Abstract
The present study was aimed at discovering novel biologically active compounds based on the skeletons of gingerol and shogaol, the pungent principles from the rhizomes of Zingiber officinale. Therefore, eight groups of analogues were synthesized and examined for their inhibitory activities of platelet aggregation induced by arachidonic acid, collagen, platelet activating factor, and thrombin. Among the tested compounds, [6]-paradol (5b) exhibited the most significant anti-platelet aggregation activity. It was the most potent candidate, which could be used in further investigation to explore new drug leads.
1. Introduction
Ginger (Chinese name: Shengjiang), derived from the rhizomes of Zingiber officinale Roscoe, is a well-known spice and is most frequently prescribed as a traditional Chinese medicine for its stomachic, antiemetic, antidiarrheal, expectorant, antiasthmatic, hemostatic and cardiologic properties for the treatment of several gastrointestinal and respiratory diseases [1–3]. The most famous traditional medicinal application of Z. officinale is to promote blood circulation for the removal of blood stasis, a mechanism that is related to anti-platelet aggregation activity [4,5]. Numerous chemical investigations of the pungent and bioactive principles of ginger have been carried out [6–19]. The pungent principles reported from the rhizomes of Zingiber officinale include: zingerone, gingerols, gingerdiols, gingerdiones, and shogaols (Figure 1).
Figure 1.
Chemical structures of the pungent principles from the rhizomes of Zingiber officinale.
In the course of our continuing research program aimed at discovering novel bioactive constituents from natural sources, thrombolytic and vasoactive activity examinations were carried out, and the ether extracts of the rhizomes of Z. officinale were found to exhibit significant anti-platelet aggregation activity and vasorelaxing effects. In our previous article [20], twenty-nine compounds were identified, and [6]-gingerol and [6]-shogaol exhibited potent anti-platelet aggregation bioactivity. These results initiated our interest in searching for more potent antiplatelet aggregation agents from the analogues of gingerol and shogaol. Therefore, in the present study eight groups of compounds (Figure 2) were prepared and subjected to examinations of their anti-platelet aggregation activity.

Figure 2.
Chemical structures of the synthetic analogues of gingerol and shogaol.
2. Results and Discussion
2.1. Chemistry
At first, the dehydrozingerone 9 was prepared by vanillin condensation with a good yield (89%), Equation (1). Then the cross aldol condensations of α,β-unsaturated ketone 9 with different aldehydes were investigated using various bases as catalysts. The major products were the dehydrogingerols 3a–f, and the minor products dehydroshogaols 2a–f were obtained in the optimum yield (6%–15%) when lithium bis(trimethylsilyl)amide (LiHMDS) was employed. Therefore, deprotonation of 9 with LiHMDS in tetrahydrofuran at 0 °C and subsequent trapping with aldehydes Equation (2) afforded products 2a–f and 3a–f with moderate yields in a range between 50% and 66% (Table 1).
Table 1.
The yields of products 2 and 3 from cross aldol condensation.
However, similar reaction conditions under air atmosphere furnished low yields of [n]-epoxy-dehydroparadols 7a–f (Equation (3), Table 2), and comparatively, relatively higher yields of dehydroshogaols 2a–f (15%–21%).
Table 2.
Cross aldol condensation under air atmosphere.
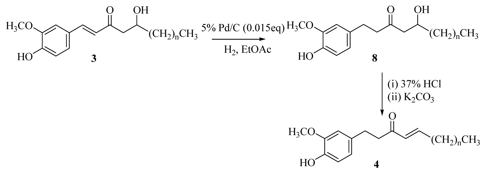
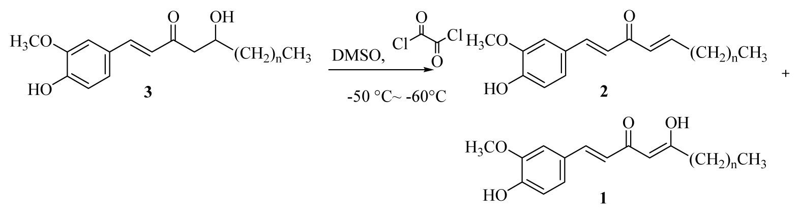
Chlorination and dehydrohalogenation of alcohols 3a–f with HCl and K2CO3, respectively, produced quantitative yields of adducts 2a–f Equation (4) and reduced the occurrence of trace amounts of 10. The catalytic hydrogenation of [n]-dehydroshogaols 2a–f over palladium on charcoal afforded [n]-paradols 5 and trace amounts of secondary alcohol 11. It was surprising that [n]-dehydroparadols 6 could be obtained with the same method only reduced the amount of palladium on charcoal from 0.05 to 0.015 eq. The results are shown in Equation (5) and Table 3.
Table 3.
Hydrogenation of compound 2 to afford product 5 and 6.
The same hydrogenation procedure was applied in [n]-dehydrogingerols 3, and a high yield of [n]-gingerols 8 was obtained (83%–86%). Dehydration of 8 with HCl/K2CO3 gave approximately 85% of [n]-shogaols 4 (Equation (6), Table 4). Although there were many reagents available for the oxidation of secondary alcohols to ketone, unfortunately, most of these oxidizing agents did not show sufficient activity except in the case of Swern oxidation, which yielded a moderate amount of oxidized compound 1 (Equation (7), Table 5).
Table 4.
Hydrogenation and elimination of compound 3 to yield products 8 and 4.
Table 5.
The Swern oxidation of compound 3 to obtain products 2 and 1.
2.2. Anti-Platelet Aggregation Evaluation Bioassay
Platelets circulate in the blood of mammals and are involved in hemostasis, leading to the formation of blood clots. Too many platelets form blood clots that may obstruct blood vessels and induce strokes, myocardial infarctions, and pulmonary embolisms. Sometimes this situation also results in the blockage of blood vessels to other parts of the body, including the extremities of the arms or legs [21]. The traditional medicinal use of ginger is to promote the blood circulation necessary for removing blood stasis. Therefore, synthetic derivatives were examined in the anti-platelet aggregation bioassay to test for the presence of activity. The anti-platelet aggregation results are summarized in Tables 6–13. All the tested compounds displayed significant inhibitory effects on the aggregation of washed rabbit platelets stimulated by arachidonic acid (AA). At a 10 μg/mL concentration, most of the tested compounds with the exception of 3a, 3d, and 7e caused the inhibition percentages of aggregation induced by AA (100 μM) to be higher than 90%. On the other hand, the activities of these synthetic derivatives against platelet activating factor (PAF) and thrombin (Thr) induced aggregation were insignificant.
Table 6.
Antiplatelet activity of [n]-paradols 5a–f.
Table 7.
Antiplatelet activity of [n]-dehydroparadols 6a–f.
Table 8.
Antiplatelet activity of [n]-shogaols 4a–f.
Table 9.
Antiplatelet activity of [n]-dehydroshogaols 2a–f.
Table 10.
Antiplatelet activity of [n]-gingerols 8a–f.
Table 11.
Antiplatelet activity of [n]-dehydrogingerols 3a–f.
Table 12.
Antiplatelet activity of [n]-isodehydrogingerdiones 1a–c and e.
Table 13.
Antiplatelet activity of [n]-epoxydehydroparadols 7a–f.
Among these derivatives, the [n]-paradols (5a–f) series were the most active compounds, and [6]-paradol 5b displayed the most significant inhibition, with an IC50 value of 70 ng/mL (Table 6). [n]-Dehydroparadols (6a–f) were generally less potent than the corresponding [n]-paradols (5a–f) derivatives (Table 7). The most potent compound was [10]-dehydroparadol 6f (n = 8), with an IC50 value of 160 ng/mL, which was a 2.3-fold decrease in activity due to the introduction of an unsaturated C=C bond. The [n]-shogaols (4a–f) series (Table 8) also displayed weaker inhibition of aggregation induced by AA (100 μM) compared to their related [n]-paradol derivatives 5a–f; however, they were more active than the [n]-dehydroparadols (6a–f) series. It was evident that introduction of unsaturated C=C bonds would decrease the inhibitory activity. But the location of unsaturated C=C bonds also influences the inhibitory activity. The [n]-dehydroshogaols (2a–f) (Table 9) which possess one more α,β-unsaturation C=C bond exhibited further decreased inhibitory activity. However, their inhibition aggregation potency induced by collagen (Col) was generally more significant than their [n]-paradol counterparts 5a–f. Among the [n]-shogaols (4a–f) and [n]-dehydroshogaols (2a–f), [10]-shogaols (4f) (n = 8) exhibited the most significant inhibition of aggregation induced by Col (10 μM), with an IC50 value lower than 5 μg/mL. The possible mechanism was one in which the rigid styryl carbonyl ethylene prevented the alkyl tail from turning sideways, where a putative hydrophobic pocket may have been located. Therefore, a free alkyl chain could overcome such an effect.
The addition of a β-hydroxyl group to the α,β-unsaturated ketone to afford [n]-gingerols 8a–f, resulted in a reduction of anti-platelet aggregation activity (Table 10). The introduction of an unsaturated C=C bond to the gingerol skeleton as described above (3a–f) also reduced the inhibition percentages (Table 11). Similarly, a longer side chain produced a more potent derivative. Therefore, both [10]-gingerol 8f and [10]-dehydrogingerol 3f displayed more significant inhibition of aggregation induced by AA (100 μM) as compared to the analogues with shorter side chains.
The [n]-isodehydrogingerdiones 1a–e also showed significant inhibition of platelet aggregation induced by AA (Table 12). [7]-Isodehydrogingerdione 1c was found to be the most effective compound among this series, with an IC50 value of 0.68 μg/mL. Moreover, an epoxide ring next to the α,β-unsaturated ketone produced derivatives 7a–f of lower potency compared with [n]-paradols 5a–f. They were only as potent as the dehydroshogaol series, with IC50 values between 0.96 and 2.38 μg/mL. Apparently, [10]-epoxydehydroparadol 7f exhibited the most significant inhibitory effect among this series with an IC50 value of 0.96 μg/mL (Table 13).
3. Experimental Section
3.1. General
All the chemicals were purchased from Merck KGaA (Darmstadt, Germany), unless specifically indicated. Column chromatography was performed on silica gel (70–230 mesh, 230–400 mesh), and TLC monitoring was executed on Merck precoated Si gel 60 F254 plates, using UV light to visualize the spots. The melting points of the purified compounds were determined using a Yanagimoto micromelting point measuring apparatus (Tokyo, Japan) without corrections. The UV spectra were obtained on a Hitachi UV-3210 spectrophotometer (Tokyo, Japan). The IR spectra were obtained as KBr discs on a Jasco Report-100 FT-IR spectrometer (Tokyo, Japan). 1H and 13C NMR spectra were recorded on a Bruker AC-200 NMR spectrometer (Bruker, Billerica, MA, USA). Chemical shifts are shown in δ values (ppm) with tetramethylsilane as an internal standard. The EI mass and high-resolution mass spectra were measured on a VG Analytical Model 70-250S spectrometer (Micromass, Manchester, UK). Elemental analyses were performed on a Perkin-Elmer 240 analyzer (Waltham, MA, USA).
3.2. Synthesis of Derivatives and Spectral Data
3.2.1. Preparation of Dehydrozingerone (9)
10% Sodium hydroxide (7.0 g, 175 mmol) was added dropwise to a solution of vanillin (2.5 g, 16.4 mmol) in acetone (100 mL) at room temperature. The reaction mixture was stirred for 12 h, concentrated under reduced pressure, then neutralized by cold 5% HCl(aq). The solution was extracted with EtOAc (4 × 50 mL). The organic layers were combined, washed with saturated NaCl(aq) (brine), dried over MgSO4, and concentrated under reduced pressure. The product was isolated on silica gel column chromatography (EtOAc/hexanes = 1/4) to afford yellow needles (2.8 g, 89% yield).
