Compositional and Proteomic Analyses of Genetically Modified Broccoli (Brassica oleracea var. italica) Harboring an Agrobacterial Gene
Abstract
:1. Introduction
2. Results and Discussion
2.1. Proximate Analysis of Macronutrients, Chemical and Mineral Constituents
| Line | Water Content (%) | Crude Protein (%) | Crude Fat (%) | Crude Fiber (%) | Ash (%) | CHO (%) |
|---|---|---|---|---|---|---|
| 101 | 85.58 ± 0.21 c,d | 36.15 ± 0.86 c | 7.16 ± 0.24 b | 9.17 ± 0.35 b | 8.02 ± 0.25 a,b | 39.50 ± 0.53 a |
| 102 | 85.17 ± 0.39 d | 37.73 ± 0.25 c | 7.14 ± 0.46 b | 8.23 ± 0.35 c | 7.86 ± 0.37 b | 39.04 ± 0.24 a |
| 103 | 86.78 ± 0.32 a | 40.37 ± 0.43 b | 7.22 ± 0.32 b | 9.78 ± 0.39 a | 7.42 ± 0.16 c | 35.20 ± 0.33 b |
| 104 | 85.81 ± 0.23 b,c | 43.49 ± 1.90 a | 7.48 ± 0.31 b | 8.69 ± 0.21 b,c | 7.79 ± 0.17 b,c | 32.55 ± 1.78 c |
| GK | 86.20 ± 0.34 b | 40.89 ± 1.46 b | 8.33 ± 0.37 a | 10.16 ± 0.13 a | 8.42 ± 0.19 a | 32.20 ± 1.14 c |
| Line | Ascorbic Acid (%) | Titratable Acidity (%) | Formol-N (%) | Free Sugar (%) | Insoluble Solid (%) |
|---|---|---|---|---|---|
| 101 | 0.34 ± 0.06 c | 2.00 ± 0.10 a | 0.53 ± 0.06 a | 9.93 ± 0.97 b | 38.11 ± 3.10 b |
| 102 | 0.56 ± 0.01 a | 2.16 ± 0.51 a | 0.52 ± 0.04 a | 13.14 ± 1.23 a | 42.42 ± 2.65 a,b |
| 103 | 0.46 ± 0.04 b | 2.21 ± 0.07 a | 0.52 ± 0.01 a | 10.37 ± 2.61 b | 46.33 ± 1.73 a |
| 104 | 0.28 ± 0.07 c | 2.41 ± 0.11 a | 0.69 ± 0.09 a | 8.19 ± 0.08 b | 44.69 ± 1.62 a |
| GK | 0.33 ± 0.04 c | 2.15 ± 0.39 a | 0.61 ± 0.15 a | 8.67 ± 0.67 b | 44.94 ± 2.65 a |
| Line | P | K | Ca | Mg | Fe | Mn | Cu | Zn |
|---|---|---|---|---|---|---|---|---|
| 101 | 591 ± 27 b | 3391 ± 164 a | 437 ± 62 b | 195 ± 17 b | 9.24 ± 1.06 a | 4.16 ± 0.16 a,b | 0.51 ± 0.05 b | 5.53 ± 0.32 b |
| 102 | 532 ± 45 a,b | 3177 ± 78 a,b | 518 ± 18 a,b | 195 ± 6 b | 10.60 ± 7.05 a | 2.83 ± 0.03 b | 0.53 ± 0.01 b | 5.58± 0.36 b |
| 103 | 496 ± 18 b | 3037 ± 47 b | 512 ± 42 a,b | 192 ± 10 b | 7.84 ± 0.62 a | 3.33 ± 0.16 b | 0.44 ± 0.02 c | 5.44 ± 0.16 b |
| 104 | 532 ± 40 a,b | 2643 ± 326 c | 576 ± 96 a | 238 ± 28 a | 9.53 ± 0.70 a | 4.36 ± 0.39 a | 0.62 ± 0.05 a | 6.97 ± 0.49 a |
| GK | 605 ± 1 a | 3421 ± 198 a | 613 ± 27 a | 264 ± 2 a | 7.75 ± 0.59 a | 4.60 ± 0.95 a | 0.51 ± 0.03 b,c | 5.36 ± 0.27 b |
2.2. Proteins Specifically Detected in Ipt-Transgenic Broccoli at Harvest and after Cooking


2.3. Identification of Proteins Specifically Detected in Ipt-Transgenic Broccoli by LC–ESI-MS/MS
| Spot | Accession Best-Hit Protein_ Arabidopsis Homolog | Mr/pI Theor. d | Mr/pI Exp. e | Protein Score f | Sequence Coverage (%) | Peptides from MS/MS g |
|---|---|---|---|---|---|---|
| 1 a | gi|5921663 10-formyltetrahydrofolate synthetase ( Arabidopsis thaliana)_At1g50480 | 68.3/6.3 | 66.0/7.1 | 503 | 21 | 18 |
