Characterization of Chitosan Nanofiber Sheets for Antifungal Application
Abstract
:1. Introduction
2. Results and Discussion
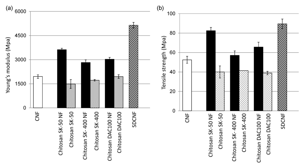
2.1. Characterization of Nanofibers (NFs)
| Sheets | DDA (%) | Mw (kDa) | Surface Charge |
|---|---|---|---|
| CNF | <5 | 51 | ±0 |
| Chitosan SK-50 NF | >80 | 200 | + |
| Chitosan SK-400 NF | >80 | 368 | + |
| Chitosan DAC 100 NF | 100 | 10 | + |
| Chitosan SK-50 | >80 | 533 | NT |
| Chitosan SK-400 | >80 | 4612 | NT |
| Chitosan DAC 100 | 100 | 235 | NT |
| SDCNF | 18 | NT | + |


2.2. Antifungal Effects of Chitosan NFs and Surface-Deacetylated Chitin NF (SDCNF)
| Sheets | Colony Diameter (mm) | ||||
|---|---|---|---|---|---|
| M. canis | M. gypseum | T. mentagrophytes | T. rubrum | T. tonsurans | |
| Blank | 2.4 ± 0.05 a | 2.4 ± 0.05 a | 1.3 ± 0.01 a | 1.8 ± 0.02 a | 1.7 ± 0.04 a |
| CNF | 1.6 ± 0.06 b | 3.0 ± 0.07 b | 1.5 ± 0.03 b | 1.6 ± 0.04 a | 1.7 ± 0.06 a |
| Chitosan SK-50 NF | 1.4 ± 0.02 b | 1.0 ± 0.0 c | 0.5 ± 0.05 cd | 1.9 ± 0.03 a | 0.4 ± 0.01 bc |
| Chitosan SK-400 NF | 1.1 ± 0.01 bc | 0.9 ± 0.04 c | 0.5 ± 0.02 c | 1.5 ± 0.2 a | 0.5 ± 0.01 bc |
| Chitosan DAC100 NF | 1.2 ± 0.08 bc | 0.8 ± 0.02 c | 0.5 ± 0.01 cd | 1.5 ± 0.04 a | 0.4 ± 0.02 bc |
| Chitosan SK-50 | 1.7 ± 0.2 b | 2.6 ± 0.2 ab | 0.4 ± 0.01 d | 2.0 ± 0.09 a | 0.4 ± 0.02 bc |
| Chitosan SK-400 | 1.1 ± 0.3 bc | 2.2 ± 0.2 a | 0.5 ± 0.01 cd | 1.8 ± 0.1 a | 0.4 ± 0.02 b |
| Chitosan DAC100 | 0.8 ± 0.08 c | 2.5 ± 0.2 ab | 1.3 ± 0.01 cd | 1.5 ± 0.1 a | 0.5 ± 0.03 c |
| SDCNF | 1.6 ± 0.1 b | 1.0 ± 0.06 ac | 0.7 ± 0.02 e | 1.8 ± 0.1 a | 0.7 ± 0.03 d |
2.3. Resistance of Chitosan NFs and SDCNF against Fungal Degradation

3. Experimental Section
3.1. Preparation of NF
3.2. Preparation of Nanofiber Sheets
3.3. Preparation of Chitosan Sheets
3.4. Characterization of Nanofibers
3.5. Fungal Material
3.6. Antifungal Activity Test
4. Conclusions
Acknowledgments
Author Contributions
Conflicts of Interest
References
- Younes, I.; Rinaudo, M. Chitin and chitosan preparation from marine sources. Structure, Properties and Applications. Mar. Drugs 2015, 13, 1133–1174. [Google Scholar] [CrossRef] [PubMed]
- Pillai, C.K.S.; Paul, W.; Sharma, C.P. Chitin and chitosan polymers: Chemistry, solubility and fiber formation. Prog. Polym. Sci. 2009, 34, 641–678. [Google Scholar] [CrossRef]
- Jayakumar, R.; Prabaharan, M.; Nair, S.V.; Tamura, H. Novel chitin and chitosan nanofibers in biomedical applications. Biotechnol. Adv. 2010, 28, 142–150. [Google Scholar] [CrossRef] [PubMed]
- Muzzarelli, R.A.A. New techniques for optimization of surface area and porosity in nanochitins and nanochitosans. In Advances in Polymer Science: Chitosan for Biomaterials; Jayakumar, R., Prabaharan, A., Muzzarelli, R.A.A., Eds.; Springer-Verlag: Berlin, Germany, 2011; Volume 2, pp. 167–186. [Google Scholar]
- Muzzarelli, R.A.A. Nanochitins and nanochitosans, paving the way to eco-friendly and energy-saving exploitation of marine resources. Polym. Sci. Compr. Ref. 2012, 10, 153–164. [Google Scholar]
- Muzzarelli, R.A.A.; El Mehtedi, M.; Mattioli-Belmonte, M. Emerging biomedical applications of nano-chitins and nano-chitosans obtained via advanced eco-friendly technologies from marine resources. Mar. Drugs 2014, 12, 5468–5502. [Google Scholar] [CrossRef] [PubMed]