Dehydrozingerone (9): mp 126–127 °C (lit. 128–129 °C) [1]; UV (MeOH) λmax 337, 299 (sh), 249 nm; IR (KBr) νmax 3312, 2949, 2848, 1670, 1639, 1581, 1515, 1427, 1298, 1218, 1024, 829 cm−1; 1H-NMR (CDCl3) δ 7.44 (1H, d, J = 16.0 Hz, H-1), 7.09 (1H, dd, J = 8.2, 1.8 Hz, H-6′), 7.05 (1H, d, J = 1.8 Hz, H-2′), 6.92 (1H, d, J = 8.0 Hz, H-5′), 6.58 (1H, d, J = 16.0 Hz, H-2), 6.02 (1H, br s, -OH), 3.93 (3H, s, -OCH3), 2.36 (3H, s, H-4); 13C-NMR (CDCl3) δ 198.4, 148.2, 146.7, 143.7, 126.8, 124.9, 123.4, 114.7, 109.2, 55.9, 27.2; EIMS m/z (rel. int.) 192 (M+, 93), 190 (20), 177 (100), 145 (47), 134 (21), 117 (27), 89 (31), 78 (23), 77 (24), 51 (24).
3.2.2. General Procedure for the Synthesis of [n]-Dehydroshogaols (2a–f) and [n]-Dehydrogingerols (3a–f)
A 1.0 M THF solution of lithium bis(trimethylsilyl)amide (20.8 mL) was added dropwise to a solution of dehydrozingerone (9) (2.0 g, 10.4 mmol) in dry THF (10 mL) at 0 °C under argon. After the mixture had been stirred for 1 h, the appropriate aldehyde (10.5 mmol) was added and stirred for another 15 min. The reaction was then quenched with 5% HCl(aq) at 0 °C and extracted with EtOAc (4 × 20 mL). The organic layers were combined, washed with brine, dried over MgSO4, and concentrated under reduced pressure. Products 2 and 3 were isolated using silica gel column chromatography (EtOAc/CH2Cl2 = 1/16).
[5]-Dehydroshogaol (2a): yellow syrup (9%); UV (MeOH) λmax (log ɛ) 356 (4.14), 255 (4.03) nm; IR (neat) νmax 3325, 2958, 2860, 1652, 1625, 1579, 1514, 1460, 1276, 1126, 1031 cm−1; 1H-NMR (CDCl3) δ 7.57 (1H, d, J = 15.8 Hz, H-1), 7.13 (1H, dd, J = 8.2, 2.0 Hz, H-6′), 7.06 (1H, d, J = 2.0 Hz, H-2′), 6.99 (1H, dt, J = 15.6, 6.8 Hz, H-5), 6.92 (1H, d, J = 8.2 Hz, H-5′), 6.80 (1H, d, J = 15.8 Hz, H-2), 6.44 (1H, dt, J = 15.6, 1.4 Hz, H-4), 6.04 (1H, br s, -OH), 3.93 (3H, s, -OCH3), 2.28 (2H, tdd, J = 6.8, 6.8, 1.4 Hz, H-6), 1.57–1.26 (4H, m, H-7, -8), 0.92 (3H, t, J = 7.0 Hz, H-9); 13C-NMR (CDCl3) δ 189.3, 148.2, 148.0, 146.8, 143.3, 129.0, 127.4, 123.3, 122.8, 114.8, 109.7, 56.0, 32.4, 30.3, 22.3, 13.8; EIMS m/z (rel. int.) 260 (M+, 66), 259 (26), 217 (56), 177 (80), 168 (45), 152 (65), 151 (100), 137 (40), 123 (21), 111 (35), 97 (35), 91 (23), 71 (44), 69 (55), 57 (94), 55 (85); HREIMS m/z 260.1410 [M]+ (Calcd for C16H20O3, 260.1412).
[5]-Dehydrogingerol (3a): yellow needles (65%), mp 143–144 °C (lit. 144–146 °C) [22]; UV (MeOH) λmax (log ɛ) 340 (4.46), 271 (sh) (3.62), 244 (4.11) nm; IR (KBr) νmax 3341, 3150, 2926, 2855, 1626, 1583, 1514, 1284, 1031, 972, 816 cm−1; 1H-NMR (CDCl3) δ 7.50 (1H, d, J = 16.2 Hz, H-1), 7.11 (1H, dd, J = 8.0, 1.8 Hz, H-6′), 7.05 (1H, d, J = 1.8 Hz, H-2′), 6.93 (1H, d, J = 8.0 Hz, H-5′), 6.58 (1H, d, J = 16.2 Hz, H-2), 6.02 (1H, br s, -OH), 4.13(1H, m, H-5), 3.93 (3H, s, -OCH3), 2.88 (1H, dd, J = 17.0, 2.8 Hz, H-4), 2.73 (1H, dd, J = 17.0, 8.8 Hz, H-4), 1.58–1.35 (6H, m, H-6~8), 0.92 (3H, t, J = 6.6 Hz, H-9); 13C-NMR (CDCl3) δ 200.9, 148.5, 146.8, 143.8, 126.6, 124.1, 123.7, 114.8, 109.4, 67.9, 56.0, 46.4, 36.2, 27.7, 22.6, 14.0; EIMS m/z (rel. int.) 278 (M+, 33), 192 (37), 177 (100), 150 (38), 145 (37), 137 (38), 89 (14); Anal. Calcd for C16H20O4: C, 69.06%; H, 7.91%; Found: C, 69.09%; H, 7.85%.
[6]-Dehydroshogaol (2b): yellow syrup (15%); UV (MeOH) λmax (log ɛ) 355 (4.02), 258 (3.93) nm; IR(neat) νmax 3354, 2956, 2856, 1654, 1625, 1581, 1514, 1267, 1207, 1033 cm−1; 1H-NMR (CDCl3) δ 7.58 (1H, d, J = 15.8 Hz, H-1), 7.14 (1H, dd, J = 8.2, 1.8 Hz, H-6′), 7.07 (1H, d, J = 1.8 Hz, H-2′), 7.00 (1H, dt, J = 15.6, 7.0 Hz, H-5), 6.94 (1H, d, J = 8.2 Hz, H-5′), 6.81 (1H, d, J = 15.8 Hz, H-2), 6.43 (1H, dt, J = 15.6, 1.4 Hz, H-4), 5.97 (1H, br s, -OH), 3.94 (3H, s, -OCH3), 2.27 (2H, tdd, J = 7.0, 6.8, 1.4 Hz, H-6), 1.57–1.25 (6H, m, H-7~9), 0.90 (3H, t, J = 6.7 Hz, H-10); 13C-NMR (CDCl3) δ 189.3, 148.1, 148.0, 147.2, 143.3, 129.0, 127.4, 123.3, 122.8, 114.8, 109.7, 56.0, 32.7, 31.4, 27.9, 22.4, 14.0; EIMS m/z (rel. int.) 274 (M+, 100), 273 (36), 217 (82), 177 (81), 152 (21), 151 (36), 145 (20), 137 (45), 57 (36), 55 (44); HREIMS m/z 274.1571 [M]+ (Calcd for C17H22O3, 274.1568).
[6]-Dehydrogingerol (3b): yellow needles (59%), mp 123–124 °C (lit. 134–136 °C) [22]; UV (MeOH) λmax (log ɛ) 341 (4.34), 270 (sh) (3.59), 247 (3.98) nm; IR (KBr) νmax 3460, 3161, 2962, 2858, 1675, 1589, 1517, 1433, 1281, 1223, 1174, 1076, 872 cm−1; 1H-NMR (CDCl3) δ 7.50 (1H, d, J = 16.0 Hz, H-1), 7.11 (1H, dd, J = 8.0, 2.0 Hz, H-6′), 7.05 (1H, d, J = 2.0 Hz, H-2′), 6.93 (1H, d, J = 8.2 Hz, H-5′), 6.58 (1H, d, J = 16.0 Hz, H-2), 4.14 (1H, m, H-5), 3.92 (3H, s, -OCH3), 2.88 (1H, dd, J = 17.2, 3.2 Hz, H-4), 2.72 (1H, dd, J = 17.2, 8.6 Hz, H-4), 1.51–1.25 (8H, m, H-6~9), 0.89 (3H, t, J = 6.4 Hz, H-10); 13C-NMR (CDCl3) δ 200.1, 150.2, 148.7, 143.8, 127.6, 125.1, 124.1, 116.1, 111.4, 68.5, 56.2, 48.4, 38.0, 32.6, 26.0, 23.3, 14.3; EIMS m/z (rel. int.) 292 (M+, 51), 192 (20), 177 (100), 150 (47), 137 (40), 89 (10).
[7]-Dehydroshogaol (2c): yellow syrup (13%); UV (MeOH) λmax (log ɛ) 357 (3.91), 261 (3.95) nm; IR (neat) νmax 3384, 2954, 2856, 1654, 1625, 1583, 1514, 1274, 1124, 1033 cm−1; 1H-NMR (CDCl3) δ 7.58 (1H, d, J = 15.8 Hz, H-1), 7.14 (1H, dd, J = 8.1, 1.8 Hz, H-6′), 7.08 (1H, d, J = 1.8 Hz, H-2′), 7.00 (1H, dt, J = 15.6, 6.9 Hz, H-5), 6.93 (1H, d, J = 8.1 Hz, H-5′), 6.81 (1H, d, J = 15.8 Hz, H-2), 6.43 (1H, dt, J = 15.6, 1.4 Hz, H-4), 5.92 (1H, br s, -OH), 3.94 (3H, s, -OCH3), 2.27 (2H, tdd, J = 6.9, 6.9, 1.4 Hz, H-6), 1.54–1.25 (8H, m, H-7~10), 0.89 (3H, t, J = 6.7 Hz, H-11); 13C-NMR (CDCl3) δ 189.3, 148.2, 148.0, 146.8, 143.4, 129.0, 127.3, 123.3, 122.7, 114.8, 109.7, 55.9, 32.7, 31.6, 28.9, 28.1, 22.5, 14.0; EIMS m/z (rel. int.) 288 (M+, 100), 287 (48), 217 (82), 204 (27), 177 (49), 137 (33); HREIMS m/z 288.1725 [M]+ (Calcd for C18H24O3, 288.1725).
[7]-Dehydrogingerol (3c): yellow needles (56%), mp 108–109 °C (lit. 110–112 °C) [22]; UV (MeOH) λmax (log ɛ) 340 (4.63), 271 (sh) (4.23), 252 (4.39) nm; IR (KBr) νmax 3447, 3258, 2926, 2855, 1694, 1589, 1512, 1437, 1279, 1221, 1053, 812 cm−1; 1H-NMR (CDCl3) δ 7.46 (1H, d, J = 16.0 Hz, H-1), 7.04 (1H, dd, J = 8.2, 1.8 Hz, H-6′), 7.00 (1H, d, J = 1.8 Hz, H-2′), 6.88 (1H, d, J = 8.0 Hz, H-5′), 6.53 (1H, d, J = 16.0 Hz, H-2), 4.17–4.06 (1H, m, H-5), 3.87 (3H, s, -OCH3), 2.85 (1H, dd, J = 17.0, 3.2 Hz, H-4), 2.71 (1H, dd, J = 17.0, 8.6 Hz, H-4), 1.58–1.25 (10H, m, H-6~10), 0.85 (3H, t, J = 6.6 Hz, H-11); 13C-NMR (CDCl3) δ 201.0, 148.6, 147.0, 143.9, 126.7, 124.1, 123.7, 115.0, 109.5, 68.0, 56.0, 46.5, 36.6, 31.8, 29.3, 25.5, 22.6, 14.0; EIMS m/z (rel. int.) 306 (M+, 26), 217 (23), 192 (44), 177 (100), 150 (34), 145 (38), 137 (17), 89 (14).