| 4 a | gi|18403095 10-formyltetrahydrofolate synthetase ( A. thaliana)_At1g50480 | 67.8/6.3 | 63.0/7.1 | 40.3 | 8 | 5 |
| 2 a | gi|2642429 putative poly(A) binding protein ( A. thaliana)_At2g23350 | 72.0/6.4 | 66.0/7.2 | 164 | 14 | 13 |
| 9 a | gi|30694221 mitochondrial/lipoamide dehydrogenase 1 ( A. thaliana)_At1g48030 | 54.0/7.1 | 53.0/6.8 | 262.4 | 55.4 | 50 |
| 11 c | gi|77999357 protein disulfide isomerase ( Brassica carinata)_At1g77510 | 55.7/4.9 | 54.0/5.3 | 330.3 | 64.8 | 74 |
| 28 a | gi|148515008 Mn superoxide dismutase ( Eutrema halophilum)_At3g10920 | 25.5/9.1 | 23.0/6.2 | 50.3 | 26 | 8 |
| 41 a | gi|18397457 antioxidant/peroxidase ( A. thaliana)_At3g06050 | 21.4/9.3 | 16.0/6.4 | 80.3 | 40.8 | 14 |
| 43 a | gi|227247698 unnamed protein product ( B. napus)_At3g06050 | 21.6/9.3 | 18.0/6.6 | 80.3 | 33.8 | 16 |
| 44 b | gi|219900341 unnamed protein product ( B. napus)_At4g38740 | 18.3/8.2 | 20.0/8.4 | 60.2 | 24.4 | 12 |
| 46 b | gi|296784927 ribulose 1,5-bisphosphate carboxylase/oxygenase (RUBISCO) ( B. rapa subsp. Chinensis)_At5g38430 | 20.3/8.1 | 14.0/6.2 | 80.3 | 37.6 | 14 |
| 47 b | 14.5/6.3 | 60.2 | 39.8 | 8 | ||
| 147 a | 14.0/6.9 | 68.3 | 44.2 | 13 | ||
| 131 b | gi|119720808 ribulose bisphosphate carboxylase ( B. rapa)_At5g38430 | 18.4/8.1 | 9.3/7.1 | 30.2 | 24.7 | 3 |
| 174 b | 11.0/6.5 | 68.3 | 49.4 | 10 | ||
| 175 b | 11.0/6.6 | 60.3 | 45.7 | 9 | ||
| 177 b | 11.6/6.1 | 80.3 | 44.4 | 13 | ||
| 52 a | gi|119720802 unknown ( B. rapa)_At3g17020 | 17.8/6.1 | 11.0/6.9 | 78.3 | 33.1 | 14 |
| 81 a | 14.1/6.4 | 78.3 | 43.6 | 12 | ||
| 64 a | gi|2497857 mitochondrial malate dehydrogenase 1 ( B. rapa)_At1g53240 | 35.7/9.0 | 30.0/6.4 | 186.3 | 46 | 73 |
| 71 a | gi|7076772 dynamin-like protein 4 (ADL4) ( A. thaliana)_At3g60190 | 69.8/7.2 | 67.0/7.2 | 200 | 18 | 13 |
| 82 c | gi|4928472 type 2 peroxiredoxin ( B. rapa subsp. pekinensis)_At1g65980 | 17.4/5.3 | 15.8/5.9 | 120.4 | 53.7 | 24 |
| 123 c | 16.7/5.5 | 118.3 | 58 | 20 | ||
| 104 b | gi|15238284 cystathionine β-synthase (CBS) family protein ( A. thaliana)_ At5g10860 gi|297811195 CBS family protein (A. thaliana)_ At5g10860 | 22.7/9.4 22.7/9.4 | 13.7/6.9 | 78.3 | 16.5 | 14 |
| 144 a | 14.8/6.6 | 40.3 | 20.9 | 9 | ||
| 145 a | 14.3/6.6 | 124.3 | 20.9 | 26 | ||
| 146 a | 14.3/6.5 | 98.2 | 20.9 | 24 | ||
| 185 b | 16.0/7.4 | 40.2 | 20.9 | 5 | ||
| 120 b | gi|15242351 alpha-1,4-glucan-protein synthase (UDP-forming) ( A. thaliana)_At5g15650 | 40.9/5.7 | 35.0/3.7 | 212.3 | 43.9 | 35 |
| 121 c | gi|3551243 water-Soluble Chlorophyll Protein ( B. oleracea var. botrytis)_At1g72290 | 23.5/8.4 | 16.7/5.7 | 100.3 | 23.9 | 114 |
| 129 b | 17.7/8.0 | 30.2 | 16.1 | 4 | ||
| 122 c | gi|183988826 trypsin inhibitor ( B. oleracea_At1g73260 | 17.5/8.3 | 17.0/5.7 | 130.3 | 71.1 | 70 |