- Shalumon, K.T.; Sathish, D.; Nair, S.V.; Chennazhi, K.P.; Tamura, H.; Jayakumar, R. Fabrication of aligned poly(lactic acid)-chitosan nanofibers by novel parallel blade collector method for skin tissue engineering. J. Biomed. Nanotechnol. 2012, 8, 405–416. [Google Scholar] [CrossRef] [PubMed]
- Ifuku, S.; Yamada, K.; Morimoto, M.; Saimoto, H. Nanofibrillation of dry chitin powder by Star Burst system. J. Nanomater. 2012, 2012, 1–7. [Google Scholar] [CrossRef]
- Dutta, A.K.; Kawamoto, N.; Sugino, G.; Izawa, H.; Morimoto, M.; Saimoto, H.; Ifuku, S. Simple preparation of chitosan nanofibers from dry chitosan powder by the Star Burst system. Carbohydr. Polym. 2013, 97, 363–367. [Google Scholar] [CrossRef] [PubMed]
- Aklog, Y.F.; Dutta, A.K.; Izawa, H.; Morimoto, M.; Saimoto, H.; Ifuku, S. Preparation of chitosan nanofibers from completely deacetylated chitosan powder by a downsizing process. Int. J. Biol. Macromol. 2015, 72, 1191–1195. [Google Scholar] [CrossRef] [PubMed]
- Ifuku, S. Chitin and chitosan nanofibers: Preparation and chemical modifications. Molecules 2014, 19, 18367–18380. [Google Scholar] [CrossRef] [PubMed]
- Ifuku, S.; Ikuta, A.; Egusa, M.; Kaminaka, H.; Izawa, H.; Morimoto, M.; Saimoto, H. Preparation of high-strength transparent chitosan sheet reinforced with surface-deacetylated chitin nanofibers. Carbohydr. Polym. 2013, 98, 1198–1202. [Google Scholar] [CrossRef] [PubMed]
- Kong, M.; Chen, X.G.; Xing, K.; Park, H.J. Antimicrobial properties of chitosan and mode of action: A state of the art review. Int. J. Food Microbiol. 2010, 144, 51–63. [Google Scholar] [CrossRef] [PubMed]
- Rahman, M.H.; Shovan, L.R.; Hjeljord, L.G.; Aam, B.B.; Eijsink, V.G.H.; Sørlie, M.; Tronsmo, A. Inhibition of fungal plant pathogens by synergistic action of chito-oligosaccharides and commercially available fungicides. PLoS ONE 2014, 9, e93192. [Google Scholar] [CrossRef] [PubMed]
- Younes, I.; Sellimi, S.; Rinaudo, M.; Jellouli, K.; Nasri, M. Influence of acetylation degree and molecular weight of homogenous chitosan on antibacterial and antifungal activities. Int. J. Food Microbiol. 2014, 185, 57–63. [Google Scholar] [CrossRef] [PubMed]
- Cuero, R.G.; Osuji, G.; Washington, A. N-carboxymethylchitosan inhibition of aflatoxin production: Role of zinc. Biotechnol. Lett. 1991, 13, 441–444. [Google Scholar] [CrossRef]
- Martinez-Camacho, A.P.; Cortez-Rocha, M.O.; Ezquerra-Brauer, J.M.; Graciano-Verdugo, A.Z.; Rodriguez-Felix, F.; Castillo-Ortega, M.M.; Yepiz-Gomez, M.S.; Plascencia-Jatomea, M. Chitosan composite films: Thermal, structural, mechanical and antifungal properties. Carbohydr. Polym. 2010, 82, 305–315. [Google Scholar] [CrossRef]
- El Ghaouth, A.; Arul, J.; Grenier, J.; Asselin, A. Antifungal activity of chitosan on two postharvest pathogens of strawberry fruits. Phytopathology 1992, 82, 398–402. [Google Scholar] [CrossRef]
- Roller, S.; Covill, N. The antifungal properties of chitosan in laboratory media and apple. Int. J. Food Microbiol. 1999, 47, 64–77. [Google Scholar] [CrossRef]