[8]-Dehydroshogaol (2d): yellow syrup (15%); UV (MeOH) λmax (log ɛ) 357 (4.10), 258 (3.96) nm; IR(neat) νmax 3395, 2925, 2856, 1660, 1614, 1581, 1514, 1278, 1174, 1033 cm−1; 1H-NMR (CDCl3) δ 7.58 (1H, d, J = 16.0 Hz, H-1), 7.12 (1H, dd, J = 8.2, 2.0 Hz, H-6′), 7.06 (1H, d, J = 2.0 Hz, H-2′), 6.99 (1H, dt, J = 15.6, 6.9 Hz, H-5), 6.93 (1H, d, J = 8.2 Hz, H-5′), 6.81 (1H, d, J = 16.0 Hz, H-2), 6.43 (1H, dt, J = 15.6, 1.4 Hz, H-4), 6.21 (1H, br s, -OH), 3.91 (3H, s, -OCH3), 2.26 (2H, tdd, J = 6.9, 6.9, 1.4 Hz, H-6), 1.52–1.27 (10H, m, H-7-11), 0.88 (3H, t, J = 6.8 Hz, H-12); 13C-NMR (CDCl3) δ 189.3, 148.2, 148.0, 146.8, 143.3, 129.0, 127.3, 123.2, 122.7, 114.8, 109.7, 55.9, 32.7, 31.7, 29.1, 29.0, 28.1, 22.6, 14.0; EIMS m/z (rel. int.) 302 (M+, 81), 301 (29), 217 (68), 177 (100), 150 (21), 137 (33), 55 (24); HREIMS m/z 302.1879 [M]+ (Calcd for C19H26O3, 302.1881).
[8]-Dehydrogingerol (3d): yellow needles (66%), mp 83–84 °C (lit. 88–90 °C) [22]; UV (MeOH) λmax (log ɛ) 340 (4.57), 270 (sh) (4.25), 247 (4.38) nm; IR (KBr) νmax 3451, 3215, 2924, 2855, 1680, 1585, 1510, 1433, 1280, 1116, 854 cm−1; 1H-NMR (CDCl3) δ 7.51 (1H, d, J = 16.0 Hz, H-1), 7.10 (1H, dd, J = 8.2, 1.8 Hz, H-6′), 7.06 (1H, d, J = 1.8 Hz, H-2′), 6.93 (1H, d, J = 8.2 Hz, H-5′), 6.59 (1H, d, J = 16.0 Hz, H-2), 4.17–4.06 (1H, m, H-5), 3.94 (3H, s, -OCH3), 2.88 (1H, dd, J = 17.2, 3.1 Hz, H-4), 2.72 (1H, dd, J = 17.2, 8.7 Hz, H-4), 1.56–1.26 (12H, m, H-6~11), 0.88 (3H, t, J = 6.4 Hz, H-12); 13C-NMR (CDCl3) δ 200.2, 150.2, 148.8, 143.9, 127.6, 125.0, 124.2, 116.1, 111.5, 68.6, 56.2, 48.4, 38.1, 32.5, 30.3, 30.0, 26.3, 23.2, 14.3; EIMS m/z (rel. int.) 320 (M+, 22), 192 (53), 177 (100), 150 (28), 145 (31), 137 (30), 84 (37), 69 (28), 57 (40), 55(55); Anal. Calcd. for C19H28O4: C, 71.25%; H, 8.75%; Found: C, 71.26%; H, 8.79%.
[9]-Dehydroshogaol (2e): yellow syrup (13%); UV (MeOH) λmax (log ɛ) 355 (4.02), 260 (4.03) nm; IR (neat) νmax 3358, 2925, 2856, 1641, 1587, 1525, 1274, 1120, 1037 cm−1; 1H-NMR (CDCl3) δ 7.57 (1H, d, J = 15.8 Hz, H-1), 7.11 (1H, dd, J = 8.2, 1.8 Hz, H-6′), 7.06 (1H, d, J = 1.8 Hz, H-2′), 6.99 (1H, dt, J = 15.4, 7.2 Hz, H-5), 6.91 (1H, d, J = 8.2 Hz, H-5′), 6.80 (1H, d, J = 15.8 Hz, H-2), 6.42 (1H, dt, J = 15.4, 1.3 Hz, H-4), 3.90 (3H, s, -OCH3), 2.25 (2H, tdd, J = 7.2, 6.8, 1.3 Hz, H-6), 1.41–1.26 (12H, m, H-7~12), 0.86 (3H, t, J = 6.6 Hz, H-13); 13C-NMR (CDCl3) δ 189.4, 148.3, 148.1, 146.9, 143.4, 129.0, 127.3, 123.3, 122.7, 114.9, 109.8, 56.0, 32.7, 31.8, 29.3, 29.2, 29.1, 28.2, 22.6, 14.1; EIMS m/z (rel. int.) 316 (M+, 100), 315 (36), 217 (83), 204 (23), 177 (86), 137 (44), 55 (21); HREIMS m/z 316.2040 [M]+ (Calcd for C20H28O3, 316.2038).
[9]-Dehydrogingerol (3e): yellow needles (58%), mp 93–94 °C (lit. 93–94 °C) [22]; UV (MeOH) λmax (log ɛ) 339 (4.50), 270 (sh) (4.10), 250 (4.27) nm; IR (KBr) νmax 3451, 2926, 2854, 1676, 1583, 1516, 1460, 1280, 1170, 1031, 977, 810 cm−1; 1H-NMR (CDCl3) δ 7.50 (1H, d, J = 16.0 Hz, H-1), 7.10 (1H, dd, J = 8.2, 1.8 Hz, H-6′), 7.05 (1H, d, J = 1.8 Hz, H-2′), 6.93 (1H, d, J = 8.2 Hz, H-5′), 6.59 (1H, d, J = 16.0 Hz, H-2), 4.17–4.06 (1H, m, H-5), 3.94 (3H, s, -OCH3), 2.87 (1H, dd, J = 17.1, 3.0 Hz, H-4), 2.72 (1H, dd, J = 17.1, 8.7 Hz, H-4), 1.56–1.28 (14H, m, H-6~12), 0.88 (3H, t, J = 6.4 Hz, H-13); 13C-NMR (CDCl3) δ 200.1, 150.1, 148.7, 143.8, 127.6, 125.0, 124.1, 116.1, 111.4, 68.5, 56.2, 48.4, 38.0, 32.6, 30.4, 30.3, 30.0, 26.3, 23.2, 14.3; EIMS m/z (rel. int.) 334 (M+, 33), 316 (27), 217 (22), 192 (50), 177 (100), 150 (30), 145 (27), 137 (46), 57 (20).
[10]-Dehydroshogaol (2f): yellow syrup (6%); UV (MeOH) λmax (log ɛ) 355 (4.18), 257 (4.04) nm; IR (neat) νmax 3533, 2925, 2856, 1660, 1614, 1581, 1514, 1278, 1201, 1120, 1031 cm−1; 1H-NMR (CDCl3) δ 7.58 (1H, d, J = 15.9 Hz, H-1), 7.13 (1H, dd, J = 8.2, 1.8 Hz, H-6′), 7.06 (1H, d, J = 1.8 Hz, H-2′), 6.99 (1H, dt, J = 15.6, 6.8 Hz, H-5), 6.91 (1H, d, J = 8.2 Hz, H-5′), 6.81 (1H, d, J = 15.9 Hz, H-2), 6.42 (1H, dt, J = 15.6, 1.4 Hz, H-4), 6.17 (1H, br s, -OH), 3.92 (3H, s, -OCH3), 2.25 (2H, tdd, J = 6.8, 6.8, 1.4 Hz, H-6), 1.52–1.26 (14H, m, H-7~13), 0.87 (3H, t, J = 6.7 Hz, H-14); 13C-NMR (CDCl3) δ 189.3, 148.2, 148.0, 146.8, 143.4, 129.0, 127.3, 123.3, 122.7, 114.8, 109.7, 55.9, 32.7, 31.8, 29.5, 29.4, 29.3, 29.2, 28.2, 22.7, 14.1; EIMS m/z (rel. int.) 330 (M+, 47), 217 (37), 177 (100), 152 (53), 150 (22), 137 (35), 97 (26), 85 (23), 71 (36), 57 (80), 55 (61); HREIMS m/z 330.2196 [M]+ (Calcd for C21H30O3, 330.2194).
[10]-Dehydrogingerol (3f): yellow needles (50%), mp 74–75 °C (lit. 76–77.5 °C) [22]; UV (MeOH) λmax (log ɛ) 340 (4.27), 273 (sh) (3.68), 239 (4.06) nm; IR (KBr) νmax 3414, 2926, 2855, 1656, 1587, 1515, 1460, 1281, 1169, 1031, 979, 810 cm−1; 1H-NMR (CDCl3) δ 7.51 (1H, d, J = 16.1 Hz, H-1), 7.11 (1H, dd, J = 8.1, 1.8 Hz, H-6′), 7.05 (1H, d, J = 1.8 Hz, H-2′), 6.93 (1H, d, J = 8.1 Hz, H-5′), 6.59 (1H, d, J = 16.1 Hz, H-2), 5.97 (1H, br s, -OH), 4.17–4.06 (1H, m, H-5), 3.93 (3H, s, -OCH3), 2.88 (1H, dd, J = 17.1, 3.0 Hz, H-4), 2.73 (1H, dd, J = 17.1, 8.7 Hz, H-4), 1.57–1.27 (16H, m, H-6~13), 0.88 (3H, t, J = 6.7 Hz, H-14); 13C-NMR (CDCl3) δ 200.9, 148.4, 146.8, 143.8, 126.7, 124.1, 123.7, 114.8, 109.4, 68.0, 55.9, 46.5, 36.5, 31.8, 29.5 (×2), 29.4, 29.3, 25.5, 22.6, 14.1; EIMS m/z (rel. int.) 348 (M+, 24), 232 (21), 192 (17), 177 (52), 150 (76), 145 (12), 137 (29), 97 (29), 91 (45), 57 (100).
3.2.3. General Procedure for the Synthesis of [n]-Epoxydehydroparadol (7a–f)
A 1.0 M THF solution of lithium bis(trimethylsilyl)amide (20.8 mL) was added dropwise to a solution of dehydrozingerone (9) (2.0 g, 10.4 mmol) in dry THF (10 mL) at 0 °C in an air atmosphere. After the mixture had been stirred for 1 h, the appropriate aldehyde (31.4 mmol) was added and stirred for 3 h. The reaction was then quenched with 5% HCl(aq) at 0 °C and extracted with EtOAc (4 × 20 mL). The organic layers were combined, washed with brine, dried over Na2SO4, and concentrated under reduced pressure. Products 2 and 7 were isolated using C-18 gel column chromatography (water/methanol = 1/2).