| 173 b | 16.0/6.3 | 30.3 | 27.7 | 7 | ||
| 184 b | 21.7/5.9 | 34 | 40.26 | 7 | ||
| 126 b | gi|157849664 bet v I allergen family protein ( B. rapa)_At1g24020 | 17.2/5.2 | 11.6/6.0 | 60.3 | 31 | 10 |
| 127 b | gi|119720766 hydrogen-transporting ATP synthase ( B. rapa)_At5g13450 | 26.8/9.3 | 21.9/6.4 | 30.2 | 14.8 | 6 |
| 139 a | 21.8/6.3 | 136.3 | 35.6 | 27 | ||
| 128 b | gi|219902057 unnamed protein product ( B. napus)_At5g13120 | 27.3/9.9 | 19.2/8.0 | 50.3 | 26.2 | 11 |
| 130 b | 17.1/6.5 | 70.3 | 31.7 | 14 | ||
| 134 a | gi|75313132 CLP protease proteolytic subunit 6 ( A. thaliana)_At1g11750 | 29.4/9.6 | 20.0/4.1 | 20.2 | 10.7 | 4 |
| 135 a | gi|295421165 unnamed protein product ( B. napus)_At3g61440 | 39.8/8.9 | 32.0/7.1 | 70.3 | 18.2 | 12 |
| 138 a | gi|20140684 translationally-controlled tumor protein homolog_( B. oleraceae)At5g61770 | 19.0/4.5 | 20.8/5.2 | 30.2 | 19.6 | 6 |
| 140 a | gi|27734544 40S ribosomal protein S5-1 ( A. thaliana)_At2g37270 | 23.0/10.1 | 23.7/8.4 | 20.3 | 13.5 | 4 |
| 142 a | gi|296512706 unnamed protein product ( B. napus)_At2g29500 | 17.8/6.4 | 14.6/6.5 | 30.2 | 21.2 | 6 |
| 143 a | gi|126095240 calmodulin ( N. caerulescens)_At3g43810 | 16.8/3.9 | 20.0/6.6 | 30.3 | 31.5 | 4 |
| 148 a | gi|730129 Nucleoside diphosphate kinase 1 ( A. thaliana)_At4g09320 | 16.5/6.4 | 14.2/7.3 | 20.2 | 16.8 | 3 |
| 169 b | gi|257333266 unnamed protein product ( B. napus)_At1g27130 | 24.9/5.9 | 23.0/4.1 | 50.3 | 20.7 | 7 |
| 170 b | gi|157849652 pollen coat protein ( B. rapa)_At1g76180 | 21.6/5.2 | 22.5/4.1 | 20.3 | 17.70 | 3 |
| 178 b | gi|12585530 vacuolar proton-ATPase subunit F ( A. thaliana)_At4g02620 | 14.3/6.1 | 10.5/6.2 | 50.2 | 42.2 | 9 |
| 183 b | gi|297800752 ATARD2 with metal ion binding activities ( A. lyrata subsp. lyrata)_At4g14710 | 23.3/4.9 | 20.8/5.8 | 70.3 | 28.1 | 15 |
| Spot No. | Allergen-Scientific Name a | Allergen Description_Species b | Category c | Length/Identity d | Score e | Allergen Quantity (%) f at Harvest | Allergen Quantity (%) f after Cooking | ||
|---|---|---|---|---|---|---|---|---|---|
| 102 | 103 | 102 | 103 | ||||||
| 11 | Alt a 4 | Protein disulfide-isomerase (PDI) (EC 5.3.4.1)_ Alternaria alternata | Areo Fungi | 327/29% | 116 | 0.30 ± 0.08 | 0.25 ± 0.01 | 0.48 ± 0.35 | 0.31 ± 0.10 |
| 28 | Hev b 10.0101 | Superoxide dismutase [Mn], mitochondrial (EC 1.15.1.1)_ Hevea brasiliensis | Contact | 230/79% | 402 | 0.07 ± 0.10 | 0.04 ± 0.06 | 0.09 ± 0.13 | 0.03 ± 0.04 |
| 41 | Mal f 2 | Putative peroxiredoxin (1.11.1.15) (Thioredoxin reductase) (MF1)_ Malassezia furfur | Contact | 121/42% | 112 | 0.25 ± 0.05 | 0.58 ± 0.09 | ND | ND |
| 43 | 121/41% | 109 | |||||||
| 44 | Bet v 7 | Peptidyl-prolyl
