each seeded with 20 L3-stage hermaphrodite C. elegans strain N2 (Bristol) []. Plates were incubated at 25 °C for 24 h, for the animals to feed on the bacterial lawn. Dead and live animals were enumerated and the % dead over total animals was tabulated.
Supplementary Materials
Supplementary materials can be found at http://www.mdpi.com/1422-0067/16/12/26103/s1.
Acknowledgments
This research is supported by the National Research Foundation and Ministry of Education Singapore under its Research Centre of Excellence Programme, the Start-up Grant (M4330002.C70) from Nanyang Technological University and AcRF Tier 2 (MOE2014-T2-2-172) from Ministry of Education, Singapore. Ke Wang was supported by the National Natural Sciences Foundation of China (81,460,003). We thank Mingjun Yuan from Nanyang Technological University for his help with the HPLC analysis.
Author Contributions
Michael Givskov, Ke Wang and Liang Yang defined the research theme. Zhao Cai, Yicai Chen, Song Lin Chua and Yang Liu designed methods and experiments, carried out the laboratory experiments, analyzed the data, interpreted the results and wrote the paper. Joey Kuok Hoong Yam and Su Chuen Chew co-designed biofilm experiments, discussed analyses, interpretation, and presentation. All authors have contributed to, seen and approved the manuscript.
Conflicts of Interest
The authors declare no conflict of interest.
References
- Lieberman, T.D.; Flett, K.B.; Yelin, I.; Martin, T.R.; McAdam, A.J.; Priebe, G.P.; Kishony, R. Genetic variation of a bacterial pathogen within individuals with cystic fibrosis provides a record of selective pressures. Nat. Genet. 2014, 46, 82–87. [Google Scholar] [CrossRef] [PubMed]
- Feliziani, S.; Marvig, R.L.; Lujan, A.M.; Moyano, A.J.; di Rienzo, J.A.; Krogh Johansen, H.; Molin, S.; Smania, A.M. Coexistence and within-host evolution of diversified lineages of hypermutable Pseudomonas aeruginosa in long-term cystic fibrosis infections. PLoS Genet. 2014, 10, e1004651. [Google Scholar] [CrossRef] [PubMed]
- Mwangi, M.M.; Wu, S.W.; Zhou, Y.; Sieradzki, K.; de Lencastre, H.; Richardson, P.; Bruce, D.; Rubin, E.; Myers, E.; Siggia, E.D.; et al. Tracking the in vivo evolution of multidrug resistance in Staphylococcus aureus by whole-genome sequencing. Proc. Natl. Acad. Sci. USA 2007, 104, 9451–9456. [Google Scholar] [CrossRef] [PubMed]
- Yang, L.; Jelsbak, L.; Marvig, R.L.; Damkiaer, S.; Workman, C.T.; Rau, M.H.; Hansen, S.K.; Folkesson, A.; Johansen, H.K.; Ciofu, O.; et al. Evolutionary dynamics of bacteria in a human host environment. Proc. Natl. Acad. Sci. USA 2011, 108, 7481–7486. [Google Scholar] [CrossRef] [PubMed]
- Smith, E.E.; Buckley, D.G.; Wu, Z.; Saenphimmachak, C.; Hoffman, L.R.; D’Argenio, D.A.; Miller, S.I.; Ramsey, B.W.; Speert, D.P.; Moskowitz, S.M.; et al. Genetic adaptation by Pseudomonas aeruginosa to the airways of cystic fibrosis patients. Proc. Natl. Acad. Sci. USA 2006, 103, 8487–8492. [Google Scholar] [CrossRef] [PubMed]
- Latifi, A.; Winson, M.K.; Foglino, M.; Bycroft, B.W.; Stewart, G.S.; Lazdunski, A.; Williams, P. Multiple homologues of LuxR and LuxI control expression of virulence determinants and secondary metabolites through quorum sensing in Pseudomonas aeruginosa PAO1. Mol. Microbiol. 1995, 17, 333–343. [Google Scholar] [CrossRef] [PubMed]
- Pearson, J.P.; Pesci, E.C.; Iglewski, B.H. Roles of Pseudomonas aeruginosa las and rhl quorum-sensing systems in control of elastase and rhamnolipid biosynthesis genes. J. Bacteriol. 1997, 179, 5756–5767. [Google Scholar] [PubMed]