1-(4-Hydroxy-3-methoxyphenyl)-4,5-expoxynon-1-en-3-one (7a): yellow syrup (8%); UV (MeOH) λmax (log ɛ) 349 (4.09), 251 (3.75) nm; IR (KBr) νmax 3451, 2956, 2931, 1693, 1587, 1514, 1465, 1271, 1031 cm−1; 1H-NMR (CDCl3) δ 7.71 (1H, d, J = 16.0 Hz, H-1), 7.13 (1H, dd, J = 8.2, 1.8 Hz, H-6′), 7.06 (1H, d, J = 1.8 Hz, H-2′), 6.92 (1H, d, J = 8.2 Hz, H-5′), 6.71 (1H, d, J = 16.0 Hz, H-2), 6.01 (1H, br s, -OH), 3.92 (3H, s, -OCH3), 3.41 (1H, d, J = 2.0 Hz, H-4), 3.11 (1H, td, J = 5.3, 2.0 Hz, H-5), 1.74–1.25 (6H, m, H-6~8), 0.92 (3H, t, J = 6.8 Hz, H-9); 13C-NMR (CDCl3) δ 195.7, 148.7, 146.8, 145.2, 126.8, 124.2, 116.8, 114.8, 109.7, 59.6, 58.4, 56.0, 31.6, 27.9, 22.4, 13.9; EIMS m/z (rel. int.) 276 (M+, 38), 177 (100), 145 (20); HREIMS m/z 276.1363 [M]+ (Calcd for C16H20O4, 276.1361).
1-(4-Hydroxy-3-methoxyphenyl)-4,5-expoxydec-1-en-3-one (7b): yellow syrup (10%); UV (MeOH) λmax (log ɛ) 354 (4.27), 251 (3.93) nm; IR (neat) νmax 3414, 2954, 2862, 1676, 1585, 1512, 1460, 1272, 1031 cm−1; 1H-NMR (CDCl3) δ 7.71 (1H, d, J = 15.9 Hz, H-1), 7.13 (1H, dd, J = 8.1, 1.8 Hz, H-6′), 7.06 (1H, d, J = 1.8 Hz, H-2′), 6.91 (1H, d, J = 8.1 Hz, H-5′), 6.71 (1H, d, J = 15.9 Hz, H-2), 3.92 (3H, s, -OCH3), 3.41 (1H, d, J = 2.0 Hz, H-4), 3.12 (1H, td, J = 5.2, 2.0 Hz, H-5), 1.73–1.24 (8H, m, H-6~9), 0.89 (3H, t, J = 6.8 Hz, H-10); 13C-NMR (CDCl3) δ 195.6, 148.6, 146.7, 145.2, 126.8, 124.2, 116.8, 114.8, 109.7, 59.5, 58.4, 56.0, 31.8, 31.4, 25.4, 22.4, 13.9; EIMS m/z (rel. int.) 290 (M+, 39), 178 (21), 177 (100), 145 (22); HREIMS m/z 290.1516 [M]+ (Calcd for C17H22O4, 290.1518).
1-(4-Hydroxy-3-methoxyphenyl)-4,5-expoxyundec-1-en-3-one (7c): yellow syrup (9%); UV (MeOH) λmax (log ɛ) 352 (4.19), 254 (3.89) nm; IR (neat) νmax 3408, 2927, 2858, 1672, 1585, 1514, 1434, 1276, 1031 cm−1; 1H-NMR (CDCl3) δ 7.71 (1H, d, J = 15.8 Hz, H-1), 7.13 (1H, dd, J = 8.4, 2.0 Hz, H-6′), 7.06 (1H, d, J = 2.0 Hz, H-2′), 6.91 (1H, d, J = 8.4 Hz, H-5′), 6.70 (1H, d, J = 15.8 Hz, H-2), 6.05 (1H, br s, -OH), 3.92 (3H, s, -OCH3), 3.41 (1H, d, J = 2.0 Hz, H-4), 3.13 (1H, td, J = 5.0, 2.0 Hz, H-5), 1.73–1.29 (10H, m, H-6~10), 0.88 (3H, t, J = 6.8 Hz, H-11); 13C-NMR (CDCl3) δ 195.6, 148.6, 146.7, 145.2, 126.8, 124.2, 116.8, 114.8, 109.7, 59.5, 58.4, 56.0, 31.8, 31.6, 28.9, 25.7, 22.4, 13.9 ; EIMS m/z (rel. int.) 304 (M+, 46), 178 (26), 177 (100), 145 (26); HREIMS m/z 304.1673 [M]+ (Calcd for C18H24O4, 304.1674).
1-(4-Hydroxy-3-methoxyphenyl)-4,5-expoxydodec-1-en-3-one (7d): yellow syrup (9%); UV (MeOH) λmax (log ɛ) 351 (4.33), 255 (4.07) nm; IR(neat) νmax 3395, 2925, 2858, 1672, 1581, 1514, 1434, 1172, 1031 cm−1; 1H-NMR (CDCl3) δ 7.70 (1H, d, J = 16.0 Hz, H-1), 7.12 (1H, dd, J = 8.2, 2.0 Hz, H-6′), 7.05 (1H, d, J = 2.0 Hz, H-2′), 6.90 (1H, d, J = 8.2 Hz, H-5′), 6.70 (1H, d, J = 16.0 Hz, H-2), 6.16 (1H, br s, -OH), 3.91 (3H, s, -OCH3), 3.41 (1H, d, J = 2.0 Hz, H-4), 3.12 (1H, td, J = 5.2, 2.0 Hz, H-5), 1.73–1.26 (12H, m, H-6~11), 0.87 (3H, t, J = 6.8 Hz, H-12); 13C-NMR (CDCl3) δ 195.7, 148.7, 146.8, 145.2, 126.8, 124.2, 116.8, 114.8, 109.7, 59.5, 58.4, 56.0, 31.8, 31.7, 29.2, 29.1, 25.8, 22.6, 14.0; EIMS m/z (rel. int.) 318 (M+, 37), 178 (22), 177 (100), 145 (19); HREIMS m/z 318.1834 [M]+ (Calcd for C19H26O4, 318.1831).
1-(4-Hydroxy-3-methoxyphenyl)-4,5-expoxytridec-1-en-3-one (7e): yellow syrup (8%); UV (MeOH) λmax (log ɛ) 353 (4.32), 254 (4.04) nm; IR (neat) νmax 3404, 2925, 2856, 1672, 1583, 1514, 1434, 1276, 1031 cm−1; 1H-NMR (CDCl3) δ 7.72 (1H, d, J = 15.8 Hz, H-1), 7.14 (1H, dd, J = 8.2, 1.8 Hz, H-6′), 7.07 (1H, d, J = 1.8 Hz, H-2′), 6.92 (1H, d, J = 8.2 Hz, H-5′), 6.71 (1H, d, J = 15.8 Hz, H-2), 5.95 (1H, br s, -OH), 3.94 (3H, s, -OCH3), 3.41 (1H, d, J = 2.0 Hz, H-4), 3.13 (1H, td, J = 5.0, 2.0 Hz, H-5), 1.74–1.27 (14H, m, H-6~12), 0.88 (3H, t, J = 6.8 Hz, H-13); 13C-NMR (CDCl3) δ 195.6, 148.7, 146.8, 145.1, 126.9, 124.2, 116.9, 114.8, 109.7, 59.6, 58.4, 56.0, 31.8 (×2), 29.4, 29.3, 29.1, 25.8, 22.6, 14.0; EIMS m/z (rel. int.) 332 (M+, 36), 177 (100), 145 (15), 55 (12); HREIMS m/z 332.1990 [M]+ (Calcd for C20H28O4, 332.1987).
1-(4-Hydroxy-3-methoxyphenyl)-4,5-expoxytetradec-1-en-3-one (7f): yellow syrup (8%); UV (MeOH) λmax (log ɛ) 350 (4.19), 253 (4.17) nm; IR (neat) νmax 3423, 2925, 2854, 1676, 1585, 1512, 1460, 1274, 1031 cm−1; 1H-NMR (CDCl3) δ 7.71 (1H, d, J = 15.8 Hz, H-1), 7.14 (1H, dd, J = 8.2, 1.8 Hz, H-6′), 7.07 (1H, d, J = 1.8 Hz, H-2′), 6.92 (1H, d, J = 8.2 Hz, H-5′), 6.72 (1H, d, J = 15.8 Hz, H-2), 5.90 (1H, br s, -OH), 3.94 (3H, s, -OCH3), 3.41 (1H, d, J = 2.0 Hz, H-4), 3.13 (1H, td, J = 5.4, 2.0 Hz, H-5), 1.74–1.27 (16H, m, H-6~13), 0.88 (3H, t, J = 6.8 Hz, H-14); 13C-NMR (CDCl3) δ 195.7, 148.7, 146.8, 145.2, 126.9, 124.2, 116.8, 114.8, 109.7, 59.6, 58.4, 56.0, 31.9, 31.8, 29.5, 29.4, 29.3, 29.2, 25.8, 22.6, 14.1; EIMS m/z (rel. int.) 346 (M+, 33), 177 (100), 151 (23), 150 (55), 55 (20); HREIMS m/z 346.2145 [M]+ (Calcd for C21H30O4, 346.2144).
3.2.4. General Procedure for the Synthesis of [n]-Paradols (5a–f)
A solution of [n]-dehydroshogaols (2a–f) (0.96 mmol) in ethyl acetate (20 mL) containing palladium-charcoal (5%, 0.05 g) was stirred under hydrogen at atmospheric pressure and room temperature for 30 min. The reaction mixture was monitored by TLC until no starting material remained. The catalyst was removed through celite, and the filtrate was concentrated under reduced pressure. The product was isolated using silica gel column chromatography (EtOAc/hexanes = 1/4).
[5]-Paradol (5a): colorless syrup (79%) [23]; UV (MeOH) λmax (log ɛ) 282 (3.41) nm; IR (neat) νmax 3439, 2939, 2862, 1707, 1608, 1516, 1452, 1365, 1269, 1031, 806 cm−1; 1H-NMR (CDCl3) δ 6.79 (1H, d, J = 8.0 Hz, H-5′), 6.67 (1H, d, J = 1.8 Hz, H-2′), 6.63 (1H, dd, J = 8.0, 1.8 Hz, H-6′), 3.82 (3H, s, -OCH3), 2.84–2.63 (4H, m, H-1, -2), 2.35 (2H, t, J = 7.2 Hz, H-4), 1.58–1.51 (2H, m, H-5), 1.23 (6H, m, H-6~8), 0.87 (3H, t, J = 6.2 Hz, H-9); 13C-NMR (CDCl3) δ 210.8, 146.4, 143.8, 132.9, 120.6, 114.3, 111.1, 55.7, 44.5, 43.0, 31.5, 29.4, 28.8, 23.7, 22.4, 14.0; EIMS m/z (rel. int.) 264 (M+, 58), 179 (19), 151 (22), 137 (100); HREIMS m/z 246.1729 [M]+ (Calcd for C16H24O3, 246.1725).
[6]-Paradol (5b): colorless syrup (78%) [23]; UV (MeOH) λmax (log ɛ) 281 (3.34) nm; IR (neat) νmax 3451, 2940, 2862, 1713, 1516, 1452, 1367, 1267, 1036, 804 cm−1; 1H-NMR (CDCl3) δ 6.80 (1H, d, J = 8.0 Hz, H-5′), 6.67 (1H, d, J = 1.8 Hz, H-2′), 6.64 (1H, dd, J = 8.0, 1.8 Hz, H-6′), 3.85 (3H, s, -OCH3), 2.86–2.63 (4H, m, H-1, -2), 2.36 (2H, t, J = 7.4 Hz, H-4), 1.58–1.51 (2H, m, H-5), 1.24 (8H, m, H-6~9), 0.88 (3H, t, J = 6.2 Hz, H-10); 13C-NMR (CDCl3) δ 210.6, 146.3, 143.8, 133.1, 120.7, 114.3, 111.0, 55.8, 44.6, 43.1, 31.6, 29.5, 29.1, 29.0, 23.8, 22.5, 14.0; EIMS m/z (rel. int.) 278 (M+, 67), 179 (21), 151 (23), 137 (100), 117 (19), 99 (23), 55 (21); HREIMS m/z 278.1883 [M]+ (Calcd for C17H26O3, 278.1881).