cis–trans isomerase (EC 5.2.1.8)_Betula pendula | Aero Plant | 169/86% | 318 | ND | ND | 0.19 ± 0.02 | 0.40 ± 0.57 |
| 128, 130 | 171/63% | 225 | |||||||
| 64 | Mala f 4 | Malate dehydrogenase (EC 1.1.1.37)_ M. furfur | Contact | 344/52% | 336 | ND | 0.08 ± 0.03 | ND | ND |
| 82, 123 | Mal f 3 | Putative peroxiredoxin (1.11.1.15) (Thioredoxin reductase) (MF2)_ M. furfur | Contact | 166/39% | 133 | ND | 0.76 ± 0.47 | ND | 1.31 ± 0.25 |
| 121, 129 | Gly m | Kunitz trypsin inhibitor, Glycinin_ Glycine max | Food Plant | 200/25% | 46 | ND | 4.04 ± 1.14 | 0.23 ± 0.33 | 6.48 ± 4.15 |
| 122, 173, 184 | 164/30% | 69.3 | |||||||
| 126 | Car b 1 | Major pollen allergen Car b 1 isoform 2 (Allergen Car b I)_ Carpinus betulus | Aero Plant | 158/34% | 74.9 | ND | ND | 0.38 ± 0.54 | ND |
| 143 | Tyr p | Torponin C_ Tyrophagus putrescentia | Aero Insect | 148/43% | 113 | 0.09 ± 0.13 | ND | ND | ND |
2.4. Level of Glucosinolates Increased in Inbred Broccoli
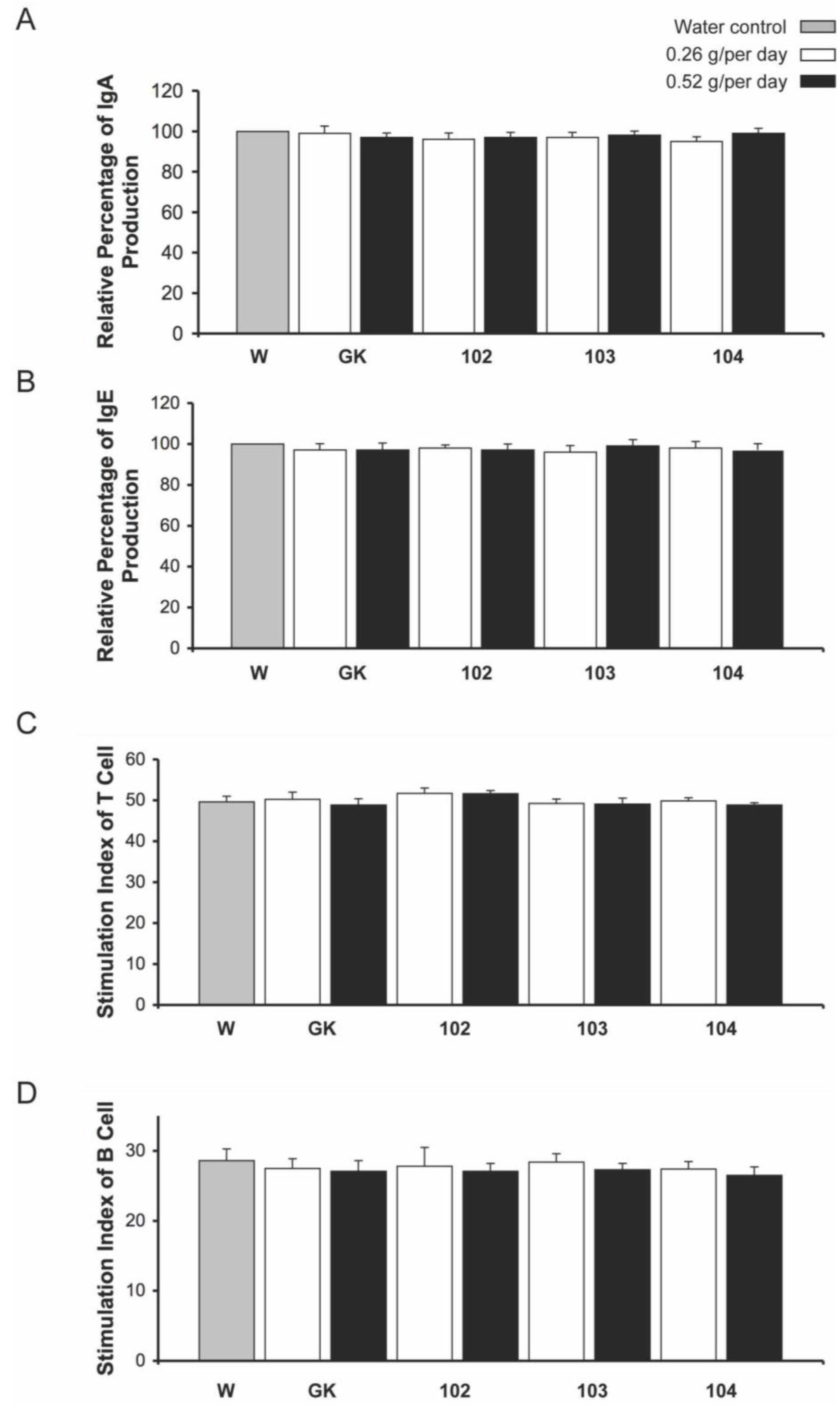
2.5. Mice Fed Ipt-Transgenic Broccoli Showed Normal Phenotype and Physiologic Features


| Broccoli Line, Level (g/day) | Immune Cell Population | ||
|---|---|---|---|
| CD3/4 | CD3/8 | CD19 | |
| GK | |||
| 0.26 | 33.48 ± 1.38 | 21.46 ± 1.63 | 44.27 ± 2.28 |
| 0.52 | 32.81 ± 1.99 | 21.51 ± 1.08 | 44.15 ± 3.22 |
| 102 | |||
| 0.26 | 32.76 ± 1.26 | 22.12 ± 1.36 | 42.12 ± 1.67 |
| 0.52 | 34.86 ± 1.11 | 21.05 ± 2.88 | 43.89 ± 2.11 |
| 103 | |||
| 0.26 | 32.12 ± 1.21 | 22.42 ± 2.54 | 44.16 ± 1.66 |
| 0.52 | 32.15 ± 1.85 | 22.24 ± 2.57 | 44.26 ± 2.54 |
| 104 | |||
| 0.26 | 33.26 ± 1.52 | 21.52 ± 1.55 | 44.52 ± 1.44 |
| 0.52 | 33.33 ± 1.52 | 22.16 ± 2.24 | 43.62 ± 2.27 |
3. Experimental Section
3.1. Plant Materials
3.2. Proximate Analysis of Macronutrients, Chemicals and Minerals
3.3. Protein Extraction, Electrophoresis, Gel Staining and Image Analysis, and Identification by Liquid Chromatography-Electrospray Ionization-Tandem Mass Spectrometry (LC–ESI-MS/MS)
3.4. Search for Functional Homologs and Potential Allergenic Property
3.5. Glucosinolate Extraction and Analysis
3.6. Mice
3.7. Broccoli Feeding of Mice
3.8. Determination of Immunoglobulin (Ig) Level in Stool and Serum
3.9. Quantification of Phagocyte Activity in Mice
3.10. Determination of Cell Populations in Splenocytes
3.11. Assay of Proliferation of B and T Cells
3.12. Statistical Analysis
4. Conclusions
Supplementary Materials
Supplementary Files
Supplementary File 1Acknowledgments
Author Contributions
Conflicts of Interest
References
- Bouis, H.E. The potential of genetically modified food crops to improve human nutrition in developing countries. J. Dev. Stud. 2007, 43, 79–96. [Google Scholar]