- Qiu, M.; Wu, C.; Ren, G.; Liang, X.; Wang, X.; Huang, J. Effect of chitosan and its derivatives as antifungal and preservative agents on postharvest green asparagus. Food Chem. 2014, 155, 105–111. [Google Scholar] [CrossRef] [PubMed]
- Rabea, E.I.; Badawy, M.E.I.; Steurbaut, W.; Stevens, C.V. In vitro assessment of N-(benzyl)chitosan derivatives against some plant pathogenic bacteria and fungi. Eur. Polym. J. 2009, 45, 237–245. [Google Scholar] [CrossRef]
- Benhamou, N. Ultrastructural and cytochemical aspects of chitosan on Fusarium oxysporum f. sp. radicis-lycopersici, agent of tomato crown and root rot. Phytopathology 1992, 10, 1185–1193. [Google Scholar]
- Liu, H.; Tian, W.; Li, B.; Wu, G.; Ibrahim, M.; Tao, Z.; Wang, Y.; Xie, G.; Li, H.; Sun, G. Antifungal effect and mechanism of chitosan against the rice sheath blight pathogen, Rhizoctonia solani. Biotechnol. Lett. 2012, 34, 2291–2298. [Google Scholar] [CrossRef] [PubMed]
- Hernandez-Lauzardo, A.N.; Bautista-Banos, S.; Velazquez-del Valle, M.G.; Mendez-Montealvo, M.G.; Sanchez-Rivera, M.M.; Bello-Perez, L.A. Antifungal effects of chitosan with different molecular weights on in vitro development of Rhizopus stolonifer (Ehrenb.:Fr.) Vuill. Carbohydr. Polym. 2008, 73, 541–547. [Google Scholar] [CrossRef] [PubMed]
- Muzzarelli, R.A.A.; Muzzarelli, C.; Tarsi, R.; Miliani, M.; Gabbanelli, F.; Cartolari, M. Fungistatic activity of modified chitosans against Saprolegnia parasitica. Biomacromolecules 2001, 2, 165–169. [Google Scholar] [CrossRef] [PubMed]
- Olicón-Hernández, D.R.; Hernández-Lauzardo, A.N.; Pardo, J.P.; Pena, A.; Velázquez-del Valle, M.G.; Guerra-Sánchez, G. Influence of chitosan and its derivatives on cell development andphysiology of Ustilago maydis. Int. J. Biol. Macromol. 2015, 79, 654–660. [Google Scholar] [CrossRef] [PubMed]
- El Hadrami, A.; Adam, L.R.; El Hadrami, I.; Daayf, F. Chitosan in plant protection. Mar. Drugs 2010, 8, 968–987. [Google Scholar] [CrossRef] [PubMed]
- Elsabee, M.Z.; Abdou, E.S. Chitosan based edible films and coatings: A review. Mater. Sci. Eng. C 2013, 33, 1819–1841. [Google Scholar] [CrossRef] [PubMed]
- Jung, B.-O.; Kim, C.-H.; Choi, K.-S.; Lee, Y.M.; Kim, J.-J. Preparation of amphiphilic chitosan and their antimicrobial activities. J. Appl. Polym. Sci. 1999, 72, 1713–1719. [Google Scholar] [CrossRef]
- Alburquenque, C.; Bucarey, S.A.; Neira-Carrillo, A.; Urzua, B.; Hermosilla, G.; Tapia, C.V. Antifungal activity of low molecular weight chitosan against clinical isolates of Candida spp. Med. Mycol. 2010, 48, 1018–1023. [Google Scholar] [CrossRef] [PubMed]
- Sajomsang, W.; Gonil, P.; Saesoo, S.; Ovatlarnporn, C. Antifungal property of quaternized chitosan and its derivatives. Int. J. Biol. Macromol. 2012, 50, 263–269. [Google Scholar] [CrossRef] [PubMed]
- Vena, G.A.; Chieco, P.; Posa, F.; Garofalo, A.; Bosco, A.; Cassano, N. Epidemiology of dermatophytoses: Retrospective analysis from 2005 to 2010 and comparison with previous data from 1975. New Microbiol. 2012, 35, 207–213. [Google Scholar] [PubMed]
- Monod, M.; Capoccia, S.; Lechenne, B.; Zaugg, C.; Holdom, M.; Jousson, O. Secreted proteases from pathogenic fungi. Int. J. Med. Microbiol. 2002, 292, 405–419. [Google Scholar] [CrossRef] [PubMed]