[7]-Paradol (5c): colorless syrup (81%) [23]; UV (MeOH) λmax (log ɛ) 282 (3.45) nm; IR (neat) νmax 3543, 2930, 2858, 1707, 1608, 1516, 1452, 1365, 1269, 1034, 806 cm−1; 1H-NMR (CDCl3) δ 6.77 (1H, d, J = 8.0 Hz, H-5′), 6.66 (1H, d, J = 1.8 Hz, H-2′), 6.61 (1H, dd, J = 8.0, 1.8 Hz, H-6′), 5.48 (1H, br s, -OH), 3.79 (3H, s, -OCH3), 2.83–2.61 (4H, m, H-1, -2), 2.33 (2H, t, J = 7.2 Hz, H-4), 1.58–1.51 (2H, m, H-5), 1.22 (10H, m, H-6~10), 0.85 (3H, t, J = 6.8 Hz, H-11); 13C-NMR (CDCl3) δ 210.7, 146.5, 143.9, 132.9, 120.6, 114.4, 111.1, 55.7, 44.4, 42.9, 31.7, 29.4, 29.2, 29.1, 29.0, 23.7, 22.5, 14.0; EIMS m/z (rel. int.) 292 (M+, 36), 179 (17), 151 (21), 137 (100), 119 (10), 55 (11).
[8]-Paradol (5d): colorless powder (77%), mp 42–43 °C (lit. 42–43 °C) [23]; UV (MeOH) λmax (log ɛ) 282 (3.46) nm; IR (KBr) νmax 3541, 2920, 2856, 1707, 1608, 1514, 1365, 1271, 1030, 806 cm−1; 1H-NMR (CDCl3) δ 6.82 (1H, d, J = 7.8 Hz, H-5′), 6.68–6.63 (2H, m, H-2′, -6′), 3.86 (3H, s, -OCH3), 2.87–2.64 (4H, m, H-1, -2), 2.37 (2H, t, J = 7.2 Hz, H-4), 1.58–1.51 (2H, m, H-5), 1.25 (12H, m, H-6~11), 0.88 (3H, t, J = 6.8 Hz, H-12); 13C-NMR (CDCl3) δ 210.6, 146.4, 143.8, 133.1, 120.7, 114.3, 111.0, 55.8, 44.6, 43.1, 31.8, 29.5, 29.3 (×3), 29.2, 23.8, 22.6, 14.1; EIMS m/z (rel. int.) 306 (M+, 17), 292 (12), 164 (21), 179 (19), 151 (22), 137 (100), 57 (10); Anal. Calcd. for C19H30O3: C, 74.50%; H, 9.80%; Found: C, 74.57%; H, 9.84%.
[9]-Paradol (5e): colorless powder (80%), mp 49–50 °C (lit. 48–49 °C) [23]; UV (MeOH) λmax (log ɛ) 282 (3.41) nm; IR (KBr) νmax 3516, 2922, 2856, 1712, 1608, 1516, 1361, 1273, 1165, 1028, 856 cm−1; 1H-NMR (CDCl3) δ 6.81 (1H, d, J = 8.0 Hz, H-5′), 6.68–6.63 (2H, m, H-2′, -6′), 3.86 (3H, s, -OCH3), 2.86–2.64 (4H, m, H-1, -2), 2.36 (2H, t, J = 7.2 Hz, H-4), 1.58–1.51 (2H, m, H-5), 1.24 (14H, m, H-6~12), 0.87 (3H, t, J = 6.8 Hz, H-13); 13C-NMR (CDCl3) δ 210.6, 146.3, 143.8, 133.1, 120.7, 114.2, 111.0, 56.0, 44.5, 43.1, 31.8, 29.5 (×2), 29.4 29.3, 29.2, 29.1, 23.8, 22.6, 14.1; EIMS m/z (rel. int.) 320 (M+, 80), 179 (19), 151 (21), 137 (100), 119 (8); Anal. Calcd. for C20H32O3: C, 75.00%; H, 10.00%; Found: C, 75.01%; H, 10.01%.
[10]-Paradol (5f): colorless powder (79%), mp 50–51 °C (lit. 50–51 °C) [23]; UV (MeOH) λmax (log ɛ) 280 (3.44) nm; IR (KBr) νmax 3486, 2920, 2856, 1707, 1608, 1512, 1361, 1273, 1165, 1028, 856 cm−1; 1H-NMR (CDCl3) δ 6.81 (1H, d, J = 8.0 Hz, H-5′), 6.68–6.63 (2H, m, H-2′, -6′), 3.85 (3H, s, -OCH3), 2.86–2.64 (4H, m, H-1, -2), 2.37 (2H, t, J = 7.2 Hz, H-4), 1.58–1.51 (2H, m, H-5), 1.25 (16H, m, H-6~13), 0.88 (3H, t, J = 6.6 Hz, H-14); 13C-NMR (CDCl3) δ 210.6, 146.4, 143.8, 133.0, 120.6, 114.3, 111.0, 55.7, 44.5, 43.0, 31.8, 29.5 (×2), 29.4 29.3 (×2), 29.2, 29.1, 23.7, 22.6, 14.0; Anal. Calcd. for C21H34O3: C, 75.45%; H, 10.18%; Found: C, 75.49%; H, 10.13%.
3.2.5. General Procedure for the Synthesis of [n]-Dehydroparadols (6a–f)
A solution of [n]-dehydroshogaols (2a–f) (0.96 mmol) in ethyl acetate (20 mL) containing palladium-charcoal (5%, 0.015 g) was stirred under hydrogen at atmospheric pressure and room temperature for 40 min. The reaction mixture was monitored using thin layer chromatography (TLC) until no starting material remained. The catalyst was removed through celite, and the filtrate was concentrated under reduced pressure conditions. The product was isolated using silica gel column chromatography (EtOAc/hexanes = 1/3).
[5]-Dehydroparadol (6a): colorless powder (80%), mp 52–53 °C (lit. 52–53 °C) [23]; UV (MeOH) λmax (log ɛ) 340 (4.16), 224 (3.79) nm; IR (KBr) νmax 3400, 2930, 2860, 1666, 1587, 1514, 1460, 1375, 1276, 1033, 979, 812 cm−1; 1H-NMR (CDCl3) δ 7.48 (1H, d, J = 16.1 Hz, H-1), 7.09 (1H, dd, J = 8.1, 2.0 Hz, H-6′), 7.05 (1H, d, J = 2.0 Hz, H-2′), 6.92 (1H, d, J = 8.1 Hz, H-5′), 6.59 (1H, d, J = 16.1 Hz, H-2), 6.12 (1H, br s, -OH), 3.92 (3H, s, -OCH3), 2.64 (2H, t, J = 7.1 Hz, H-4), 1.70–1.59 (2H, m, H-5), 1.41–1.22 (6H, m, H-6~8), 0.88 (3H, t, J = 6.5 Hz, H-9); 13C-NMR (CDCl3) δ 200.8, 148.1, 146.8, 142.6, 127.1, 124.1, 123.3, 114.8, 109.4, 55.9, 40.7, 31.6, 29.0, 24.5, 22.5, 14.0; EIMS m/z (rel. int.) 262 (M+, 31), 192 (34), 177 (100), 145 (22), 137 (44), 117 (10), 89 (12).
[6]-Dehydroparadol (6b): colorless powder (76%), mp 47–48 °C (lit. 44–45 °C) [23]; UV (MeOH) λmax (log ɛ) 341 (4.04), 224 (3.85) nm; IR (KBr) νmax 3400, 2926, 2856, 1666, 1601, 1514, 1460, 1375, 1278, 1031, 979, 810 cm−1; 1H-NMR (CDCl3) δ 7.47 (1H, d, J = 16.0 Hz, H-1), 7.08 (1H, dd, J = 8.1, 1.8 Hz, H-6′), 7.04 (1H, d, J = 1.8 Hz, H-2′), 6.91 (1H, d, J = 8.1 Hz, H-5′), 6.58 (1H, d, J = 16.0 Hz, H-2), 6.19 (1H, br s, -OH), 3.90 (3H, s, -OCH3), 2.63 (2H, t, J = 7.2 Hz, H-4), 1.69–1.59 (2H, m, H-5), 1.31–1.27 (8H, m, H-6~9), 0.88 (3H, t, J = 6.6 Hz, H-10); 13C-NMR (CDCl3) δ 200.8, 148.1, 146.8, 142.6, 126.9, 123.9, 123.3, 114.8, 109.4, 55.9, 40.6, 31.6, 29.3, 29.0, 24.5, 22.5, 14.0; EIMS m/z (rel. int.) 276 (M+, 31), 192 (40), 177 (100), 145 (19), 137 (71), 117 (10), 89 (11), 55(10); HREIMS m/z 276.1727 [M]+ (Calcd for C17H24O3, 276.1725).
[7]-Dehydroparadol (6c): colorless powder (75%), mp 49–50 °C (lit. 45–46 °C) [23]; UV (MeOH) λmax (log ɛ) 338 (4.03), 225 (3.80) nm; IR (KBr) νmax 3401, 2926, 2854, 1676, 1589, 1514, 1460, 1377, 1207, 1033, 979, 810 cm−1; 1H-NMR (CDCl3) δ 7.46 (1H, d, J = 16.1 Hz, H-1), 7.05 (1H, dd, J = 8.0, 1.8 Hz, H-6′), 7.01 (1H, d, J = 1.8 Hz, H-2′), 6.89 (1H, d, J = 8.0 Hz, H-5′), 6.57 (1H, d, J = 16.1 Hz, H-2), 3.86 (3H, s, -OCH3), 2.61 (2H, t, J = 7.2 Hz, H-4), 1.67–1.57 (2H, m, H-5), 1.26–1.23 (10H, m, H-6~10), 0.85 (3H, t, J = 6.8 Hz, H-11); 13C-NMR (CDCl3) δ 200.9, 148.3, 146.9, 142.8, 126.8, 123.8, 123.3, 114.9, 109.5, 55.8, 40.5, 31.7, 29.3 (×2), 29.1, 24.5, 22.6, 14.0; EIMS m/z (rel. int.) 290 (M+, 15), 205 (12), 192 (28), 177 (63), 137 (100), 91 (11), 55(12); HREIMS m/z 290.1885 [M]+ (Calcd for C18H26O3, 290.1881).
[8]-Dehydroparadol (6d): colorless powder (73%), mp 58–59 °C (lit. 57–58 °C) [23]; UV (MeOH) λmax (log ɛ) 339 (4.09), 223 (3.96) nm; IR (KBr) νmax 3401, 2925, 2854, 1675, 1589, 1514, 1460, 1272, 1033, 979, 810 cm−1; 1H-NMR (CDCl3) δ 7.48 (1H, d, J = 16.0 Hz, H-1), 7.06 (1H, dd, J = 8.0, 1.8 Hz, H-6′), 7.04 (1H, d, J = 1.8 Hz, H-2′), 6.91 (1H, d, J = 8.0 Hz, H-5′), 6.59 (1H, d, J = 16.0 Hz, H-2), 6.19 (1H, br s, -OH), 3.91 (3H, s, -OCH3), 2.63 (2H, t, J = 7.0 Hz, H-4), 1.67–1.62 (2H, m, H-5), 1.28–1.25 (12H, m, H-6~11), 0.86 (3H, t, J = 6.8 Hz, H-12); 13C-NMR (CDCl3) δ 200.8, 148.1, 146.8, 142.7, 127.0, 123.9, 123.3, 114.8, 109.4, 55.9, 40.6, 31.8, 29.4 (×2), 29.3, 29.2, 24.5, 22.6, 14.0; EIMS m/z (rel. int.) 304 (M+, 27), 205 (13), 192 (34), 177 (66), 151 (18), 137 (100), 91 (10), 55(12); Anal. Calcd for C19H28O3: C, 75.00%; H, 9.21%; Found: C, 74.99%; H, 9.25%.