- Boucher, J.C.; Yu, H.; Mudd, M.H.; Deretic, V. Mucoid Pseudomonas aeruginosa in cystic fibrosis: Characterization of muc mutations in clinical isolates and analysis of clearance in a mouse model of respiratory infection. Infect. Immun. 1997, 65, 3838–3846. [Google Scholar] [PubMed]
- Cabral, D.A.; Loh, B.A.; Speert, D.P. Mucoid Pseudomonas aeruginosa resists nonopsonic phagocytosis by human neutrophils and macrophages. Pediatr. Res. 1987, 22, 429–431. [Google Scholar] [CrossRef] [PubMed]
- Totten, P.A.; Lara, J.C.; Lory, S. The rpoN gene product of Pseudomonas aeruginosa is required for expression of diverse genes, including the flagellin gene. J. Bacteriol. 1990, 172, 389–396. [Google Scholar] [PubMed]
- Lovewell, R.R.; Collins, R.M.; Acker, J.L.; O'Toole, G.A.; Wargo, M.J.; Berwin, B. Step-wise loss of bacterial flagellar torsion confers progressive phagocytic evasion. PLoS Pathog. 2011, 7, e1002253. [Google Scholar] [CrossRef] [PubMed]
- Mahenthiralingam, E.; Campbell, M.E.; Speert, D.P. Nonmotility and phagocytic resistance of Pseudomonas aeruginosa isolates from chronically colonized patients with cystic fibrosis. Infect. Immun. 1994, 62, 596–605. [Google Scholar] [PubMed]
- Thompson, L.S.; Webb, J.S.; Rice, S.A.; Kjelleberg, S. The alternative sigma factor rpon regulates the quorum sensing gene rhli in Pseudomonas aeruginosa. FEMS Microbiol. Lett. 2003, 220, 187–195. [Google Scholar] [CrossRef]
- Wade, D.S.; Calfee, M.W.; Rocha, E.R.; Ling, E.A.; Engstrom, E.; Coleman, J.P.; Pesci, E.C. Regulation of pseudomonas quinolone signal synthesis in Pseudomonas aeruginosa. J. Bacteriol. 2005, 187, 4372–4380. [Google Scholar] [CrossRef] [PubMed]
- Ilangovan, A.; Fletcher, M.; Rampioni, G.; Pustelny, C.; Rumbaugh, K.; Heeb, S.; Camara, M.; Truman, A.; Chhabra, S.R.; Emsley, J.; et al. Structural basis for native agonist and synthetic inhibitor recognition by the Pseudomonas aeruginosa quorum sensing regulator PqsR (MvfR). PLoS Pathog. 2013, 9, e1003508. [Google Scholar] [CrossRef] [PubMed]
- Yang, L.; Barken, K.B.; Skindersoe, M.E.; Christensen, A.B.; Givskov, M.; Tolker-Nielsen, T. Effects of iron on DNA release and biofilm development by Pseudomonas aeruginosa. Microbiology 2007, 153, 1318–1328. [Google Scholar] [CrossRef] [PubMed]
- Yang, L.; Nilsson, M.; Gjermansen, M.; Givskov, M.; Tolker-Nielsen, T. Pyoverdine and pqs mediated subpopulation interactions involved in Pseudomonas aeruginosa biofilm formation. Mol. Microbiol. 2009, 74, 1380–1392. [Google Scholar] [CrossRef] [PubMed]
- Zhang, L.B.; Gao, Q.G.; Chen, W.Y.; Qin, H.Y.; Wang, H.Z.; Chen, Y.C.; Yang, L.; Zhang, G. Regulation of pqs quorum sensing via catabolite repression control in Pseudomonas aeruginosa. Microbiol-Sgm 2013, 159, 1931–1936. [Google Scholar] [CrossRef] [PubMed]
- Mashburn, L.M.; Jett, A.M.; Akins, D.R.; Whiteley, M. Staphylococcus aureus serves as an iron source for Pseudomonas aeruginosa during in vivo coculture. J. Bacteriol. 2005, 187, 554–566. [Google Scholar] [CrossRef] [PubMed]
- Qin, Z.Q.; Yang, L.; Qu, D.; Molin, S.; Tolker-Nielsen, T. Pseudomonas aeruginosa extracellular products inhibit staphylococcal growth, and disrupt established biofilms produced by Staphylococcus epidermidis. Microbiol-Sgm 2009, 155, 2148–2156. [Google Scholar] [CrossRef] [PubMed]
- Hendrickson, E.L.; Plotnikova, J.; Mahajan-Miklos, S.; Rahme, L.G.; Ausubel, F.M. Differential roles of the Pseudomonas aeruginosa PA14 rpoN gene in pathogenicity in plants, nematodes, insects, and mice. J. Bacteriol. 2001, 183, 7126–7134. [Google Scholar] [CrossRef] [PubMed]