- Mendez-Tovar, L.J. Pathogenesis of dermatophytosis and tinea versicolor. Clin. Dermatol. 2010, 28, 185–189. [Google Scholar] [CrossRef] [PubMed]
- Peres, N.T.A.; Maranhao, F.C.A.; Rossi, A.; Martinez-Rossi, N.M. Dermatophytes: Host-pathogen interaction and antifungal resistance. An. Bras. Dermatol. 2010, 85, 657–667. [Google Scholar] [CrossRef] [PubMed]
- Azuma, K.; Izumi, R.; Osaki, T.; Ifuku, S.; Morimoto, M.; Saimoto, H.; Minami, S.; Okamoto, Y. Chitin, chitosan, and its derivatives for wound healing: Old and new materials. J. Funct. Biomater. 2015, 6, 104–142. [Google Scholar] [CrossRef] [PubMed]
- Shahid, M.; Mohammad, F. Green chemistry approaches to develop antimicrobial textiles based on sustainable biopolymers—A review. Ind. Eng. Chem. Res. 2013, 52, 5245–5260. [Google Scholar] [CrossRef]
- Mitchell, A.; Spencer, M.; Edmiston, C., Jr. Role of healthcare apparel and other healthcare textiles in the transmission of pathogens: A review of the literature. J. Hosp. Infect. 2015, 90, 285–292. [Google Scholar] [CrossRef] [PubMed]
- No, H.K.; Park, N.Y.; Lee, S.H.; Samuel, P.; Meyers, S.P. Antibacterial activity of chitosans and chitosan oligomers with different molecular weights. Int. J. Food Microbiol. 2002, 74, 65–72. [Google Scholar] [CrossRef]
- Takahashi, T.; Imai, M.; Suzuki, I.; Sawai, J. Growth inhibitory effect on bacteria of chitosan membranes regulated with deacetylation degree. Biochem. Eng. J. 2008, 40, 485–491. [Google Scholar] [CrossRef]
- Helander, I.M.; Nurmiaho-Lassila, E.-L.; Ahvenainen, R.; Rhoades, J.; Roller, S. Chitosan disrupts the barrier properties of the outer membrane of Gram-negative bacteria. Int. J. Food Microbiol. 2001, 71, 235–244. [Google Scholar] [CrossRef]
- Liu, H.; Du, Y.; Wang, X.; Sun, L. Chitosan kills bacteria through cell membrane damage. Int. J. Food Microbiol. 2004, 95, 147–155. [Google Scholar] [CrossRef] [PubMed]
© 2015 by the authors; licensee MDPI, Basel, Switzerland. This article is an open access article distributed under the terms and conditions of the Creative Commons by Attribution (CC-BY) license (http://creativecommons.org/licenses/by/4.0/).
Share and Cite
Egusa, M.; Iwamoto, R.; Izawa, H.; Morimoto, M.; Saimoto, H.; Kaminaka, H.; Ifuku, S. Characterization of Chitosan Nanofiber Sheets for Antifungal Application. Int. J. Mol. Sci. 2015, 16, 26202-26210. https://doi.org/10.3390/ijms161125947
Egusa M, Iwamoto R, Izawa H, Morimoto M, Saimoto H, Kaminaka H, Ifuku S. Characterization of Chitosan Nanofiber Sheets for Antifungal Application. International Journal of Molecular Sciences. 2015; 16(11):26202-26210. https://doi.org/10.3390/ijms161125947
Chicago/Turabian StyleEgusa, Mayumi, Ryo Iwamoto, Hironori Izawa, Minoru Morimoto, Hiroyuki Saimoto, Hironori Kaminaka, and Shinsuke Ifuku. 2015. "Characterization of Chitosan Nanofiber Sheets for Antifungal Application" International Journal of Molecular Sciences 16, no. 11: 26202-26210. https://doi.org/10.3390/ijms161125947
APA StyleEgusa, M., Iwamoto, R., Izawa, H., Morimoto, M., Saimoto, H., Kaminaka, H., & Ifuku, S. (2015). Characterization of Chitosan Nanofiber Sheets for Antifungal Application. International Journal of Molecular Sciences, 16(11), 26202-26210. https://doi.org/10.3390/ijms161125947