[9]-Dehydroparadol (6e): colorless powder (74%), mp 56–58 °C (lit. 53–54 °C) [23]; UV (MeOH) λmax (log ɛ) 337 (3.96), 224 (3.74) nm; IR (KBr) νmax 3395, 2925, 2854, 1666, 1589, 1516, 1460, 1277, 1033, 979, 812 cm−1; 1H-NMR (CDCl3) δ 7.47 (1H, d, J = 16.0 Hz, H-1), 7.08 (1H, dd, J = 8.0, 1.8 Hz, H-6′), 7.03 (1H, d, J = 1.8 Hz, H-2′), 6.90 (1H, d, J = 8.0 Hz, H-5′), 6.58 (1H, d, J = 16.0 Hz, H-2), 6.22 (1H, br s, -OH), 3.90 (3H, s, -OCH3), 2.63 (2H, t, J = 7.2 Hz, H-4), 1.69–1.62 (2H, m, H-5), 1.28–1.24 (14H, m, H-6~12), 0.86 (3H, t, J = 6.6 Hz, H-13); 13C-NMR (CDCl3) δ 200.8, 148.1, 146.8, 142.6, 126.9, 123.9, 123.3, 114.8, 109.4, 55.8, 40.6, 31.8, 29.5, 29.4, 29.3 (×2), 29.2, 24.5, 22.5, 14.0; EIMS m/z (rel. int.) 318 (M+, 27), 192 (57), 177 (100), 153 (22), 137 (39), 55(23).
[10]-Dehydroparadol (6f): colorless powder (79%), mp 72–73 °C (lit. 76–77 °C) [23]; UV (MeOH) λmax (log ɛ) 339 (3.99), 225 (3.78) nm; IR(KBr) νmax 3412, 2920, 2854, 1666, 1589, 1512, 1460, 1277, 1033 cm−1; 1H-NMR (CDCl3) δ 7.47 (1H, d, J = 16.0 Hz, H-1), 7.10–7.04 (2H, m, H-2′,6′), 6.89 (1H, d, J = 8.2 Hz, H-5′), 6.58 (1H, d, J = 16.0 Hz, H-2), 6.25 (1H, br s, -OH), 3.90 (3H, s, -OCH3), 2.63 (2H, t, J = 7.2 Hz, H-4), 1.69–1.59 (2H, m, H-5), 1.28–1.25 (16H, m, H-6~13), 0.86 (3H, t, J = 6.4 Hz, H-14); 13C-NMR (CDCl3) δ 200.8, 148.1, 146.8, 142.6, 126.9, 123.9, 123.3, 114.8, 109.4, 55.8, 40.5, 31.8, 29.5 (×2), 29.4, 29.3 (×2), 29.2, 24.5, 22.6, 14.0.
3.2.6. General Procedure for the Synthesis of [n]-Gingerols (8a–f)
A solution of [n]-dehydrogingerols (3a–f) (1.1 mmol) in ethyl acetate (20 mL) containing palladium-charcoal (5%, 0.04 g) was stirred under hydrogen at atmospheric pressure and room temperature for 40 min. The reaction mixture was monitored using TLC until no starting material remained. The catalyst was removed through celite, and the filtrate was concentrated under reduced pressure. The product was isolated using silica gel column chromatography (EtOAc/hexanes = 1/2).
[5]-Gingerol (8a): colorless powder (85%), mp 44–45 °C (lit. 45–46 °C); UV (MeOH) λmax (log ɛ) 282 (3.44), 224 (3.85) nm; IR (KBr) νmax 3460, 2943, 2864, 1704, 1612, 1138, 1371, 1271, 1138, 1034, 806 cm−1; 1H-NMR (CDCl3) δ 6.78 (1H, d, J = 7.8 Hz, H-5′), 6.64 (1H, d, J = 1.8 Hz, H-2′), 6.61 (1H, dd, J = 7.8, 1.8 Hz, H-6′), 4.34 (1H, br s, -OH), 4.06–3.94 (1H, m, H-5), 3.81 (3H, s, -OCH3), 2.48–2.65 (4H, m, H-1, -2), 2.52–2.48 (2H, m, H-4), 1.50–1.22 (6H, m, H-6~8), 0.86 (3H, t, J = 7.0 Hz, H-9); 13C-NMR (CDCl3) δ 211.4, 147.0, 144.0, 132.6, 120.7, 114.4, 111.0, 67.6, 55.9, 49.3, 45.4, 36.1, 29.2, 27.6, 22.6, 14.3; EIMS m/z (rel. int.) 280 (M+, 31), 205 (9), 150 (50), 137 (100), 91 (10); HREIMS m/z 280.1677 [M]+ (Calcd for C16H24O4, 280.1674).
[6]-Gingerol (8b): colorless syrup (84%); UV (MeOH) λmax (log ɛ) 282 (3.51) nm; IR (KBr) νmax 3469, 2937, 2860, 1705, 1608, 1516, 1371, 1140, 1036, 806 cm−1; 1H-NMR (CDCl3) δ 6.79 (1H, d, J = 7.8 Hz, H-5′), 6.66–6.60 (2H,m, H-2′, -6′), 4.05–3.99 (1H, m, H-5), 3.83 (3H, s, -OCH3), 2.86–2.66 (4H, m, H-1, -2), 2.53–2.48 (2H, m, H-4), 1.49–1.24 (8H, m, H-6~9), 0.86 (3H, t, J = 6.2 Hz, H-10); 13C-NMR (CDCl3) δ 211.4, 146.4, 143.9, 132.5, 120.6, 114.4, 110.9, 67.6, 55.7, 49.2, 45.3, 36.3, 31.6, 29.1, 25.6, 22.5, 14.0; EIMS m/z (rel. int.) 294 (M+, 18), 205 (7), 194 (14), 150 (40), 137 (100), 91 (11); HREIMS m/z 294.1831 [M]+ (Calcd for C17H26O4, 294.1831).
[7]-Gingerol (8c): colorless powder (86%), mp 101–102 °C; UV (MeOH) λmax (log ɛ) 281 (3.67), 223 (3.95) nm; IR (KBr) νmax 3524, 2926, 2858, 1705, 1608, 1516, 1369, 1271, 1036, 806 cm−1; 1H-NMR (CDCl3) δ 6.80 (1H, d, J = 8.0 Hz, H-5′), 6.66–6.60 (2H, m, H-2′, -6′), 4.06–3.95 (1H, m, H-5), 3.84 (3H, s, -OCH3), 2.86–2.66 (4H, m, H-1, -2), 2.52–2.48 (2H, m, H-4), 1.51–1.25 (10H, m, H-6~10), 0.86 (3H, t, J = 6.6 Hz, H-11); 13C-NMR (CDCl3) δ 211.5, 146.5, 144.0, 132.6, 120.7, 114.5, 111.1, 67.7, 55.8, 49.3, 45.4, 36.5, 31.8, 29.2, 29.1, 25.4, 22.6, 14.1; EIMS m/z (rel. int.) 308 (M+, 16), 290 (15), 205 (21), 150 (32), 137 (100), 91 (13), 55 (24); Anal. Calcd. for C18H28O4: C, 70.12%; H, 9.09%; Found: C, 70.14%; H, 9.04%.
[8]-Gingerol (8d): colorless syrup (83%); UV (MeOH) λmax (log ɛ) 282 (3.63), 222 (3.93) nm; IR (neat) νmax 3516, 2928, 2858, 1705, 1608, 1516, 1452, 1271, 1035, 806 cm−1; 1H-NMR (CDCl3) δ 6.80 (1H, d, J = 7.8 Hz, H-5′), 6.66–6.61 (2H, m, H-2′, -6′), 4.05–3.95 (1H, m, H-5), 3.85 (3H, s, -OCH3), 2.86–2.67 (4H, m, H-1, -2), 2.53–2.48 (2H, m, H-4), 1.49–1.25 (12H, m, H-6~11), 0.86 (3H, t, J = 6.2 Hz, H-12); 13C-NMR (CDCl3) δ 211.3, 146.4, 143.9, 132.5, 120.6, 114.3, 110.9, 67.6, 55.7, 49.2, 45.3, 36.4, 31.7, 29.4, 29.1, 25.3, 22.5, 14.0; EIMS m/z (rel. int.) 322 (M+, 38), 150 (50), 137 (100), 55 (9).
[9]-Gingerol (8e): colorless syrup (84%); UV (MeOH) λmax (log ɛ) 281 (3.33), 224 (3.71) nm; IR (neat) νmax 3535, 2924, 2856, 1704, 1608, 1514, 1369, 1271, 1031, 804 cm−1; 1H-NMR (CDCl3) δ 6.80 (1H, d, J = 7.8 Hz, H-5′), 6.66–6.60 (2H, m, H-2′, -6′), 4.07–3.99 (1H, m, H-5), 3.84 (3H, s, -OCH3), 2.86–2.66 (4H, m, H-1, -2), 2.53–2.48 (2H, m, H-4), 1.38–1.25 (14H, m, H-6~12), 0.87 (3H, t, J = 6.8 Hz, H-13); 13C-NMR (CDCl3) δ 211.4, 146.5, 143.9, 132.6, 120.7, 114.5, 111.0, 67.7, 55.8, 49.3, 45.4, 36.5, 31.8, 29.5 (×2), 29.2 (×2), 25.4, 22.6, 14.0; EIMS m/z (rel. int.) 336 (M+, 32), 318 (14), 205 (17), 150 (36), 137 (100), 55 (9); HREIMS m/z: 336.2300 [M]+ (Calcd for C20H32O4, 336.2300).
[10]-Gingerol (8f): colorless syrup (85%); UV (MeOH) λmax (log ɛ) 282 (3.43), 224 (3.75) nm; IR (neat) νmax 3439, 2920, 2854, 1706, 1608, 1514, 1369, 1271, 1031, 804 cm−1; 1H-NMR (CDCl3) δ 6.78 (1H, d, J = 7.8 Hz, H-5′), 6.65–6.59 (2H, m, H-2′, -6′), 4.05–3.99 (1H, m, H-5), 3.82 (3H, s, -OCH3), 2.83–2.65 (4H, m, H-1, -2), 2.53–2.49 (2H, m, H-4), 1.38–1.25 (16H, m, H-6~13), 0.87 (3H, t, J = 6.6 Hz, H-14); 13C-NMR (CDCl3) δ 211.3, 146.4, 143.8, 132.4, 120.5, 114.4, 110.9, 67.6, 55.6, 49.2, 45.2, 36.3, 31.7, 29.4 (×3), 29.2, 29.1, 25.3, 22.5, 14.0.
3.2.7. General Procedure for the Synthesis of [n]-Shogaols (4a–f)
Conc. HCl (0.1 mL) was added dropwise to a solution of [n]-gingerols (8a–f) (0.54 mmol) in acetone (10 mL) at room temperature. The reaction mixture was stirred for 15 min and then cooled to 0 °C in an ice bath, neutralized by saturated sodium bicarbonate, and extracted with CH2Cl2 (3 × 10 mL). The organic layers were combined, washed with brine, dried over MgSO4, and concentrated under reduced pressure. The crude product was diluted with acetone (10 mL) and then potassium carbonate (0.81 mmol) was added at room temperature. The reaction mixture was stirred for 6h, then cooled to 0 °C in an ice bath, neutralized by 5% HCl(aq), and extracted with CH2Cl2 (3 × 10 mL). The organic layers were combined, washed with brine, dried over MgSO4, and concentrated under reduced pressure. The product was isolated using silica gel column chromatography (ethyl acetate/hexanes = 1/3).