- Avni, A.; Blazquez, M.A. Can plant biotechnology help in solving our food and energy shortage in the future? Curr. Opin. Biotechnol. 2011, 22, 220–223. [Google Scholar] [CrossRef]
- Kok, E.J.; Kuiper, H.A. Comparative safety assessment for biotech crops. Trends Biotechnol. 2003, 21, 439–444. [Google Scholar]
- Farre, G.; Ramessar, K.; Twyman, R.M.; Capell, T.; Christou, P. The humanitarian impact of plant biotechnology: Recent breakthroughs vs bottlenecks for adoption. Curr. Opin. Plant Biol. 2010, 13, 219–225. [Google Scholar] [CrossRef]
- Wu, F. Mycotoxin reduction in Bt corn: Potential economic, health, and regulatory impacts. Transgenic Res. 2006, 15, 277–289. [Google Scholar] [CrossRef]
- James, C. Global Status of Commercialized Biotech/GM Crops: 2011; ISAAA Briefs No. 43; ISAAA: Ithaca, NY, USA, 2011. [Google Scholar]
- Levidow, L.; Boschert, K. Segregating GM crops: Why a contentious “risk” issue in Europe? Sci. Cult. 2011, 20, 255–279. [Google Scholar] [CrossRef]
- Hsieh, Y.T.; Pan, T.M. Influence of planting papaya ringspot virus resistant transgenic papaya on soil microbial biodiversity. J. Agric. Food Chem. 2006, 54, 130–137. [Google Scholar] [CrossRef]
- Committee on Identifying and Assessing Unintended Effects of Genetically Engineered Foods on Human Health; Food and Nutrition Board; Institute of Medicine; Board on Agriculture and Natural Resources; Board on Life Sciences; Division on Earth and Life Studies; National Research Council. Safety of Genetically Engineered Foods: Approaches to Assessing Unintended Health Effects; The National Academies Press: Washington, DC, USA, 2004; pp. 3–5. [Google Scholar]
- Bannon, G.A. What makes a food protein an allergen? Curr. Allergy Asthma R. 2004, 4, 43–46. [Google Scholar] [CrossRef]
- Vasconcelos, I.M.; Siebra, E.A.; Maia, A.A.B.; Moreira, R.A.; Neto, A.F.; Campelo, G.J.A.; Oliveira, J.T.A. Composition, toxic and antinutritional factors of newly developed cultivars of Brazilian soybean (Glycine max). J. Sci. Food Agric. 1997, 75, 419–426. [Google Scholar] [CrossRef]
- Becker-Ritt, A.B.; Mulinari, F.; Vasconcelos, I.M.; Carlini, C.R. Antinutritional and/or toxic factors in soybean (Glycine max (L) Merril) seeds: Comparison of different cultivars adapted to the southern region of Brazil. J. Sci. Food Agric. 2004, 84, 263–270. [Google Scholar] [CrossRef]
- Miyake, K.; Tanaka, T.; McNeil, P.L. Lectin-Based food poisoning: A new mechanism of protein toxicity. PLoS One 2007, 2, e687. [Google Scholar]
- Kushad, M.M.; Brown, A.F.; Kurilich, A.C.; Juvik, J.A.; Klein, B.P.; Wallig, M.A.; Jeffery, E.H. Variation of glucosinolates in vegetable crops of Brassica oleracea. J. Agric. Food Chem. 1999, 47, 1541–1548. [Google Scholar] [CrossRef]