- Reitzer, L. Nitrogen assimilation and global regulation in Escherichia coli. Annu. Rev. Microbiol. 2003, 57, 155–176. [Google Scholar] [CrossRef] [PubMed]
- Wolfe, A.J.; Millikan, D.S.; Campbell, J.M.; Visick, K.L. Vibrio fischeri sigma(54) controls motility, biofilm formation, luminescence, and colonization. Appl. Environ. Microb. 2004, 70, 2520–2524. [Google Scholar] [CrossRef]
- Yang, L.; Rau, M.H.; Yang, L.; Hoiby, N.; Molin, S.; Jelsbak, L. Bacterial adaptation during chronic infection revealed by independent component analysis of transcriptomic data. BMC Microbiol. 2011, 11, 184. [Google Scholar] [CrossRef] [PubMed]
- Lore, N.I.; Cigana, C.; de Fino, I.; Riva, C.; Juhas, M.; Schwager, S.; Eberl, L.; Bragonzi, A. Cystic fibrosis-niche adaptation of Pseudomonas aeruginosa reduces virulence in multiple infection hosts. PLoS ONE 2012, 7, e35648. [Google Scholar] [CrossRef] [PubMed]
- Schulz, S.; Eckweiler, D.; Bielecka, A.; Nicolai, T.; Franke, R.; Dotsch, A.; Hornischer, K.; Bruchmann, S.; Duvel, J.; Haussler, S. Elucidation of sigma factor-associated networks in Pseudomonas aeruginosa reveals a modular architecture with limited and function-specific crosstalk. PLoS Pathog. 2015, 11, e1004744. [Google Scholar] [PubMed]
- Sonnleitner, E.; Gonzalez, N.; Sorger-Domenigg, T.; Heeb, S.; Richter, A.S.; Backofen, R.; Williams, P.; Huttenhofer, A.; Haas, D.; Blasi, U. The small RNA PhrS stimulates synthesis of the Pseudomonas aeruginosa quinolone signal. Mol. Microbiol. 2011, 80, 868–885. [Google Scholar] [CrossRef] [PubMed]
- Sonnleitner, E.; Schuster, M.; Sorger-Domenigg, T.; Greenberg, E.P.; Blasi, U. Hfq-dependent alterations of the transcriptome profile and effects on quorum sensing in Pseudomonas aeruginosa. Mol. Microbiol. 2006, 59, 1542–1558. [Google Scholar] [CrossRef] [PubMed]
- Toledo-Arana, A.; Merino, N.; Vergara-Irigaray, M.; Debarbouille, M.; Penades, J.R.; Lasa, I. Staphylococcus aureus develops an alternative, ica-independent biofilm in the absence of the arlRS two-component system. J. Bacteriol. 2005, 187, 5318–5329. [Google Scholar] [CrossRef] [PubMed]
- Heeb, S.; Itoh, Y.; Nishijyo, T.; Schnider, U.; Keel, C.; Wade, J.; Walsh, U.; O'Gara, F.; Haas, D. Small, stable shuttle vectors based on the minimal pVS1 replicon for use in gram-negative, plant-associated bacteria. Mol. Plant Microbe Interact. 2000, 13, 232–237. [Google Scholar] [CrossRef] [PubMed]
- Bertani, G. Studies on lysogenesis. I. The mode of phage liberation by lysogenic Escherichia coli. J. Bacteriol. 1951, 62, 293–300. [Google Scholar] [PubMed]
- Clark, D.J.; Maaløe, O. DNA replication and the division cycle in Escherichia coli. J. Mol. Biol. 1967, 23, 99–112. [Google Scholar] [CrossRef]
- Fletcher, M.P.; Diggle, S.P.; Camara, M.; Williams, P. Biosensor-based assays for PQS, HHQ and related 2-alkyl-4-quinolone quorum sensing signal molecules. Nat. Protoc. 2007, 2, 1254–1262. [Google Scholar] [CrossRef] [PubMed]
- Chew, S.C.; Kundukad, B.; Seviour, T.; van der Maarel, J.R.; Yang, L.; Rice, S.A.; Doyle, P.; Kjelleberg, S. Dynamic remodeling of microbial biofilms by functionally distinct exopolysaccharides. MBio 2014, 5, e01536–e01514. [Google Scholar] [CrossRef] [PubMed]
© 2015 by the authors; licensee MDPI, Basel, Switzerland. This article is an open access article distributed under the terms and conditions of the Creative Commons by Attribution (CC-BY) license (http://creativecommons.org/licenses/by/4.0/).