[5]-Shogaol (4a): yellow syrup (86%) [24]; UV (MeOH) λmax (log ɛ) 281 (3.51), 225 (4.31) nm; IR (neat) νmax 3451, 2932, 2862, 1685, 1629, 1514, 1456, 1271, 1034, 984, 806 cm−1; 1H-NMR (CDCl3) δ 6.89–6.65 (4H, m, H-2′, -5′, -6′, -5), 6.07 (1H, dt, J = 15.8, 1.6 Hz, H-4), 5.50 (1H, br s, -OH), 3.87 (3H, s, -OCH3), 2.87–2.79 (4H, m, H-1, -2), 2.25–2.14 (2H, m, H-6), 1.49–1.23 (4H, m, H-7, -8), 0.90 (3H, t, J = 6.8 Hz, H-9); 13C-NMR (CDCl3) δ 199.8, 147.8, 146.3, 143.8, 133.2, 130.3, 120.8, 114.3, 111.1, 55.8, 42.0, 32.1, 30.1, 29.9, 22.2, 13.8; EIMS m/z (rel. int.) 262 (M+, 46), 205 (42), 151 (16), 137 (100), 55 (22).
[6]-Shogaol (4b): yellow syrup (85%) [24]; UV (MeOH) λmax (log ɛ) 282 (3.47), 224 (4.25) nm; IR (neat) νmax 3424, 2928, 2860, 1662, 1616, 1514, 1456, 1271, 1034, 982, 808 cm−1; 1H-NMR (CDCl3) δ 6.89–6.65 (4H, m, H-2′, -5′, -6′, -5), 6.08 (1H, dt, J = 16.0, 1.4 Hz, H-4), 5.54 (1H, br s, -OH), 3.86 (3H, s, -OCH3), 2.89–2.79 (4H, m, H-1, -2), 2.24–2.13 (2H, m, H-6), 1.51–1.26 (6H, m, H-7~9), 0.88 (3H, t, J = 6.5 Hz, H-10); 13C-NMR (CDCl3) δ 199.8, 147.8, 146.3, 143.8, 133.2, 130.2, 120.7, 114.2, 111.0, 55.8, 41.9, 32.4, 31.3, 29.8, 27.1, 22.4, 13.9; EIMS m/z (rel. int.) 276 (M+, 43), 205 (52), 151 (16), 137 (100), 119 (10), 55 (18).
[7]-Shogaol (4c): yellow syrup (83%) [24]; UV (MeOH) λmax (log ɛ) 282 (3.44), 225 (4.18) nm; IR (neat) νmax 3450, 2927, 2856, 1691, 1626, 1516, 1460, 1367, 1271, 1036, 978, 815 cm−1; 1H-NMR (CDCl3) δ 6.89–6.65 (4H, m, H-2′, -5′, -6′, -5), 6.08 (1H, dt, J = 16.0, 1.5 Hz, H-4), 3.86 (3H, s, -OCH3), 2.86–2.82 (4H, m, H-1, -2), 2.24–2.14 (2H, m, H-6), 1.47–1.26 (8H, m, H-7~10), 0.88 (3H, t, J = 6.7 Hz, H-11); 13C-NMR (CDCl3) δ 199.8, 147.9, 146.4, 143.8, 133.2, 130.3, 120.8, 114.3, 111.1, 55.8, 42.0, 32.5, 31.5, 29.8, 28.8, 28.0, 22.5, 14.0; EIMS m/z (rel. int.) 290 (M+, 27), 205 (28), 151 (14), 137 (100), 55 (9).
[8]-Shogaol (4d): yellow syrup (79%) [24]; UV (MeOH) λmax (log ɛ) 282 (3.72), 225 (4.52) nm; IR (neat) νmax 3433, 2926, 2856, 1675, 1629, 1514, 1456, 1271, 1034, 980, 808 cm−1; 1H-NMR (CDCl3) δ 6.89–6.65 (4H, m, H-2′, -5′, -6′, -5), 6.08 (1H, dt, J = 15.8, 1.6 Hz, H-4), 3.86 (3H, s, -OCH3), 2.85–2.82 (4H, m, H-1, -2), 2.24–2.13 (2H, m, H-6), 1.47–1.27 (10H, m, H-7~11), 0.88 (3H, t, J = 6.7 Hz, H-12); 13C-NMR (CDCl3) δ 199.8, 147.9, 146.4, 143.8, 133.2, 130.2, 120.7, 114.3, 111.1, 55.8, 41.9, 32.4, 31.7, 29.8, 29.1, 28.0, 22.6, 14.0; EIMS m/z (rel. int.) 304 (M+, 34), 205 (51), 151 (18), 137 (100), 69 (20), 55 (26).
[9]-Shogaol (4e): yellow syrup (85%) [24]; UV (MeOH) λmax (log ɛ) 282 (3.55), 226 (4.36) nm; IR (neat) νmax 3432, 2926, 2856, 1685, 1638, 1514, 1471, 1271, 1034, 982, 808 cm−1; 1H-NMR (CDCl3) δ 6.91–6.66 (4H, m, H-2′, -5′, -6′, -5), 6.08 (1H, dt, J = 15.7, 1.4 Hz, H-4), 3.87 (3H, s, -OCH3), 2.87–2.80 (4H, m, H-1, -2), 2.25–2.14 (2H, m, H-6), 1.47–1.27 (12H, m, H-7~12), 0.88 (3H, t, J = 6.6 Hz, H-13); 13C-NMR (CDCl3) δ 199.8, 147.9, 146.4, 143.9, 133.2, 130.3, 120.8, 114.3, 111.1, 55.9, 42.0, 32.5, 31.8, 29.9, 29.3, 29.1, 28.1, 22.6, 14.1; EIMS m/z (rel. int.) 318 (M+, 35), 205 (58), 151 (16), 137 (100), 55 (15).
[10]-Shogaol (4f): yellow syrup (88%) [24]; UV (MeOH) λmax (log ɛ) 284 (3.45), 225 (4.16) nm; IR (neat) νmax 3513, 2924, 2852, 1688, 1638, 1512, 1471, 1271, 1034, 982, 808 cm−1; 1H-NMR (CDCl3) δ 6.89–6.64 (4H, m, H-2′, -5′, -6′, -5), 6.08 (1H, dt, J = 15.6, 1.4 Hz, H-4), 3.85 (3H, s, -OCH3), 2.84–2.82 (4H, m, H-1, -2), 2.19–2.13 (2H, m, H-6), 1.43–1.25 (14H, m, H-7~13), 0.87 (3H, t, J = 6.4 Hz, H-14); 13C-NMR (CDCl3) δ 199.9, 147.9, 146.4, 143.9, 133.2, 130.3, 120.7, 114.3, 111.1, 55.8, 41.9, 32.5, 31.8, 29.8, 29.4, 29.3, 29.2, 29.1, 28.1, 22.6, 14.1.
3.2.8. General Procedure for the Synthesis of [n]-Isodehydrogingerdiones (1a–f)
DMSO (0.15 mL, 2.16 mmol) was added dropwise to a solution of oxalyl chloride (0.12 mL, 1.40 mmol) in acetone (10 mL) at −50–60 °C under argon. The reaction mixture was stirred for 3 min, and then a solution of [n]-dehydrogingerols (3a–f) (1.08 mmol) in CH2Cl2 (5 mL) was slowly added. The reaction mixture was stirred for another 15 min, Et3N was added to the mixture; the temperature was changed to 0 °C in an ice bath for 20 min, and the reaction mixture was then neutralized using 5% HCl(aq) and extracted with CH2Cl2 (3 × 10 mL). The organic layers were combined, washed with brine, dried over MgSO4, and concentrated under reduced pressure. The product [n]-isodehydrogingerdiones (1a–f) and [n]-dehydroshogaols (2a–f) were isolated using silica gel column chromatography (ethyl acetate/hexanes = 1/3).
[5]-Isodehydrogingerdione (1a): yellow syrup (51%); UV (MeOH) λmax (log ɛ) 369 (4.39), 255 (3.71) nm; IR (KBr) νmax 3358, 2958, 2866, 1634, 1576, 1512, 1427, 1273, 1030, 966, 837 cm−1; 1H-NMR (CDCl3) δ 7.51 (1H, d, J = 15.8 Hz, H-1), 7.07 (1H, dd, J = 8.2, 1.8 Hz, H-6′), 7.00 (1H, d, J = 1.8 Hz, H-2′), 6.90 (1H, d, J = 8.2 Hz, H-5′), 6.34 (1H, d, J = 15.8 Hz, H-2), 5.62 (1H, s, H-4), 3.91 (3H, s, -OCH3), 2.38 (2H, t, J = 7.2 Hz, H-6), 1.70–1.58 (2H, m, H-7), 1.46–1.28 (2H, m, H-8), 0.92 (3H, t, J = 7.2 Hz, H-9); 13C-NMR (CDCl3) δ 200.2, 178.0, 147.6, 146.8, 139.8, 127.6, 122.6, 120.5, 114.8, 109.4, 100.1, 55.9, 39.8, 27.7, 22.4, 13.8.
[6]-Isodehydrogingerdione (1b): yellow syrup (49%); UV (MeOH) λmax (log ɛ) 369 (4.37), 256 (3.70) nm; IR (KBr) νmax 3418, 2956, 2864, 1634, 1591, 1512, 1427, 1271, 1032, 970, 816 cm−1; 1H-NMR (CDCl3) δ 7.51 (1H, d, J = 15.8 Hz, H-1), 7.06 (1H, dd, J = 8.0, 1.8 Hz, H-6′), 7.01 (1H, d, J = 1.8 Hz, H-2′), 6.90 (1H, d, J = 8.0 Hz, H-5′), 6.34 (1H, d, J = 15.8 Hz, H-2), 5.61 (1H, s, H-4), 3.94 (3H, s, -OCH3), 2.37 (2H, t, J = 7.4 Hz, H-6), 1.69–1.57 (2H, m, H-7), 1.35–1.28 (2H, m, H-8~9), 0.90 (3H, t, J = 6.2 Hz, H-10); 13C-NMR (CDCl3) δ 200.2, 178.0, 147.6, 146.7, 139.8, 127.7, 122.6, 120.5, 114.8, 109.4, 100.1, 55.9, 40.1, 31.4, 25.3, 22.4, 13.9.
[7]-Isodehydrogingerdione (1c): yellow syrup (59%); UV (MeOH) λmax (log ɛ) 368 (4.17), 257 (3.62) nm; IR (KBr) νmax 3423, 2928, 2858, 1634, 1582, 1512, 1427, 1273, 1031, 974, 814 cm−1; 1H-NMR (CDCl3) δ 7.52 (1H, d, J = 15.8 Hz, H-1), 7.08 (1H, dd, J = 8.2, 1.8 Hz, H-6′), 7.02 (1H, d, J = 1.8 Hz, H-2′), 6.91 (1H, d, J = 8.2 Hz, H-5′), 6.33 (1H, d, J = 15.8 Hz, H-2), 5.94 (1H, br s, -OH), 5.62 (1H, s, H-4), 3.93 (3H, s, -OCH3), 2.37 (2H, t, J = 7.6 Hz, H-6), 1.64–1.61 (2H, m, H-7), 1.30–1.24 (6H, m, H-8~10), 0.89 (3H, t, J = 6.6 Hz, H-11); 13C-NMR (CDCl3) δ 200.2, 178.0, 147.7, 146.8, 139.8, 127.7, 122.6, 120.5, 114.8, 109.5, 100.1, 55.9, 40.1, 31.6, 29.0, 25.6, 22.5, 14.0.