- Keck, A.S.; Finley, J.W. Cruciferous vegetables: Cancer protective mechanisms of glucosinolate hydrolysis products and selenium. Integr. Cancer. Ther. 2004, 3, 5–12. [Google Scholar] [CrossRef]
- Tripathi, M.K.; Mishra, A.S. Glucosinolates in animal nutrition: A review. Anim. Feed Sci. Technol. 2007, 132, 1–27. [Google Scholar] [CrossRef]
- Kuiper, H.A.; Kok, E.J.; Engel, K.H. Exploitation of molecular profiling techniques for GM food safety assessment. Curr. Opin. Biotechnol. 2003, 14, 238–243. [Google Scholar] [CrossRef]
- Cellini, F.; Chesson, A.; Colquhoun, I.; Constable, A.; Davies, H.V.; Engel, K.H.; Gatehouse, A.M.R.; Karenlampi, S.; Kok, E.J.; Leguay, J.J.; et al. Unintended effects and their detection in genetically modified crops. Food Chem. Toxicol. 2004, 42, 1089–1125. [Google Scholar] [CrossRef]
- Konig, A.; Cockburn, A.; Crevel, R.W.R.; Debruyne, E.; Grafstroem, R.; Hammerling, U.; Kimber, I.; Knudsen, I.; Kuiper, H.A.; Peijnenburg, A.A.C.M.; et al. Assessment of the safety of foods derived from genetically modified (GM) crops. Food Chem. Toxicol. 2004, 42, 1047–1088. [Google Scholar] [CrossRef]
- Chen, L.F.O.; Hwang, J.Y.; Charng, Y.Y.; Sun, C.W.; Yang, S.F. Transformation of broccoli (Brassica oleracea var. italica) with isopentenyltransferase gene via Agrobacterium tumefaciens for post-harvest yellowing retardation. Mol. Breed. 2001, 7, 243–257. [Google Scholar] [CrossRef]
- Chan, L.F.; Chen, L.F.O.; Lu, H.Y.; Lin, C.H.; Huang, H.C.; Ting, M.Y.; Chang, Y.M.; Lin, C.Y.; Wu, M.T. Growth, yield and shelf-life of isopentenyltransferase (ipt)-gene transformed broccoli. Can. J. Plant Sci. 2009, 89, 701–711. [Google Scholar] [CrossRef]
- Liu, M.S.; Li, H.C.; Chang, Y.M.; Wu, M.T.; Chen, L.F. Proteomic analysis of stress-related proteins in transgenic broccoli harboring a gene for cytokinin production during postharvest senescence. Plant Sci. 2011, 181, 288–299. [Google Scholar] [CrossRef]
- Liu, M.S.; Li, H.C.; Lai, Y.M.; Lo, H.F.; Chen, L.F. Proteomics and transcriptomics of broccoli subjected to exogenously supplied and transgenic senescence-induced cytokinin for amelioration of postharvest yellowing. J. Proteomics 2013, 93, 133–144. [Google Scholar] [CrossRef]
- Sathe, S.K.; Teuber, S.S.; Roux, K.H. Effects of food processing on the stability of food allergens. Biotechnol. Adv. 2005, 23, 423–429. [Google Scholar]
- Craig, W.; Tepfer, M.; Degrassi, G.; Ripandelli, D. An overview of general features of risk assessments of genetically modified crops. Euphytica 2008, 164, 853–880. [Google Scholar] [CrossRef]
- Houston, N.L.; Fan, C.; Xiang, J.Q.; Schulze, J.M.; Jung, R.; Boston, R.S. Phylogenetic analyses identify 10 classes of the protein disulfide isomerase family in plants, including single-domain protein disulfide isomerase-related proteins. Plant Physiol. 2005, 137, 762–778. [Google Scholar] [CrossRef]
- Alscher, R.G.; Erturk, N.; Heath, L.S. Role of superoxide dismutases (SODs) in controlling oxidative stress in plants. J. Exp. Bot. 2002, 53, 1331–1341. [Google Scholar] [CrossRef]
- Dietz, K.J.; Jacob, S.; Oelze, M.L.; Laxa, M.; Tognetti, V.; de Miranda, S.M.; Baier, M.; Finkemeier, I. The function of peroxiredoxins in plant organelle redox metabolism. J. Exp. Bot. 2006, 57, 1697–1709. [Google Scholar] [CrossRef]
- Ryan, C.A. Protease inhibitors in plants—Genes for improving defenses against insects and pathogens. Annu. Rev. Phytopathol. 1990, 28, 425–449. [Google Scholar]
- Vanderjagt, D.J.; Freiberger, C.; Vu, H.T.N.; Mounkaila, G.; Glew, R.S.; Glew, R.H. The trypsin inhibitor content of 61 wild edible plant foods of Niger. Plant Food Hum. Nutr. 2000, 55, 335–346. [Google Scholar] [CrossRef]
- Oerlemans, K.; Barrett, D.M.; Suades, C.B.; Verkerk, R.; Dekker, M. Thermal degradation of glucosinolates in red cabbage. Food Chem. 2006, 95, 19–29. [Google Scholar] [CrossRef]
- Shapiro, T.A.; Fahey, J.W.; Dinkova-Kostova, A.T.; Holtzclaw, W.D.; Stephenson, K.K.; Wade, K.L.; Ye, L.; Talalay, P. Safety, tolerance, and metabolism of broccoli sprout glucosinolates and isothiocyanates: A clinical phase I study. Nutr. Cancer 2006, 55, 53–62. [Google Scholar] [CrossRef]
- Fagarasan, S.; Honjo, T. Intestinal IgA synthesis: Regulation of front-line body defences. Nat. Rev. Immunol. 2003, 3, 63–72. [Google Scholar] [CrossRef]
- Macpherson, A.J.; McCoy, K.D.; Johansen, F.E.; Brandtzaeg, P. The immune geography of IgA induction and function. Mucosal Immunol. 2008, 1, 11–22. [Google Scholar] [CrossRef]
- Gould, H.J.; Sutton, B.J.; Beavil, A.J.; Beavil, R.L.; McCloskey, N.; Coker, H.A.; Fear, D.; Smurthwaite, L. The biology of IGE and the basis of allergic disease. Annu. Rev. Immunol. 2003, 21, 579–628. [Google Scholar] [CrossRef]
- Beyer, K.; Teuber, S. The mechanism of food allergy: What do we know today? Curr. Opin. Allergy Clin. Immunol. 2004, 4, 197–199. [Google Scholar] [CrossRef]
- Horwitz, W. Official Methods of Analysis of AOAC Internatioal, 17th ed.; AOAC International: Gaithersburg, MD, USA, 2000. [Google Scholar]
- Conway, E.J. Microdiffusion Analysis and Volumetric Error, 4th ed.; Crosby and Lookwood and Son, Ltd.: London, UK, 1957. [Google Scholar]
- Dubois, M.; Gilles, K.; Hamilton, J.K.; Rebers, P.A.; Smith, F. A chlorimetric method for the determination of sugars. Nature 1951, 168, 167. [Google Scholar]
- National Center for Biotechnology Information database. Available online: http://www.ncbi.nlm.nih.gov/ (accessed on 9 March 2012).
- Allergen Database for Food Safety. Available online: http://allergen.nihs.go.jp/ADFS/ (accessed on 9 March 2012).