[9]-Isodehydrogingerdione (1e): yellow syrup (48%); UV (MeOH) λmax (log ɛ) 369 (4.37), 254 (3.72) nm; IR (KBr) νmax 3423, 2955, 2854, 1634, 1583, 1512, 1427, 1271, 1031, 970, 816 cm−1; 1H-NMR (CDCl3) δ 7.52 (1H, d, J = 15.6 Hz, H-1), 7.08 (1H, dd, J = 8.2, 1.8 Hz, H-6′), 7.01 (1H, d, J = 1.8 Hz, H-2′), 6.91 (1H, d, J = 8.2 Hz, H-5′), 6.34 (1H, d, J = 15.6 Hz, H-2), 5.91 (1H, br s, -OH), 5.62 (1H, s, H-4), 3.93 (3H, s, -OCH3), 2.37 (2H, t, J = 7.2 Hz, H-6), 1.67–1.60 (2H, m, H-7), 1.29–1.27 (10H, m, H-8~12), 0.88 (3H, t, J = 6.2 Hz, H-13); 13C-NMR (CDCl3) δ 200.1, 177.9, 147.6, 146.7, 140.0, 127.6, 122.5, 120.5, 114.7, 109.4, 100.1, 55.9, 40.1, 31.8, 29.3, 29.1, 25.6, 22.6, 14.0.
3.3. Antiplatelet Aggregatory Bioassay
An assay of the antiplatelet aggregatory activity of the isolated compound was conducted according to the procedures of Teng and coworkers [25,26]. Washed platelets were prepared from blood withdrawn with a siliconized syringe from the marginal vein of New Zealand rabbits. The platelet suspension was obtained from EDTA-anticoagulated platelet-rich plasma according to the washing procedure described previously. The platelet number was determined using a cell counter (Hema-laser 2, Sebia, France) and adjusted to 3.0 × 108 platelets/mL. The platelet pellets were suspended in Tyrode’s solution containing Ca2+ (1 mM) and bovine serum albumin (0.35%). All glassware was siliconized. Platelet aggregation was measured using the turbidimetric method [26]. The aggregations were measured with a Lumi-aggregometer (Model 1020, Payton, Canada) connected to two dual-channel recorders.
4. Conclusions
Eight groups of derivatives based on the skeletons of shogaol and gingerol, the active pungent principles from ginger, were synthesized and evaluated for their antiplatelet bioactivity. Among the compounds synthesized, [6]-paradol 5b displayed the most significant inhibition of platelet aggregation induced by AA. Anti-PAF induced platelet aggregation activity was not found in the present study, suggesting that [6]-paradol 5b is a selective inhibitor. The traditional use of Z. officinale is to promote the blood circulation necessary for removing blood stasis, and the results of this study substantiated the anti-platelet aggregation activity of these synthetic derivatives related to shogaol and gingerol. It is valuable to explore new anti-platelet aggregation drugs based on the skeleton of [n]-paradol or other principles reported from the Zingiber series.
Acknowledgments
The authors wish to express appreciation to the National Science Council, Taiwan, ROC, for financial support of the present research.
Conflicts of Interest
The authors declare no conflicts of interest.
- Sample Availability: Samples of all the synthetic compounds are available from the authors.
References
- Tang, W.; Eisenbrand, G. Chinese Drugs of Plant Origin; Springer-Verlag: Berlin, Germany, 1992; pp. 1011–1105. [Google Scholar]
- Kikuzaki, H.; Nakatani, N. Antioxidant effects of some ginger constituents. J. Food. Sci 1993, 58, 1407–1410. [Google Scholar]
- Hasheimi, S.R.; Zulkifli, I.; Somchit, M.N.; Zunita, Z.; Loh, T.C.; Soleimani, A.F.; Tang, S.C. Dietary supplementation of Zingiber officinale and Zingiber zerumbet to heat-stressed broiler chickens and its effect on heat shock protein 70 expression blood parameters and body temperature. J. Anim. Physiol. Anim. Nutr. (Berl.) 2013, 97, 632–638. [Google Scholar]
- Koo, K.L.; Ammit, A.J.; Tran, V.H.; Duke, C.C.; Roufoqalis, B.D. Gingerols and related analogues inhibit arachidonic acid-induced human platelet serotonin release and aggregation. Thromb. Res 2001, 103, 387–397. [Google Scholar]
- Nurtjahja-Tjendraputra, E.; Ammit, A.J.; Roufogalis, B.D.; Tran, V.H.; Duke, C.C. Effective anti-platelet and COX-1 enzyme inhibitors from pungent constituents of ginger. Thromb. Res. 2003, 111, 259–265. [Google Scholar]
- Pancho, L.R.; Kimura, I.; Unno, R.; Kurono, M.; Kimura, M. Reversed effects between crude and processed ginger extracts on PGF2α-induced contraction in mouse mesenteric veins. Jpn. J. Pharmacol 1989, 50, 243–246. [Google Scholar]
- Kiuchi, F.; Shibuya, M.; Sankawa, U. Inhibitors of prostaglandin biosynthesis from ginger. Chem. Pharm. Bull. 1982, 30, 754–757. [Google Scholar]
- Kuwada, T.; Sakabe, S.I.; Watanabe, T.; Yamamoto, M.; Iwai, K. Some pungent principles of spices cause the adrenal medulla to secrete catecholamine in anesthetized rats. Proc. Soc. Exp. Boil. Med. 1988, 188, 229–233. [Google Scholar]
- Chen, C.Y.; Cheng, K.C.; Chang, A.Y.; Lin, Y.T.; Hseu, Y.C.; Wang, H.M. 10-Shogaol an Antioxidant from Zingiber officinale for skin cell proliferation and migration enhancer. Int. J. Mol. Sci. 2012, 13, 1762–1777. [Google Scholar]
- Huang, Q.R.; Iwamoto, M.; Aoki, S.; Tanaka, N.; Tajima, K.; Yamahara, J.; Takaishi, Y.; Yoshida, M.; Tomimatsu, T.; Tamai, Y. Anti-5-hydroxytryptamine 3 effect of galanolactone diterpenoid isolated from ginger. Chem. Pharm. Bull 1991, 39, 397–399. [Google Scholar]
- Shoji, N.; Iwasa, A.; Takemoto, T.; Ishida, Y.; Ohizumi, Y. Cardiotonic principles of ginger (Zingiber officinale Roscoe). J. Pharm. Sci. 1982, 71, 1174–1175. [Google Scholar]
- Adewunmi, C.O.; Oquntimein, B.O.; Furu, P. Molluscicidal and antischistosomal activities of Zingiber officinale. Planta Med 1990, 56, 374–376. [Google Scholar]
- Liu, Y.; Whelan, R.J.; Pattnaik, B.R.; Ludwig, K.; Subudhi, E.; Rowland, H.; Claussen, N.; Zucker, N.; Uppal, S.; Kushner, D.M.; et al. Terpenoids from Zingiber officinale (Ginger) induce apoptosis in endometrial cancer cells through the activation of p53. PLoS One 2012, 7, e53178. [Google Scholar]
- Yamahara, J.; Hatakeyama, S.; Taniguchi, K.; Kawamura, M.; Yoshikawa, M. Stomachic principles in ginger II Pungent and anti-ulcer effects of low polar constituents isolated from ginger the dried rhizoma of Zingiber officinale Roscoe cultivated in Taiwan The absolute stereostructure of a new diarylheptanoid. Yakugaku Zasshi 1992, 112, 645–655. [Google Scholar]
- Kikuzaki, H.; Usuguchi, J.; Nakatani, N. Constitutents of Zingiberaceae I diarylheptanoids from the rhizomes of ginger (Zingiber officinale Roscoe). Chem. Pharm. Bull 1991, 39, 120–122. [Google Scholar]
- Murata, T.; Shinohara, M.; Miyamoto, M. Isolation of hexahydrocurcumin dihydrogingerol and two additional pungent principles from ginger. Chem. Pharm. Bull 1972, 20, 2291–2292. [Google Scholar]
- Yoshikawa, M.; Hatakeyama, S.; Taniguchi, K.; Matuda, H.; Yamahara, J. 6-Gingesulfonic acid a new anti-ulcer principle and gingerglycolipids A B and C three new monoacyldigalactosyl-glycerols from Zingiberis rhizoma originating in Taiwan. Chem. Pharm. Bull 1992, 40, 2239–2241. [Google Scholar]
- Danyer, C.V.; Jachson, P.; Loakes, D.M.; Ellis, M.R.; Young, D.A.B. Isolation of antirhinoviral sesquiterpenes from ginger (Zingiber officinale). J. Nat. Prod 1994, 57, 658–662. [Google Scholar]
- Wender, P.A.; Jesudason, C.D.; Nakahira, H.; Tamura, N.; Tebbe, A.L.; Ueno, Y. The first synthesis of a daphnane diterpene: The enantiocontrolled total synthesis of (+)-resiniferatoxin. J. Am. Chem. Soc. 1997, 119, 12976–12977. [Google Scholar]
- Liao, Y.R.; Leu, Y.L.; Chan, Y.Y.; Kuo, P.C.; Wu, T.S. Anti-platelet aggregation and vasorelaxing effects of the constituents of the rhizomes of Zingiber officiale. Molecules 2012, 17, 8928–8927. [Google Scholar]
- Wu, T.S.; Chern, H.J.; Damu, A.G.; Kuo, P.C.; Su, C.R.; Lee, E.J.; Teng, C.M. Flavonoids and andrographolides from Andrographis paniculata and their antiplatelet aggregatory and vasorelaxing effects. J. Asian Nat. Prod. Res. 2008, 10, 17–24. [Google Scholar]
- Denniff, P.; Macleod, I.; Whiting, D.A. Syntheses of the (±)-[n]-gingerols (pungent principles of ginger) and related compounds through regioselective aldol condensations: Relative pungency assays. J. Chem. Soc. Perkin Trans 1981, 1, 82–87. [Google Scholar]
- Locksley, H.D.; Rainey, D.K. Pungent compounds Part I An improved synthesis of the paradols (alkyl 4-hydroxy-3-methoxyphenthyl ketones) and an assessment of their pungency. J. Chem. Soc. Perkin Trans. 1972, 1, 3001–3006. [Google Scholar]
- Kim, D.S.H.L.; Kim, J.Y. Side-chain length is important for shogaols in protecting neuronal cells from beta-amyloid insult. Bioorg. Med. Chem. Lett. 2004, 14, 1287–1289. [Google Scholar]
- Teng, C.M.; Chen, W.C.; Ko, F.N.; Lee, L.G.; Huang, T.F.; Chen, Y.P.; Hsu, H.Y. Two antiplatelet agents from Magnolia officinalis. Thromb. Res. 1988, 50, 757–765. [Google Scholar]
- Born, G.V.R.; Cross, M.J. Effects of inorganic ions and of plasma proteins on the aggregation of blood platelets by adenosine diphosphate. J. Physiol. 1963, 168, 178–195. [Google Scholar]
© 2014 by the authors; licensee MDPI, Basel, Switzerland This article is an open access article distributed under the terms and conditions of the Creative Commons Attribution license (http://creativecommons.org/licenses/by/3.0/).