- Truscott, R.J.W.; Minchinton, I.; Sang, J. The isolation and purification of indole glucosinolates from Brassica species. J. Sci. Food Agric. 1983, 34, 247–254. [Google Scholar] [CrossRef]
- Shikita, M.; Fahey, J.W.; Golden, T.R.; Holtzclaw, W.D.; Talalay, P. An unusual case of “uncompetitive activation” by ascorbic acid: Purification and kinetic properties of a myrosinase from Raphanus sativus seedlings. Biochem. J. 1999, 341, 725–732. [Google Scholar] [CrossRef]
- Smith, C.A.; Dacombe, C. Rapid method for determining total glucosinolates in rapeseed by measurement of enzymatically released glucose. J. Sci. Food Agric. 1987, 38, 141–150. [Google Scholar] [CrossRef]
- Reagan-Shaw, S.; Nihal, M.; Ahmad, N. Dose translation from animal to human studies revisited. Faseb J. 2008, 22, 659–661. [Google Scholar] [CrossRef]
- Peters, I.R.; Calvert, E.L.; Hall, E.J.; Day, M.J. Measurement of immunoglobulin concentrations in the feces of healthy dogs. Clin. Diagn. Lab. Immunol. 2004, 11, 841–848. [Google Scholar]
- Fang, S.H.; Hou, Y.C.; Chang, W.C.; Hsiu, S.L.; Chao, P.D.L.; Chiang, B.L. Morin sulfates/glucuronides exert anti-inflammatory activity on activated macrophages and decreased the incidence of septic shock. Life Sci. 2003, 74, 743–756. [Google Scholar] [CrossRef]
- Li, C.Y.; Lin, H.C.; Lai, C.H.; Lu, J.J.Y.; Wu, S.F.; Fang, S.H. Immunomodulatory effects of Lactobacillus and Bifidobacterium on both murine and human mitogen-activated T cells. Int. Arch. Allergy Immunol. 2011, 156, 128–136. [Google Scholar]
- Fang, S.H.; Hwang, L.H.; Chen, D.S.; Chiang, B.L. Ribavirin enhancement of hepatitis C virus core antigen-specific type 1 T helper cell response correlates with the increased IL-12 level. J. Hepatol. 2000, 33, 791–798. [Google Scholar]
- Rao, Y.K.; Fang, S.H.; Tzeng, Y.M. Differential effects of synthesized 2'-oxygenated chalcone derivatives: Modulation of human cell cycle phase distribution. Bioorg. Med. Chem. 2004, 12, 2679–2686. [Google Scholar] [CrossRef]
© 2014 by the authors; licensee MDPI, Basel, Switzerland. This article is an open access article distributed under the terms and conditions of the Creative Commons Attribution license (http://creativecommons.org/licenses/by/3.0/).
Share and Cite
Liu, M.-S.; Ko, M.-H.; Li, H.-C.; Tsai, S.-J.; Lai, Y.-M.; Chang, Y.-M.; Wu, M.-T.; Chen, L.-F.O. Compositional and Proteomic Analyses of Genetically Modified Broccoli (Brassica oleracea var. italica) Harboring an Agrobacterial Gene. Int. J. Mol. Sci. 2014, 15, 15188-15209. https://doi.org/10.3390/ijms150915188
Liu M-S, Ko M-H, Li H-C, Tsai S-J, Lai Y-M, Chang Y-M, Wu M-T, Chen L-FO. Compositional and Proteomic Analyses of Genetically Modified Broccoli (Brassica oleracea var. italica) Harboring an Agrobacterial Gene. International Journal of Molecular Sciences. 2014; 15(9):15188-15209. https://doi.org/10.3390/ijms150915188
Chicago/Turabian StyleLiu, Mao-Sen, Miau-Hwa Ko, Hui-Chun Li, Shwu-Jene Tsai, Ying-Mi Lai, You-Ming Chang, Min-Tze Wu, and Long-Fang O. Chen. 2014. "Compositional and Proteomic Analyses of Genetically Modified Broccoli (Brassica oleracea var. italica) Harboring an Agrobacterial Gene" International Journal of Molecular Sciences 15, no. 9: 15188-15209. https://doi.org/10.3390/ijms150915188
APA StyleLiu, M.-S., Ko, M.-H., Li, H.-C., Tsai, S.-J., Lai, Y.-M., Chang, Y.-M., Wu, M.-T., & Chen, L.-F. O. (2014). Compositional and Proteomic Analyses of Genetically Modified Broccoli (Brassica oleracea var. italica) Harboring an Agrobacterial Gene. International Journal of Molecular Sciences, 15(9), 15188-15209. https://doi.org/10.3390/ijms150915188
